1. 서 론
2. 재료 및 방법
2.1 공시재료
2.2 실험방법
3. 결과 및 고찰
3.1 원료 조건에 따른 과일봉지 원지의 물성 평가
3.2 과일봉지 원지와 국내외 상업용 망고봉지의 비교
4. 결 론
1. 서 론
과일 재배 과정에서 과일봉지를 씌우는 기술은 과실의 외관 품질을 향상시키고 병해충 피해를 줄이며, 상품성을 높이는 데 중요한 역할을 한다[1,2,3,4,5]. 특히 고품질 과실에 대한 소비자 요구가 증가하고[6,7], 수출 시장에서의 경쟁이 심화됨에 따라 과일봉지의 기능적 특성은 단순한 보호 차원을 넘어 과실의 품질과 직결되는 핵심 요소로 인식되고 있다[3,8,9,10,11]. 과일봉지는 과실 표면의 착색을 조절하고, 해충 및 병원균의 침입을 억제하며, 강한 햇빛이나 비와 같은 외부 환경 요인으로부터 과실을 보호하는 역할을 수행한다[1,2,12]. 따라서 봉지 원지의 물성은 과실의 품질 유지와 직결되며[5,8,13,14,15,16,17,18,19], 이는 곧 재배 농가의 소득과 국가적 수출 경쟁력에도 영향을 미친다[3,19,20,21,22].
국내에서는 주로 배와 같은 온대 과실을 대상으로 봉지가 활용되어 왔다. 국내 배봉지는 오랜 기간 동안 품질 개선과 최적화 과정을 거쳐, 배의 생육 특성에 적합한 물성을 확보해 왔다[23,24]. 그러나 최근 들어 국내에서도 망고와 같은 열대 과실의 재배 면적이 점차 확대되고 있으며[25,26], 특히 대만 및 동남아시아 지역을 중심으로 한 수출 수요가 증가하고 있다. 이러한 변화는 기존의 배봉지와는 다른 특성을 요구하는 망고 전용 봉지 원지의 개발 필요성을 강하게 제기하고 있다. 망고는 배와 달리 열대 기후에서 재배되며, 강한 일사량과 높은 습도, 빈번한 강우 등과 같은 환경적 요인에 노출된다[27,28]. 따라서 망고봉지는 광차단성, 발수성, 내구성 등에서 배봉지와는 차별화된 성능을 요구한다.
선행 연구에서는 동남아시아 지역에서 사용되는 망고봉지와 국내 배봉지를 비교하여 국산 망고봉지 원지 시제품의 개선 방향을 제시한 바 있다. 그 결과, 평량, 습윤인장강도, 투기도와 같은 기본적인 물성에서는 국산 배봉지 및 시제품이 해외 망고봉지에 비해 열세를 보이지 않았다. 그러나 불투명도와 광산란계수에서 낮은 값을 나타내어 광차단성이 부족하다는 점이 확인되었으며, 이는 망고 과실의 착색 및 품질 유지에 불리하게 작용할 수 있음을 시사하였다. 또한 해외 망고봉지가 상대적으로 높은 발수성을 보유하고 있는 반면, 국산 시제품은 발수성이 낮아 열대 지역의 빈번한 강우 환경에서 과실 보호 성능이 떨어질 가능성이 제기되었다. 이러한 결과는 수출용 망고봉지 원지 개발에 있어 광흡수성과 발수성을 동시에 향상시킬 수 있는 소재 기술의 도입이 필요함을 보여준다.
본 연구에서는 수출용 망고봉지 원지 개발을 위한 방향성 확보를 위해 펄프 배합비와 투입 약품 및 안료 등의 원료 조건을 달리하여 제조된 다양한 과일봉지 원지를 수집하였다. 원지는 모두 발수성 향상을 위해 사이징과 파라핀 왁스 코팅 처리를 진행한 제품으로 선정하였다. 수집한 과일봉지 원지를 조습처리하여 주요 물성을 측정하였다. 측정한 과일봉지 원지의 주요 물성을 비교하여 원료 조건에 따른 원지별 물리적, 광학적 특성을 평가하였다. 또한 선행연구에서 확보한 해외 망고봉지의 물성 결과를 활용하여 과일봉지 원지와 비교하여 수출용 망고봉지 원지의 경쟁력을 파악하였다.
2. 재료 및 방법
2.1 공시재료
본 연구에서는 경남소재 과일봉지 원지 전문업체인 N사에서 원료를 달리하여 과일봉지 원지를 생산하였다. 천연펄프로는 침엽수 미표백 크라프트 펄프(unbleached kraft pulp, UKP), 침엽수 표백 크라프트 펄프(softwood bleached kraft pulp, SwBKP), 활엽수 표백 크라프트 펄프(hardwood bleached kraft pulp, HwBKP)를 사용하였고 재생펄프(recycled pulp, RP)는 단일 종류로 분류하기 어려운 혼합펄프를 사용하였다. 약품으로는 사이즈제, 염료, 습윤지력증강제, 파라핀 왁스를 사용하였고 Table 1에 상세 자료를 정리하였다. 본 연구에서 물성 측정에 사용한 과일봉지 원지는 포도, 배, 복숭아 등에 사용되는 과일봉지에 사용되는 원지를 수집하였고 Fig. 1에 도시하였다. 대조군으로 선행 연구에서 측정한 해외 망고봉지의 물성 평균값을 사용하였다.
Table 1.
Pulps and chemicals used for manufacturing fruit bag base papers
2.2 실험방법
2.2.1 과일봉지 원지 생산 조건
본 연구에서는 과일봉지 원지 전문업체인 N사에서 Table 2와 같이 원료 조건을 달리하여 여러 종류의 과일봉지 원지 시제품을 생산하였다. 우선 펄프는 천연펄프와 재생펄프의 배합비를 달리하였지만 내첨 사이즈제인 AKD와 습윤지력증강제인 Epoxy resin의 투입량은 J 조건을 제외하고는 동일하게 진행하였다. J 조건의 원지는 다른 조건과 달리 산성초지 조건에서 생산하였기 때문에 로진과 Urea resin을 사용하였다. 이후 염료와 카본블랙의 투입 조건은 시제품 종류에 따라 달리하여 생산하였다. 이후 제조된 원지의 발수성을 부여하기 위해 파라핀 왁스를 사용하여 공정상에서 표면 코팅을 실시하였는데 코팅량을 1.0 g/m2과 1.5 g/m2 두 조건으로 하여 코팅을 실시하였다.
Table 2.
Raw material conditions for manufacturing fruit bag base papers
2.2.2 과일봉지 원지의 물리적 특성 측정
과일봉지에 사용되는 원지는 품질 분석 이전에 23°C, 50% 상대습도(relative humidity, RH) 조건의 항온항습기에서 24시간 조습처리를 진행하였다. 과일봉지 원지의 평량은 N사에서 제공한 정보에 따라 기재하였다. 과일봉지는 고습도 조건에서 사용되는 경우가 많아 높은 습윤인장강도(wet tensile strength)가 요구되기 때문에 이를 비교하기 위해 조습처리 후 TAPPI T456 및 T494에 의거하여 과일봉지 원지의 습윤지력강도를 측정하였다. 또한 과일봉지는 봉지 내 온도조절을 위해 공기 투과성이 중요한데[29] 이를 평가하기 위해 TAPPI T460에 의거하여 densometer (F40451, FRANK-PTI GMbH, Germany)로 원지의 투기저항성을 측정하였다. 일반적으로 투기저항성이 높으면 투기도가 낮고 투기저항성이 낮으면 투기도가 상대적으로 높다고 볼 수 있다.
2.2.3 과일봉지 원지의 광학적 특성 및 발수성 측정
과일봉지는 과도한 태양광이 과일에 닿지 않도록 빛을 막아 줄 수 있는 기능이 필요하므로 높은 불투명도가 요구된다[29]. 또한 종이의 불투명도를 높일 수 있는 인자는 다양하나 광산란(light scattering)이 중요한 역할을 하기 때문에 높은 광산란계수가 요구된다. 본 연구에서는 각 과일봉지 원지의 불투명도와 광산란계수를 분광광도계(Elrepho spectrophotometer, L&W, Sweden)를 이용하여 측정하였고 광산란계수는 Eq. (1)에 대입하여 계산하였다.
여기서, 는 광산란계수, 는 산란력, 는 평량이다.
과일봉지가 과도한 수분으로부터 과일을 보호하기 위해서는 과일봉지 원지가 수분에 대한 높은 저항성을 가져야 한다[29]. 따라서 KS M 7057에 의거하여 과일봉지 원지의 발수성을 측정하였고 과일봉지 원지 표면에 물이 흐른 자국을 측정하여 발수성을 0–10 수치로 표시하였다.
3. 결과 및 고찰
3.1 원료 조건에 따른 과일봉지 원지의 물성 평가
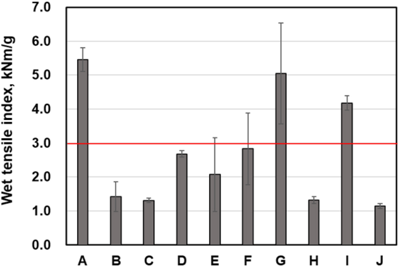
Table 3에서는 과일봉지 원지의 제조 조건에 따른 물성 측정 결과를 나타냈다. 우선 습윤 인장강도의 경우 SwBKP 비율이 높거나 UKP가 혼합된 A, G, I 조건에서 상대적으로 우수한 값을 나타냈는데 비교적 장섬유 구성 비율이 높은 원료 펄프를 사용하는 것이 지력을 유지하는 데 기여함을 확인하였다. 반면 RP 비율이 높은 H, J 조건에서는 강도 저하가 두드러져, 재생섬유의 단섬유화와 결합력 저하가 원인으로 판단된다. 투기도는 조건 E에서 99초 이상으로 높아 기밀성이 우수하였으며 다음으로 B 조건에서 높은 값을 나타내었는데, 이는 SwBKP 및 RP의 혼합에 따라 지필 밀도가 향상된 결과로 볼 수 있다. 반대로 RP 비율이 높은 조건에서는 투기도가 낮아 다공성이 증가하는 경향을 보였다.
Table 3.
Effect of manufacturing conditions on the physical properties of fruit bag base paper
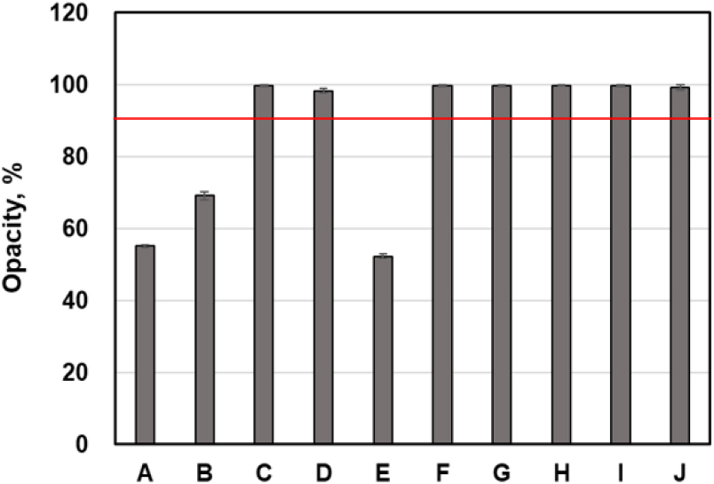
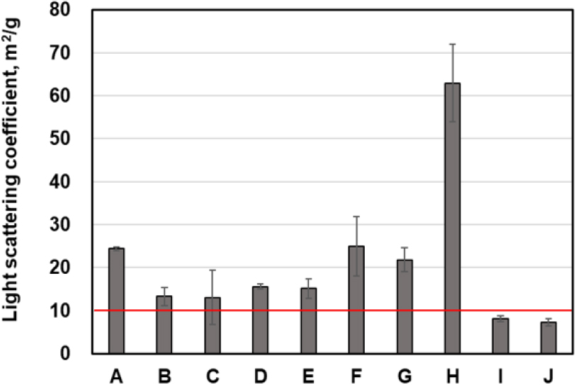
불투명도는 대부분의 조건에서 99% 이상으로 매우 높아, 햇빛 차단 효과가 우수하였다. 특히 안료로 카본블랙을 투입하여 만든 원지의 경우 불투명도가 크게 개선되었음을 알 수 있다. 이는 카본블랙이 원지의 불투명도 향상에 긍정적인 영향을 미쳤으며, 투입된 카본블랙이 원지에 잘 정착된 것으로 판단된다[30,31,32]. 광산란 계수는 조건별 차이가 뚜렷하였는데, F와 H 조건에서는 상대적으로 높은 값을 보인 반면, J 조건에서는 가장 낮았다. 카본블랙의 투입량이 동일함에도 광산란 계수가 다른 이유는 미세섬유 분포와 지필 구조의 차이에 따른 산란 효과의 차이로 판단된다.
발수성 평가에서는 모든 조건에서 최대값인 10을 나타냈으며, 이는 내첨 사이즈제가 투입되어 발수력을 향상시켰을뿐만 아니라 파라핀 왁스를 사용하여 원지 표면을 코팅할 경우 코팅량이 1.0 g/m2 수준에서 충분히 높은 발수력을 가질 수 있는 것으로 보인다.
종합하면, 과일 봉지용 원지의 성능은 섬유 조성과 내첨제 처리 조건에 따라 크게 달라졌으며, 특히 UKP 및 Sw-BKP 혼합과 에폭시 수지 적용 조건에서 습윤인장강도, 투기도, 불투명도 등 주요 특성이 고르게 향상되었다. 이러한 결과는 실제 과일 보호용 포장지로서 충분한 기계적 안정성과 광학적 차단성을 제공할 수 있음을 시사하며, 재생펄프 활용 시에도 적절한 배합, 내첨 첨가제, 발수 코팅를 병용한다면 과일봉지 원지의 물성을 향상할 수 있을 것으로 판단된다.
3.2 과일봉지 원지와 국내외 상업용 망고봉지의 비교
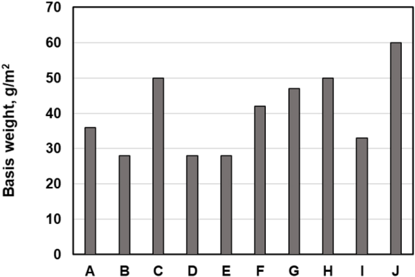
과일봉지 원지의 평량을 Fig. 2에 도시하였다. 전반적으로 20–60 g/m2으로 유사한 평량 범위를 나타냈다. 일반적으로 과일봉지는 겉지와 속지로 구분되는데 평량 20–40 g/m2은 속지로 사용되고 평량 40–60 g/m2은 겉지로 사용된다. 본 연구에서는 원료 조건에 따른 원지의 물성 변화를 파악하기 위해 겉지와 속지를 구분해서 분류하지는 않았다.
과일봉지 원지의 습윤 인장지수를 Fig. 3에 도시하였다. A, G, I 조건에서 국내외 망고봉지 제품 평균값(약 2.97 kNm/g)을 상회하는 결과를 나타냈다. 특히 A 조건은 5.5 kNm/g에 가까운 값을 기록하여, 국내외 망고봉지 제품 대비 두 배 이상의 우수한 습윤 강도를 나타냈다. 반면 나머지 조건은 국내외 망고봉지 제품 평균에 미치지 못하였으며, 특히 J 조건에서 가장 낮은 습윤 강도 값이 나타나 RP 비율이 높은 조성에서는 습윤 강도 저하가 불가피함을 확인하였다.
Fig. 4에 도시한 원지의 투기도를 살펴보면 전체적으로 국내외 망고봉지 제품 평균값(약 250초)에 미치지 못하였으나, E 조건은 110초로 상대적으로 높은 결과를 보였다. 이는 국내외 망고봉지 제품이 매우 치밀한 구조를 가지는 반면, 본 연구에서 제조한 원지는 비교적 다공성이 커 공기 차단성에서 차이를 보인 것으로 판단된다. 그러나 지역과 과일봉지의 활용 조건에 따라 일정 수준의 통기성을 가져야 하기 때문에 긍정적인 결과로 판단된다.
과일봉지 원지의 광학적 특성 측정값은 각각 Fig. 5와 Fig. 6에 도시하였다. 불투명도와 광산란 계수 모두 일부 조건에서 국내외 망고봉지 제품을 크게 상회하였다. 특히 H 조건은 불투명도가 99.7% 이상, 광산란 계수는 60 m2/g 이상으로 나타나 국내외 망고봉지 제품 대비 월등히 높은 광학적 차단 성능을 보였다. 이는 햇빛 차단과 과실 보호 측면에서 유리하게 작용할 수 있다. 다만, 일부 조건(A, B, E)의 불투명도는 국내외 망고봉지 제품 평균에 미치지 못하여 추가적으로 광차단제 적용이 필요함을 보여주었다.
Fig. 7에 도시한 과일봉지 원지의 발수성 측정값에 의하면 모든 조건에서 발수성은 최고 등급(10)을 기록하여, 국내외 망고봉지 제품과 동등한 내수성을 확보하였다. 이는 내첨 사이즈제(AKD, 로진) 및 왁스 코팅이 안정적으로 적용되었음을 나타낸다.
결과적으로 볼 때 본 연구에서 제조한 과일봉지 원지는 습윤 강도와 광학적 특성 측면에서 국내외 상용 망고봉지 원지보다 우수한 성능을 확보할 수 있음을 확인하였다. 다만, 투기도에서는 상대적으로 낮은 결과를 보였으며, 이는 향후 과일봉지 제조업체와 적절한 조건을 선정하여 조절이 필요한 것으로 판단된다. 따라서 국내산 원료와 폐지를 활용한 과일봉지 원지가 해외 망고봉지 제품을 충분히 대체할 수 있을 것으로 판단된다.
4. 결 론
본 연구에서는 과일봉지 원지의 원료 조건에 따른 물성을 분석하고, 선행연구에서 측정한 국내외 망고봉지 원지와 비교하였다. SwBKP 및 UKP 혼합 조건에서는 습윤 인장강도, 투기도, 불투명도 등 주요 특성이 고르게 향상되었으며, 이는 섬유 간 결합력 강화와 지필 밀도의 증가에 기인하는 것으로 확인되었다. 반면 RP 비율이 높은 조건에서는 강도와 투기성이 저하되는 경향을 보였으나, 적절한 배합과 내첨제·발수 코팅 처리를 통해 보완 가능함을 확인하였다. 특히 발수성은 모든 조건에서 충분히 확보되어, 파라핀 왁스 코팅 1.0 g/m2 수준으로도 발수성을 충족할 수 있음을 입증하였다.
해외 망고봉지 원지와의 비교에서는 평량 범위가 유사하였으나, 습윤 인장지수는 일부 조건에서 해외 제품보다 우수한 값을 나타냈고, 투기도는 국내 원지가 전반적으로 높아 공기 순환성이 우수하였다. 이는 국내 시장의 선호와 부합하나, 해외 수출을 위해서는 고객 요구에 맞춘 투기저항성 조정이 필요할 것으로 판단된다. 또한 불투명도와 발수성은 해외 제품 대비 우수하여 햇빛 차단성과 내수성 측면에서 경쟁력이 확인되었다.
결론적으로 과일봉지 원지의 물성은 섬유 조성과 내첨제 처리 조건에 크게 좌우되며, UKP 및 SwBKP 혼합과 적절한 화학처리를 통해 기계적 안정성과 광학적 특성을 동시에 확보할 수 있다. 향후 재생펄프의 활용 확대와 고해도 조절, 내첨제 및 발수 코팅 기술을 병용하는 것은 지속가능성과 성능 향상을 동시에 달성할 수 있는 방안으로 제시된다.









