1. 서 론
2. 재료 및 방법
2.1 공시재료
2.2 실험방법
3. 결과 및 고찰
3.1 AKD 사이징에 따른 소수성 평가
3.2 AKD 사이징에 따른 IR 분광학적 특성
3.3 AKD의 지방산 함량에 따른 PCA
4. 결 론
1. 서 론
지난 수 십여 년간 지류 제품의 다변화에 따라 초지공정 중 섬유에 소수성을 부여한 수분저항성 및 인쇄적성을 개선하기 위한 사이징 기술이 발전되어 왔다. 초지공정 중 섬유의 수산기(-OH)는 물과의 상호작용을 통해 지층형성에 관여하므로 우수한 물성의 종이 제품을 생산하기 위해서는 사이징 처리가 요구된다.1) 사이징 처리는 종이의 수분이나 수용액의 침투를 막기 위한 공정으로, 최초로 Moritz Friedrich Illig가 개발한 rosin-alum 사이징이 적용된 이후 다양한 사이즈제들이 고안되어 왔다.2,3,4)
현대 초지공정에서 주로 사용되는 사이즈제는 AKD(alkyl ketene dimer)와 ASA(alkyl succinic anhydride)로서 이들은 중성 혹은 알칼리 조건에서 상호 적용 가능하여 rosin-alum 사이징의 산성 초지에서 기인되는 종이의 물리적 강도 및 내구성의 감소, 탈수성 저하 등의 문제점을 보완할 수 있다.5) 특히 AKD의 경우 근대 제지공정 폐쇄화에 따른 pH 및 온도 상승으로부터 ASA에 비하여 상대적으로 높은 가수분해 안정성을 보유하였음과 동시에 건조부에서의 우수한 용해성과 분산성으로 우리나라와 유럽, 일본 등지의 산업계에서 중용되고 있다.2,6)
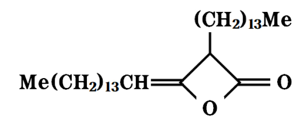
AKD의 사이징 효과는 일반적으로 C16(palmitic acid) 혹은 C18(stearic acid) 탄소사슬에서 비롯된 지방산(fatty acid)에 영향을 받아 결정되며7), AKD 분자의 기본 구조는 Fig. 1과 같다. AKD의 경우 알킬기의 길이가 길며 lactone ring이 외부로 노출되어 있지 않아 가수분해 속도가 상대적으로 낮고 에멀션 안정성이 우수하다고 알려져 있다. 그러나 이와 같은 특성이 셀룰로오스와의 반응성을 저하시켜 사이징 발현에 지장을 초래하기도 한다고 알려져 있어 상호보완적 접근이 필요한 실정이다.8) Lili 등9)은 지방산 함량에 따라 AKD 에멀션의 분산 및 에멀션 안정성이 좌우될 수 있다고 보고하였으며, Min 등10)은 지방산의 가수분해 정도에 따라 AKD 에멀션의 발현도와 성능이 크게 변화할 수 있다고 발표한 바 있다. 따라서 AKD 에멸션의 사이징 거동을 파악하기 위해서는 지방산 성상에 대한 이해가 필요할 것으로 사료된다.
적외선 분광분석(Infra-red spectroscopy, IR)이란 적외선 영역을 조사하여 흡수 분광법에 기반하여 시료의 화학적 성상을 분석하는 방법이다. 또한, 주성분 분석(principal component analysis, PCA)은 여러 개의 고차원 데이터를 소수의 주성분(principal component, PC)이라는 저차원 데이터로 환원하는 통계적 분석기법이다. 펄프·제지산업에서 Kim 및 Kang 등11,12,13)이 인쇄결점 발생 시 수월한 대응을 위한 알고리즘으로서 IR 스펙트럼과 주성분 분석(principal component analysis, PCA)을 적용하여 복사용지를 대륙 별 혹은 품질 별로 분류하는 연구를 보고한 바 있으며, Lee 등14,15)은 IR 스펙트럼과 주성분 분석을 이용하여 셀룰로오스 고분자 단위체의 치환도 분석법을 제시한 바 있다.
본 연구에서는 지방산 함량에 따른 AKD(Fig. 1)의 화학적 특성 및 사이징 거동을 파악하고자 적외선 분광분석과 주성분 분석의 활용을 시도하였다.
2. 재료 및 방법
2.1 공시재료
본 실험에서 사용된 AKD 에멸션은 국내 L사에서 분양 받아 사용하였으며, 그 성상을 Table 1에 요약하였다. 수초지 제조를 위한 펄프는 B사에서 분양 받은 활엽수 미표백 크라프트 펄프(Hardwood Unbleached Kraft Pulp, HUKP)를 실험실용 펄프해리기(Pulp disintegrator, L&W, Sweden)로 해리시킨 후 하이퍼 워싱하여 사용하였으며, 해리한 크라프트지의 여수도는 500 ml CSF였다.
Table 1.
Specification of AKD emulsion
| Properties | A1 | A2 | A3 |
| Viscosity, cP (at 25℃) | 5.22 | 5.94 | 8.22 |
| Particle size, μm | 0.549 | 0.486 | 0.482 |
| Melting point, ℃ | 47 | ||
| Fatty acid content, % | 10 | 12 | 16 |
2.2 실험방법
2.2.1 수초지 제조 및 AKD 사이징
AKD 에멸션의 지방산 함량에 따른 사이징 성능을 평가하고자 Table 1의 AKD 3종을 펄프 섬유 전건 중량 대비 0.1~1.5% 첨가하여 WEPS(wet end process simulator, SAMBO, Korea)를 이용하여 평량 70 g/m2의 수초지를 제조하였다. 수초 시 정착제(fixing agent)로서 C-PAM을 펄프 섬유 전건 중량 대비 0.1% 첨가하였으며, 대조군으로는 정착제만 첨가한 수초지와 비교하였다.
2.2.2 사이즈도 평가
제조된 수초지의 사이즈도를 평가하기 위하여 KS M ISO 187에 따라 온도 23±1℃, 상대습도 50±2%의 표준대기조건에서 48 h 이상 조습 처리한 후, Cobb size와 Stöckigt 시험을 진행하였다. Cobb size는 KS M ISO 535에 의거하여 상온 조건에서 120초 동안의 흡수도를 측정하였으며, Stöckigt 시험은 TAPPI UM 249에 의거하여 분석하였다.
2.2.3 AKD 사이징에 따른 분광학적 특성 평가
AKD 사이징 처리에 따른 분광학적 특성을 비교하고자 감쇠 전반사 적외선 분광기(attenuated total reflection infrared spectroscopy, ATR-IR, Alpha-P model, Optics, Germany)를 사용하였다. 이때 측정 영역은 4000-400 cm-1 이었으며 4 cm-1의 단위로 측정하였다. 최종적으로 10회 반복 스캔을 통해 수집된 데이터의 평균값을 계산하여 스펙트럼을 나타냈다.
화학적 특성을 평가하기 위한 지표로 측정된 스펙트럼 데이터의 특정 피크 세기(intensity)를 이용하여 AKD 첨가 조건에 따른 OI(oxidation index), HBI(hydrogen bond intensity)와 TCI(total crystallinity index)를 계산하였으며, 계산식을 Eqs. 1, 2, 3에 나타냈다. OI(oxidation index)는 섬유의 산화정도를 나타내는 지표로16) 카르보닐기(C=O)의 흡수강도17) 1,723 cm-1와 셀룰로오스 CH2OH 유래 메틸렌기(-CH2)의 흡수강도18,19)2,893 cm-1의 비로 계산한다. TCI는 섬유의 결정화도를 나타내는 지표로20) 메틸렌기의 흡수강도 2,893 cm-1와 C-H 굽힘 진동의 흡수강도 1,367 cm-1의 비19,21)를 통해 계산하며 HBI는 셀룰로오스내 수산기의 결합지수를 나타내는 지표로20) 셀룰로오스 분자간 수소결합을 나타내는 수산기(-OH)의 흡수강도18,19)3,330 cm-1와 수산기의 평면 변형(plane deformation)을 나타내는 흡수강도22) 1,334 cm-1의 비로 계산하였다. 본 연구에서는 시료 및 기기 등의 조건 차이에 따른 IR 스펙트럼의 shifting에 따라 TCI는 1365 cm-1 및 2900 cm-1의 값을 이용하였으며 HBI는 3331 cm-1 및 1334 cm-1의 값으로 계산하였다.
2.2.4 주성분 분석(principal component analysis, PCA)
지방산 함량에 따른 AKD 에멀션의 화학적 거동을 보다 유용하게 분석하기 위해 ATR-IR 분석을 통해 얻어진 스펙트럼 데이터를 Savitzky-Golay 알고리즘에 의거하여23) 5차 다항식으로 2차 미분한 다음 R software (R Core Team, ver. 4.2.2, Auckland, New Zealand)를 이용하여 주성분 분석을 실시하였다.
3. 결과 및 고찰
3.1 AKD 사이징에 따른 소수성 평가
Fig. 2는 AKD의 지방산 함량과 투입량에 따른 수초지의 흡수도 변화를 나타낸 결과이다. Cobb size는 단위면적당 흡수되는 물의 양으로 측정값이 낮을수록 높은 수분 저항성을 지녔음을 의미한다. 0.1%의 첨가 조건에서 A1이 가장 우수한 사이즈도를 나타냈으나 첨가량이 증가할수록 시료 간 사이즈도의 대별성은 감소하는 경향을 나타냈다. 또한 0.5% 이상 첨가 시 첨가량에 따른 사이즈도 변화는 관찰되지 않았다. 이는 AKD의 보류도와 반응률에 기인한 결과로 단분자막에 가까운 형태로 섬유 표면에 도포되는 AKD의 특성상 0.5% 이상의 첨가는 사이즈도 향상과 무관할 것으로 사료된다.
Fig. 3은 AKD의 지방산 함량과 투입량에 따른 Stöckigt 값을 나타낸 결과이다. Stöckigt 시험은 종이 표면에 약액을 부착시켜서 종이 표면에서 물의 확산속도를 측정하는 방법으로 측정값이 높을수록 높은 수분저항성을 지녔음을 의미한다. Stöckigt 시험 결과도 Cobb size와 유사한 경향을 나타냈다. 0.1~0.3%의 수준에서 A1이 가장 우수한 사이즈도를 나타냈으며, 첨가량을 증가할수록 결과값 간 차이는 크지 않았다. 따라서 지방산 함량에 따른 사이즈도를 고려하였을 때 동일 투입량 대비 상대적으로 우수한 성능을 보인 조건은 A1이었으며 첨가량의 경우 AKD 보류도와 반응률을 고려하였을 때 0.1~0.3% 수준의 투입비 설정이 적합하다고 판단된다.
3.2 AKD 사이징에 따른 IR 분광학적 특성
Fig. 4는 사이징 처리 조건에 따라 제작한 수초지로부터 분석한 IR 스펙트럼 데이터의 평균값을 나타낸 결과이다. 화학적 분석을 위해 Fig. 4의 스펙트럼 데이터를 통해 OI, TCI 및 HBI를 계산하였으며 각각의 결과를 Fig. 5에 도시하였다.
Fig. 5(a)는 표면의 카르보닐기(C=O) 형성을 확인할 수 있는 지표인 OI를 나타낸 결과이다. 결과로써 AKD의 지방산 함량과 투입량이 증가할수록 OI가 상승하는 것을 확인할 수 있었다. 이는 AKD가 셀룰로오스와 반응하여 β-keto ester 결합한 것에 기인하여 수초지의 OI 지수가 증가하는 것으로 판단된다. Figs. 2와 3의 AKD 투입량에 따른 사이즈의 변화 양상과 마찬가지로, 0.3%까지 AKD 첨가량이 증가함에 따라 OI 지수는 증가 하였으며, 0.5% 이상 첨가 시 OI 지수는 거의 변화하지 않았다. 이러한 결과로 볼 때 OI 지수 변화 즉 수초지의 카르보닐기 함량 변화를 통해 셀룰로오스와 AKD 반응률 분석이 가능한 것으로 판단된다.
Fig. 5(b) 및 5(c)는 총결정화 지수(TCI)와 수소결합 강도(HBI)를 계산한 결과이다. Fig. 5(b)에서 확인할 수 있듯이 A2 및 A3의 경우, 0.1~0.3% 수준에서 투입비가 증가함에 따라 TCI가 상승하는 경향을 나타냈다. Kang 등12)은 표면 사이징 처리 및 화학 약품 첨가의 증가에 따라 결정화도가 상승할 수 있다고 보고한 바 있다. 따라서 지방산 함량이 TCI 결과에 영향을 미쳤을 것으로 추정된다. 0.5%까지 첨가량을 증가시켰을 때 TCI가 감소하는 현상의 경우 앞서 언급하였던 보류도에 대한 검토가 필요하다고 판단된다. 한편 A1의 경우 A2, A3과는 다른 경향을 나타냈는데 이 역시 보류도와 반응율에 따른 원인으로 사료된다. Figs. 2 및 3에서 확인하였듯이 A1은 0.1% 첨가 수준에서 가장 우수한 반응성과 사이즈도를 나타냈던 시험편으로서 0.1% 수준에서 셀룰로오스와 높은 반응성을 보이며 섬유표면을 도피한 뒤 첨가량을 증가함에 따라 보류도는 서서히 저하되었을 것으로 사료된다.
Fig. 5(c)는 TCI 결과와 반대 경향을 나타냈으며, Siroky 등20)은 이러한 현상을 ‘mirror effect’라 지칭하였다. 수산기(-OH)의 존재를 확인할 수 있는 HBI의 경우 종이 표면이 소수화 됨에 따라 TCI 결과와는 반대 경향을 나타내게 된다. 종이의 경우 섬유의 결정화도에 따라 강직성(stiffness)에 많은 영향을 미치기 때문에 사용 목적을 고려하여 적절한 사이즈제의 선택과 투입비를 설정해야 할 것으로 사료된다.
3.3 AKD의 지방산 함량에 따른 PCA
본 연구에서는 지방산 함량에 따른 AKD의 사이즈도 발현에 영향을 미치는 주성분을 탐색하고자 IR spectra를 이용하여 주성분 분석을 진행하였다. 주성분 분석에 앞서 Fig. 4의 raw IR spectra를 Savitzky-Golay 알고리즘에 의거하여 5차 다항식으로 2차 미분하였다. IR 분석은 본 실험에서 가장 큰 대별성을 보였던 0.1% 첨가 조건을 기준으로 진행하였다. Fig. 6은 Savitzky-Golay 알고리즘에 의거하여 2차 미분한 IR spectra를 나타낸 것이다. Fig. 7은 IR spectra를 통해 얻은 PCA score plot을 나타낸 것으로 지방산 함량에 따른 AKD의 cluster가 분명하게 형성된 것을 확인할 수 있었다. AKD의 지방산 함량이 증가함에 따라 cluster가 좌측에서 우측으로 이동하였으며, 따라서 PC1에 해당하는 IR 피크가 AKD의 화학적 성상을 중심으로 cluster 형성에 관여하였을 것으로 판단된다.
Fig. 8은 score plot 상의 결과를 기반으로 AKD의 지방산 함량에 따른 cluster 형성 특징에 영향을 미치는 주요 성분의 피크 대조를 위하여 PCA loading data와 2차 미분 스펙트럼을 비교한 결과이다. 각 PC1과 PC2에 대응하는 피크들을 선별하여 Fig. 9에 나타냈고, Table 2에 작용기 및 구성성분을 요약하였다. PC1의 경우 1876 cm1과 1849 cm1부근에서 lactone ring의 C=O 결합의 신축진동에 의한 흡수와, 1722 cm-1부근에서 lactone ring의 C=C 결합 신축진동에 의한 흡수밴드가 확인되었다.2,24) 앞서 사이즈도 및 분광학적 특성에서 확인하였듯 AKD의 경우 보류도와 반응성에 따른 β-keto ester와 케톤의 형성이 사이징 처리 시 AKD와 종이의 화학적 성상을 좌우하는 주요인이 될 것으로 판단된다.
Table 2.
Assignments with wavenumber on each principal component
한편, PC2의 경우 1451cm-1부근에서 다당류의 OH in-plane bending에 해당하는 피크25)와 871 cm1부근에서 헤미셀룰로오스의 C2-H bending 진동으로 인한 피크26)등이 확인되었다. PC1은 AKD 유래 성분을 중심으로 구성된 반면 PC2의 경우 종이 자체 성분에 기인한 성분들이 다수 포함된 것을 확인할 수 있다. Fig. 7의 score plot 상에서 A1 cluster의 경우 control 조건과 가장 원거리에 위치한 것을 확인할 수 있다. A1의 경우 셀룰로오스와의 우수한 반응성을 기반으로 β-keto ester를 형성하여 control 조건과 가장 큰 차이를 나타낸 것으로 추정된다. 반대로 지방산 함량이 높은 A2와 A3의 경우 A1에 비하여 상대적으로 낮은 반응성에 의하여 셀룰로오스와 반응하지 못함에 따라 종이 자체 유래 성분인 PC2를 기준으로 cluster가 위에서 아래로 이동하며 control cluster에 근접해지는 것으로 판단된다.
4. 결 론
본 연구에서는 지방산 함량에 따른 AKD의 화학적 특성 및 사이징 거동을 파악하고자 적외선 분광분석을 활용한 주성분 분석의 화학적 특성 분석을 시도하였다. AKD의 지방산 함량과 투입비 설정을 다르게 설정하여 제조하였으며, 사이징 거동과 화학적 분석을 진행하였다.
연구 결과, 적외선 분광분석에 의한 주성분 분석을 통해 지방산 함량에 따른 AKD의 화학적 특성 및 사이징 거동 예측이 가능한 것으로 나타났다. AKD 종류 및 첨가량 별 Cobb size와 Stöckigt 시험을 수행한 결과 A1이 동일 조건 하에서 가장 우수한 성능을 나타냈으며, AKD의 보류도와 반응률을 고려하였을 때 0.1~0.3% 수준의 투입비가 적합하였다. IR 분석법에 기초한 OI 및 TCI 결과와 주성분 분석 결과도 이와 유사한 결과를 나타냈다. OI의 경우 AKD가 셀룰로오스 섬유와 반응하여 β-keto 에스테르 결합을 함으로써 케톤 에스테르(R-C=O-R-C =O-OR)를 형성함에 따라 AKD 보류율에 상응하여 증가하는 것을 확인하였다. TCI의 경우 약품의 첨가량 증가에 따라 증가하는 경향을 나타냈으며 이는 지방산 함량에 기인한 결과로 판단된다. 또한 주성분 분석(PCA)에서는 지방산 함량에 따른 AKD의 사이즈도 발현의 주요 작용기를 파악할 수 있었으며 셀룰로오스와 반응성에 따른 종이의 화학적 구조 변화를 확인할 수 있었다.











