1. 서 론
종이는 정보를 전달하는 매개체로 과거부터 현재까지 기록물로 사용되고 있다. 하지만 종이 제조가 면화에서 목재 펄프로 종이 원재료가 변화하면서 도서관, 서류 기록물 등의 품질 및 접근성이 좋지 않다는 결과가 보고되고 있다.1,2) 이는 종이가 여러 가지 이유로 손상될 수 있기 때문인데 일반적으로 생물학적 요인은 박테리아, 균류 및 곤충에 의한 것이며 화학적 요인은 주로 산화와 가수분해 때문이다.3) 또한 목재 섬유는 과거에 사용되었던 면섬유보다 낮은 중합도를 가지기 때문에 훨씬 분해되기 쉽다.1,4) 특히 서적에서의 열화(노화)는 주로 1850년에서 1990년 사이에 적용된 종이에서 많이 나타나며 이는 도서관의 상당수를 차지하고 있다. 1850년 이후 쇄목펄프와 알럼이 종이의 주원료로 사용되면서 쇄목펄프 내 리그닌에 의해 황변이 발생하고, 알럼-로진 사이징제에 의해 산가수분해가 발생하였기 때문이다.5-7) 종이의 열화가 일어나는 주요 원인은 셀룰로오스의 산화 및 가수분해와 리그닌의 존재가 많은 영향을 미친다. 이러한 원인 분석을 위해서는 종이 제조에 사용된 펄프 원료의 종류에 대한 연구가 필요하다.
국가기록원에서는 종이 기록물의 보존과 복원처리 실시 전 훼손된 종이 기록물의 기초 연구를 실시한 바 있다. 종이 제조에 사용되었던 섬유 및 열화 정도 등의 분석을 통해 당시 제지 기술의 특성을 알 수 있었으며 종이 기록물들을 과학적으로 보존하기 위한 기초 자료로 활용하고 있다.8) 뿐만 아니라 환경적, 경제적인 문제로 인해 포장용 골판지 산업에서 재생지 사용 비율이 늘어나면서 골판지의 재생지 함유량을 알아보기 위해 다양한 방법으로 섬유 분석을 실시하였다.9) 가장 많이 사용하는 섬유 분석 방법은 Graff “C” stain 염색시약을 통해 섬유를 염색한 후 광학현미경으로 섬유의 종류 및 형태를 관찰하는 것이다.10) 이 외에도 종이의 강도적 특성을 비교하거나 종이의 산성도를 비교하여 펄프화 방법과 사용한 펄프의 수종 등을 추적할 수 있다.8) 하지만 이러한 방법은 시료의 파괴가 불가피하기 때문에 역사적으로 매우 중요한 종이 기록물이나 미량 시료의 섬유 특성 분석에 한계가 있다.
따라서 본 연구에서는 비파괴적인 방법에 의해 미지의 종이 시료 내에 존재하는 펄프 원료의 종류와 펄프의 종류 및 침활엽수의 배합비 등을 확인하기 위하여 연대가 정확히 알려진 일본섬유학회지를 시료로 하여 분광학적인 방법으로 그 특성을 비교하고자 하였다.
2. 재료 및 방법
2.1 공시재료
본 연구에서는 연대별 시료의 섬유 특성을 분석하기 위하여 과거부터 최근까지의 시료가 완전히 존재하는 상태의 재료를 이용하고자 1959년에서 2012년까지 연도별로 게재된 학술지가 모두 준비된 상태의 일본섬유학회지(日本纖維學會誌, FIBER, Fig. 1)를 재료로 사용하였다. 학술지 시료는 다시 연대별로 나누어 1960년대, 1970년대, 1980년대, 1990년대 및 2000년대로 나누었으며 각 연도마다 무작위로 3개호를 선별하여 연구를 진행하였다.
2.2 형태학 및 기계적 분석
각 연대별 학술지의 섬유 특성을 측정하기 위해 각 시료를 절취하여 1% NaOH 용액에 투입한 후 섬유가 해리될 때까지 충분히 교반시켰다. 해리된 섬유 현탁액은 증류수로 세척하여 중화시켰다. 중화시킨 섬유 현탁액은 광학현미경(BX 50, Olympus Optical Co. Ltd., Japan)을 이용하여 60배율로 관찰하였다. 촬영된 이미지는 image analyzer(i-Solution, IMT I-Solution Inc., Canada)로 배율을 보정한 후 섬유장을 측정하였다. 연대별 학술지의 기계적 강도 비교를 위해 TAPPI standard에 의거하여 MD 방향의 인장지수(T 404)와 내절도(T 511)를 측정하였다.
2.3 분광학적 특성
연대별로 수집된 학술지의 분광학적 특성을 비교하기 위해 감쇠 전반사 적외선 분석기(attenuated total reflection infrared spectroscopy, ATR, Bruker Optics, Germany)를 사용하였다. ATR 측정 영역은 4,000-400 cm-1이며 2 cm-1의 단위로 측정되었다. 또한 한 시료당 24회 반복 스캔한 스펙트럼을 사용하였다. 이 때 시료의 측정 부위는 Fig. 2와 같이 책의 내지 중 외부의 영향(열화 등)을 가장 적게 받은 부분을 중심으로 측정하였다. 측정된 IR 스펙트럼 데이터로부터 피크 세기(intensity)를 이용하여 Kim 등11)이 제시한 OI(oxidation index), Široky 등12)이 적용한 TCI(total crystallinity index) 및 HBI(hydrogen-bond intensity)를 계산하였다. OI는 카르보닐기(C=O)에 유래하는 1,723 cm-1 대의 흡수강도13)와 셀룰로오스의 C(6)에 위치한 CH2OH 유래의 메틸렌기(-CH2)의 흡수에 대응하는 2,893 cm-1 대의 흡수강도14,15)의 비율에 의해 계산되어졌다. TCI는 메틸렌기의 흡수에 대응하는 2,893 cm-1 대의 흡수강도와 1,367 cm-1대의 셀룰로오스 내 C-H 굽힘 진동에 해당하는 흡수강도15,16)의 비로 계산되었다. HBI는 주로 셀룰로오스의 분자간 수소결합(3,330 cm-1)을 나타내는 수산기(-OH)의 흡수강도14,15) 및 수산기의 평면 변형(plane deformation)을 나타내는 1,334 cm-1대의 흡수강도17) 비로 계산되었다.
2.4 주성분 분석(PCA, Principal Component Analysis)
연대별 학술지의 PCA 분석을 위해 ATR 분석기로 각 시료당 5회씩의 측정을 실시하였다. 수집된 스펙트럼 데이터는 Savitzky-Golay 알고리즘18)을 이용하여 5차 다항식에 의해 2차 미분하여 전처리하였다. 2차 미분으로 전처리된 연대별 학술지 시료의 스펙트럼 데이터들은 Unscrambler® Ver. 9.8(CAMO Software Inc., USA)을 이용하여 분석하였다. 주성분 분석은 셀룰로오스, 헤미셀룰로오스, 리그닌 및 수분 등의 피크가 관찰되는 영역인 1,500-900 cm-1을 중심으로 분석을 진행하였다.
3. 결과 및 고찰
3.1 섬유장 및 침·활엽수 분포
Fig. 3은 연대별로 수집된 학술지의 섬유장을 측정한 결과이다. Fig. 3A와 같이 1960년대부터 2000년대 사이의 학술지 시료는 모두 1 mm 전후의 섬유장이 가장 많이 분포하였다. 즉, 일반적으로 알려진 0.6-0.8 mm의 활엽수보다 1.0 mm 이상의 침엽수 유래의 섬유가 상대적으로 많이 분포한다는 것이다. 우리나라에서는 활엽수 펄프에 일부의 침엽수 펄프를 첨가하지만 일본의 학술지에는 침엽수 펄프에 일부의 활엽수 펄프를 첨가하는 것으로 보인다. 이를 섬유장 누적 분포 그래프(Fig. 3B)로 나타내면 1.5 mm를 기점으로 거의 100%에 가까운 누적 분포를 확인할 수 있다. 1960년대, 1980년대 및 1990년대 학술지의 섬유장 누적 분포 그래프는 거의 비슷하게 나타나지만 1970년대와 2000년대 학술지 시료의 섬유장 누적 분포는 조금 상이하게 확인되었다. 1970년대 시료는 다른 시료에 비해 약 2.5 mm 이상에서 누적 그래프가 100%에 가깝게 나타났다. 이것은 다른 섬유에 비해 1.0 mm 이상의 장섬유가 더 많이 분포한다는 것을 의미한다. 한편, 2000년대 시료는 1.5 mm 이전에 누적 그래프가 100%에 가까워졌다. 이것은 다른 연대별 시료에 비해 상대적으로 단섬유를 많이 사용했다는 것이다. 따라서 섬유의 종류에 따른 비율을 확인하기 위해 Table 1과 같이 평균 섬유장 및 침·활엽수 비율을 계산하였다.

Fig. 3.
Fiber length distribution of academic journals according to published years: (A) distribution of fiber length; (B) cumulative distribution of fiber length.
Table 1.
The predicted ratio of softwood and hardwood in the samples according to published years
연대별 학술지 시료의 평균 섬유장과 침·활엽수 분포율을 Table 1에 나타내었다. 침·활엽수 및 장섬유의 비율은 일반적으로 알려진 활엽수의 섬유장(>1.0 mm), 침엽수의 섬유장(1.0-2.0 mm) 및 그 이상의 장섬유(≥2.0 mm)으로 나누어 예측 계산하였다. 본 연구 결과는 섬유장을 통한 침엽수 및 활엽수를 예측 비교한 결과로서, 펄프의 종류에 관해서는 언급하지 않도록 하겠다. Fig. 3B에서 언급한 바와 같이 1970년대 시료의 섬유가 다른 연대별 시료의 섬유에 비해 장섬유가 많이 함유되어 있어서 평균 섬유장에서 1.40 mm로 가장 길게 확인되었고 2000년대의 시료는 상대적으로 단섬유가 많이 분포되어 있기 때문에 연대별 시료 중 가장 짧은 1.11 mm의 평균 섬유장을 보였다. 침·활엽수 분포에서도 2000년대 이전까지는 70% 이상으로 침엽수의 비율이 높았으며 2000년대 이후의 시료에서는 약 60%대로 침엽수의 비율이 낮아지면서 활엽수의 비중이 많이 늘어났다. 한편, 1970년대 시료에서는 2.0 mm 이상의 장섬유도 많이 관찰되었으며 최대 4.0 mm에 가까운 섬유도 확인되었다. 이것으로 볼 때 과거 일본의 종이 제조에서는 일본의 전통종이인 화지의 원료가 되는 삼지닥나무 유래의 장섬유가 일부 사용되었을 것으로 유추할 수 있다.
3.2 기계적 강도
종이는 열화가 일어남에 따라 중합도가 감소되어 강도 저하가 발생된다. 일찍이 Walkden19)은 열화된 종이는 인열강도와 내절도가 급격히 감소하며 이는 셀룰로오스가 주로 공격받았기 때문이라고 보고한 바 있다. Kim 등20)은 여과지를 150℃에서 5일간 강제 열화시켰을 때 내절도가 약 40% 감소한다고 보고하였다. 본 연구에서는 연대별 학술지 시료의 인장강도와 내절도를 측정하여 Fig. 4에 도시하였다. 다만 본 연구에 사용된 학술지 시료는 각 연대별로 시료에 사용된 침·활엽수의 비율은 물론이거니와 초지 시 사용된 약품의 종류 또한 상이할 것으로 예상되기 때문에 연대에 따른 강도의 경향성만 판단하고자 하였다. Fig. 4A와 같이 1970년대까지의 시료의 인장지수는 약 25-26 N·m/g으로 측정되었으며 1980년대와 1990년대에 와서는 33-36 N·m/g으로 상승하였다. 이후 2000년대에 와서는 약 68 N·m/g으로 연대별 시료 중 가장 높은 인장지수를 보였다. 인장강도는 섬유 간의 결합강도에 영향을 많이 미치는 바 연대가 오래된 시료의 경우 오랜 시간의 열화에 의해 섬유 간 결합강도가 약해져 낮은 강도를 보인 것으로 예상된다. 종이의 열화에 대한 지표 중 내절도는 중요한 특성이 된다. 연대별 시료의 열화 정도 유추를 위해 Fig. 4B와 같이 내절도를 측정한 결과, 1960년대(약 4회)에서 2000년대(약 35회)로 올수록 내절도는 상승한 것을 확인할 수 있었다. 연대별 시료의 강도가 최근으로 올수록 높은 강도를 보인 것으로 보아 열화에 의한 영향으로 판단되어 열화 지표를 측정할 수 있는 분광학적 특성을 측정하였다.
3.3 분광학적 특성
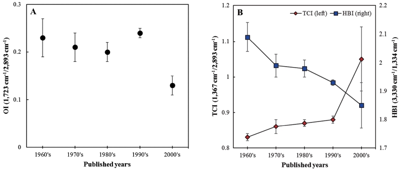
Fig. 5는 각 연대별로 측정된 5개씩의 시료를 평균하여 스펙트럼으로 나타낸 그래프이다. Fig. 5와 같이 각 연대별로 IR 스펙트럼 상에서 나타나는 특이점은 확인할 수 없었다. 따라서 IR 스펙트럼 데이터의 vector-normalization 전처리를 진행한 후 특정 intensity를 이용하여 OI, TCI 및 HBI를 계산하였다. OI는 종이에서 가장 변화가 적은 셀룰로오스 C(6)에 유래하는 메틸렌기(2,893 cm-1, -CH2)의 intensity로부터 열화에 의해 생성되는 카르보닐기(1,723 cm-1, C=O)의 intensity를 나누어 계산하였다. TCI는 O’Connor 등21)이 제안한 1,429 cm-1/893 cm-1과는 다른 방법으로 셀룰로오스 C(6) 유래의 메틸렌기의 intensity(2,893 cm-1)에서 셀룰로오스 내 C-H 굽힘 진동에 해당하는 intensity(1,364 cm-1)를 나누어 계산하였다.22) 또한, HBI는 셀룰로오스의 분자 간 수소결합을 나타내는 수산기(3,330 cm-1, -OH)의 intensity로부터 수산기의 평면 변형(1,336 cm-1)을 나타내는 intensity를 나누어 계산하였다.

Fig. 5.
IR spectra with the 4,000-400 cm-1 region based on academic journals according to published years.
Fig. 5의 IR 스펙트럼 데이터로부터 OI, TCI 및 HBI를 계산한 결과를 Fig. 6에 나타내었다. Fig. 6A의 OI를 보면 2000년대로 올수록 산화정도는 감소하는 것을 볼 수 있다. 즉, 최근 학술지 시료일수록 열화속도가 늦으며 진행이 많이 이루어지지 않았다는 뜻이다. 그러나 1990년대 학술지 시료의 OI가 0.24로 다른 연대의 학술지 시료에 비해 높은 값을 나타내었다. 1990년대에 제조된 학술지 시료의 인장강도 결과에서도 다소 낮은 결과를 보인 것을 보면 종이 제조에 사용된 원료(펄프)가 다소 상이하거나 투입된 약품이 기존의 것과는 상당히 다르기 때문으로 유추할 수 있으나 정확한 이유는 찾아보기 어려웠다. 종이의 결정화도를 확인할 수 있는 지표인 TCI를 보면 1960년대부터 1990년대까지의 학술지는 서서히 증가하다가 2000년대 학술지에서는 급격히 증가한 것을 확인할 수 있다. Agarwal 등23)은 X-선 회절분석을 통해 침·활엽수 표백크라프트펄프의 결정화도는 70-71%로 나타나지만 TMP와 같은 기계펄프에서는 62-64%로 약 8% 가량 낮은 결정화도를 보인다고 하였다. 특히, 침엽수 기계펄프에 비해 활엽수 기계펄프의 결정화도가 약 1-2% 가량 더욱 낮게 나타났다고 하였다. 본 연구에서의 TCI 결과를 바탕으로 섬유의 종류를 유추해 보면, Table 1의 결과와 같이 펄프 수종에서는 2000년대의 시료의 활엽수 펄프 비중이 상대적으로 더 높았다. 이를 기계펄프 및 화학펄프와 같은 펄프의 종류 측면에서 볼 때, 섬유장 측정 시 섬유폭 확인을 통해 침엽수 펄프로 예상되는 섬유에서 절단 및 파괴가 확인되어 1990년대까지의 학술지에서는 주로 기계펄프가 상대적으로 많이 사용되었고 2000년대에 들어서는 화학펄프의 사용량이 많아진 것으로 유추할 수 있다. 이와 더불어 Fig. 6B의 HBI 결과와 같이 섬유 간 결합의 지수가 2000년대로 갈수록 낮아진다는 것은 그만큼 제지용 약품의 사용량이 늘었기 때문이라고 볼 수 있다.
3.4 주성분 분석
각 연대별 학술지 시료의 섬유 특성을 확인하기 위한 다른 방법으로 주성분분석법(PCA)을 적용한 결과를 Fig. 7에 나타내었다. Fig. 7A와 같이 목재와 종이의 주성분인 셀룰로오스, 헤미셀룰로오스 및 리그닌의 피크 세기가 주로 관찰되는 1,500-900 cm-1 영역 대에서 IR 스펙트럼 데이터를 비교하면 연대별 시료 간의 차이를 확인하기 어렵다. 따라서 Fig. 7B와 같이 IR 스펙트럼 데이터를 Savitzky-Golay 알고리즘에 의해 2차 미분을 실시하여 각 피크의 영역을 증폭시키면 흡수 세기를 보이던 IR 스펙트럼 데이터가 (-) 피크를 보이는 9개의 특징적인 2차 미분 데이터를 얻을 수 있다. 이 영역들의 피크 시그널들은 다음과 같다. (a) C(6)에서 확인되는 CH2 scissoring15), (b) symmetric C-H bending15), (c) CH2 rocking vibration17), (d) guaiacyl ring+C=O stretch24), (e) OH plane deformation17), (f) C(1)-O-C(5) stretching25), (g) ring asymmetric valence vibration17), (h) Calkyl-O ether vibrations, methoxyl and β-O-416,24) 및 (i) C(6)에서 확인되는 C-O valence vibration17)이다. 셀룰로오스에 해당하는 영역들은 (a), (c), (e), (f) 및 (i)이며, 헤미셀룰로오스는 (b), (d) 및 (f) 영역에서 관찰되고 리그닌은 (d), (g), 및 (h)에서 확인된다. 이렇게 특징적인 피크 9개를 중심으로 1,500-900 cm-1 영역대의 PCA를 적용한 결과를 Fig. 8에 도시하였다.

Fig. 7.
A. The original IR spectra (1,500-900 cm-1), B. the 2nd derivative spectra for the academic journals according to published years.
각 연대별 학술지 시료의 PCA 결과(Fig. 8)를 보면 특징적인 4개의 클러스터(cluster)가 확인되었다. 1960년대 시료의 클러스터, 1970-1990년대의 클러스터, 2000년대의 클러스터가 확연히 구분되어 PCA score plot 상에서 관찰되었다. 1970-1990년대의 시료는 펄프 원료의 종류 및 펄프의 종류가 거의 유사하기 때문에 하나의 클러스터로 나타났다. 1960년대의 시료는 PC_02를 중심으로 1970-1990년대 클러스터와 구분되었는데 이는 아마도 열화에 의한 헤미셀룰로오스 영역(C=O)의 차이로부터 나타난 결과로 예상할 수 있다. 2000년대의 클러스터는 PC_01을 중심으로 (-) 영역에 2000년대 이전의 시료가, (+) 영역에 2000년대 이후의 시료로 구분되었다. 이는 앞서 Fig. 7B의 TCI에서 고찰한 바와 같이 펄프의 종류(기계펄프, 화학펄프)에 따라 구분된 것으로 보인다. 앞선 3개의 클러스터는 상기의 결과에서도 확인이 가능하였으나 흥미롭게도 PCA score plot 우측 상단의 클러스터와 같이 1998년 및 2000년도의 학술지 시료는 이전의 다른 시료와는 확연히 다른 클러스터를 보이고 있었다. 더욱 많은 시료의 IR 스펙트럼 데이터를 통해 확인해봐야 정확한 결과를 알 수 있겠지만 이 두 시료의 클러스터가 독립적으로 분포한다는 것은 기존의 시료와는 다른 펄프의 사용 가능성을 예상할 수 있다. 앞선 결과에서 확인할 수 없는 열대재의 펄프를 사용했을 가능성도 있다는 것이다. 그러나 학술지 원지의 제조사나 이에 사용된 원료 및 약품 등을 확인할 수 없기에 추정만 가능할 뿐이다. 따라서 이와 관련된 추가적인 연구가 필요할 것으로 보인다.

Fig. 8.
The score plots by IRPCA on the two PCs in 2nd derivative IR spectra with the 1,500-900 cm-1 region based on academic journals according to published years.
이상으로 각 연대별 학술지 시료의 클러스터 분포가 상이하며 예상되는 구분 가능성을 바탕으로 각 PCs(principal components)를 대표하는 주요 영역을 역추적하였다.
Fig. 9는 Fig. 8의 PCA socre plot으로부터 얻어진 주성분 loadings 데이터이다. Loadings 데이터(Fig. 9A)는 주성분(PC)들이 영향을 미치는 값을 나타낸 것이다. Loading값 즉, 진동의 세기가 클수록 해당 PC에 영향을 많이 준다는 것을 의미한다. PC_01에 영향을 주는 파수(wavenumber)는 (h)와 (i) 영역이며 PC_02는 주로 (e)와 (f) 영역의 영향을 받는다. PC_01은 Fig. 8의 PCA score plot에서 2000년대 전후의 시료를 구분 짓고 있다. 즉, 펄프의 종류가 상이하다는 예상과 마찬가지로 IR 스펙트럼 상의 리그닌 영역의 성분(메톡실기 혹은 β-O-4 결합)에 의해 클러스터가 형성된 것이다. PC_02는 1960년대와 1970-1990년대의 클러스터 차이를 나타낸다. 이것은 주로 셀룰로오스 내 수산기에 의해 구분이 되었다. 수산기들은 열화(산화 혹은 가수분해)에 의해 -COOH 혹은 C=O가 생성되어 수산기의 양이 감소되었기 때문에 클러스터 형성이 상이하게 나타난 것으로 보인다.
4. 결 론
본 연구에서는 연대별 학술지의 사용 원료 및 펄프의 종류를 추적하기 위해 물리학, 분광학, 화학계량학적 방법을 이용하여 분석을 실시하였다. 모든 연대의 평균 섬유장은 1.0 mm 이상이었으며 침엽수와 활엽수가 다양한 비율로 분포하고 있었다. 1960년대 및 1970년대 학술지 시료에서는 침·활엽수 이외의 장섬유가 일부 사용된 것으로 확인되었다. IR 스펙트럼 데이터를 이용한 TCI 측정을 통해 2000년대 시료의 활엽수 펄프의 사용 비율이 높아지며 화학펄프의 사용량이 많아졌다. 또한, HBI의 결과를 통해 2000년대 시료로 갈수록 제지용 약품의 사용량이 증가한 것을 유추할 수 있다. 이 시료들을 IRPCA에 적용하였을 때 2000년대 전후의 클러스터들 분포가 상이한 이유로 리그닌의 함량 혹은 성상이 다르기 때문이라는 것이 확인되었다. 1998년 및 2000년도의 학술지 시료의 클러스터 분포를 통해 기존의 시료와는 다른 펄프의 사용 가능성을 예상할 수 있다. 최종적으로 미지의 시료를 분석하는 데 있어서 IR과 이를 활용한 PCA를 적용하면 간단한 방법으로 사용된 펄프 원료의 종류 및 펄프의 종류 등을 쉽게 예측 및 확인할 수 있다.







