1. 서 론
생활수준의 향상과 위생에 대한 관심이 증가하면서 병원뿐만 아니라 음식점이나 가정 등에서 일회용 물티슈에 대한 수요가 꾸준히 증가하였다. 물티슈는 뛰어난 휴대성과 편리함의 이점이 있으며, 단순히 손을 세정하는 역할에서 벗어나 생활위생용, 미용용, 의료용 등 다양한 용도로 사용되고 있다. 물티슈 용도의 다양화는 1950년대 후반 유아용 물티슈가 개발되면서 시작되었으며, 1990년대에 킴벌리클라크와 같은 대형제조사의 참여로 그 시장이 점차 확대되고 있다.1) 티슈 내에 첨가되는 성분도 그 용도에 따라 다변화되어, 이와 같이 상용화된 물티슈 대부분은 정제수, 세정제, 보습제 등과 같은 물질들이 첨가되어 젖은 상태로 판매가 되기 때문에 세균이나 곰팡이 등의 미생물들이 번식하기 쉽다. 따라서 이를 방지하기 위해 다양한 유·무기계 항균제, 방부제, 기타 화학첨가제들을 물티슈에 첨가하였다. 그러나 최근 들어 이와 같은 물질들에 대한 유해성이 보고되면서 이에 대한 사회적 논란이 계속되고 있는데, 그 예로 2012년 환경부 지정 유독물질인 methylisothiazolinone과 methylchloroisothiazolinone이 일부 유아용 물티슈에서 검출되면서 사회적으로 큰 파장을 일으킨 바 있다.2) 또한 물티슈 첨가물로 사용되고 있는 cetrimonium bromide는 소량 사용 시 큰 문제가 없으나 다량이 사용되거나 축적될 경우 치명적인 독성물질로서 작용할 수 있다. 따라서 기존에 사용되던 유·무기계 항균제들을 대체하기 위하여 새로운 천연물질 유래의 항균제 개발이 이루어지고 있다. 그러나 이와 같은 천연 항균제들은 단가가 높고 항균성에 제한이 있어 그 사용에 한계가 있으므로 이를 해결하기 위한 새로운 항균성 물질의 개발이 요구된다. 특히 의료용 물티슈의 경우 보다 강력한 항균력을 요구하기 때문에 친환경적이면서 안전할 뿐만 아니라 우수한 항균성을 가지는 물티슈용 항균물질의 개발이 시급하다.
차아염소산수는 식품첨가물로도 승인된 안전한 살균소독제 중의 하나로서 식품위생관리, 농작물 병해 살균, 병원 내 감염방지나 기구소독 등에 주로 사용된다. 또한 차아염소산수는 공기와 햇빛에 의하여 분해되므로 친환경적이며, 소금물의 전기분해에 의해 제조가 가능하다. 소금물의 전기분해에 의해 제조된 차아염소산수는 인체에 무해할 뿐만 아니라 항균성 또한 우수한 것으로 알려져 있다.3-6) 전기분해에 의해 제조된 차아염소산수에 대한 항균성을 평가한 Rahman 등3)의 연구에 의하면 5 ppm의 잔류염소농도를 지닌 전기분해수가 50 ppm의 free chlorine 용액과 유사수준의 살균효능을 가지는 것으로 나타났으며, Son4) 또한 소금물의 전기분해수에 대한 화학적 특성과 소독효과에 대한 연구에서 그 효율성에 대해 보고하였다. Casteel 등5)은 폐수의 살균처리에 전기분해수를 적용하였으며, Cho 등6)은 전기분해수를 수산식품 가공기구의 세척에 활용하였다. Park 등7)은 일반적인 염소소독법의 대체방안으로서 전기분해수의 활용 가능성을 확인하였다. 이와 같이 소금물의 전기분해에 의해 제조되는 차아염소산수의 탁월한 항균성에 대한 다양한 연구가 진행되고 있으나, 물티슈에 대한 적용연구는 거의 이루어지지 않고 있다. 따라서 본 연구에서는 소금물의 전기분해수 즉 차아염소산수를 첨가한 항균성 물티슈 제조기 개발연구의 일환으로 물티슈 원단의 종류에 따른 차아염소산수의 흡수율을 평가하였으며, 차아염소산수 처리농도가 폐렴간균에 대한 항균력에 미치는 영향을 평가하였다.
2. 재료 및 방법
2.1 공시재료
2.1.1 물티슈 원단
차아염소산수가 첨가된 항균성 물티슈 제조에 적합한 원단을 탐색하기 위해 국내에서 주로 사용되고 있는 레이온(rayon), PET(polyethylene terephthalate), 면 등의 섬유들을 단독 또는 혼합하여 제조한 물티슈 원단을 국내 4개사로부터 입수하여 사용하였다. 티슈 원단별 차아염소산수 흡수율 분석을 위해 본 연구에서 실험한 각 물티슈 원단의 섬유 혼용률과 평량은 Table 1과 같다. 또한 차아염소산수 처리농도에 따른 항균력 평가를 위해서는 레이온과 PET를 80:20으로 혼합 제조한 후 엠보싱처리하지 않은 평량 60 g/m2의 원단을 사용하였다.
Table 1.
General features of domestic commercial wet-tissue fabric
2.1.2 시약 및 균주
차아염소산수 제조를 위해 NaCl(analytical grade)을 Daejung(Korea)에서 구입하였으며, 항균력 시험에 사용한 nutrient broth와 peptone은 BD Difco사로부터 구매하였다. 또한 항균력 실험을 위해 폐렴간균(Klebsiella pneumoniae, KCCM No. 41433)을 한국종균협회에서 분양받아 사용하였다. 분양받은 동결건조된 분말상의 폐렴간균 보존균주는 nutrient 배지를 사용하여 배양한 후 0.1% peptone water로 희석하여 106 CFU/mL의 농도로 제조한 후 항균력 실험에 사용하였다.
2.2 실험방법
2.2.1 물티슈 원단의 기본물성 분석
각 물티슈 원단 시료들은 ISO 187에 따라 온도 23±1℃, 상대습도 50±2%로 조절된 항온항습실에서 24시간 이상 조습처리한 후, 기본특성을 분석하고자 평량, 벌크, 지합, SEM(scanning electron microscope) 이미지를 측정하였다. ISO 534에 따라 수초지의 평량과 두께를 측정하였으며, 두께를 평량으로 나누어 벌크를 계산하였다. 또한 종이의 지합지수는 OpTest Equipment Inc.(Canada)의 Micro-Scanner를 사용하여 측정하였으며, Hitachi사의 FE-SEM(S-4300)을 사용하여 물티슈용 원단의 표면이미지를 분석하였다(가속전압 5.0 kV).
2.2.2 차아염소산수 제조
0.9%의 NaCl 용액을 Fig. 1의 전기분해장치(AlleVita, Korea)에 투입한 후 전류량 및 제조시간을 변화시키며 전기분해하여 6-20 ppm의 차아염소산수를 제조하였으며,8) Pocket colorimeter II(HACH)를 이용하여 제조직후의 잔류염소농도를 측정하였다.
2.2.3 차아염소산수 흡수율
티슈 원지 자체의 흡수율을 분석하기 위하여 흡수율 및 흡수높이를 분석할 수 있는 장비를 자체 제작하였으며 흡수높이는 Fig. 2와 같이 5 mm 간격으로 수성잉크를 표시한 후에 5분간 물을 흡수시켜 높이를 측정하였으며 초기 무게와 흡수 후 무게를 측정하고 평량으로 보정하여 흡수율을 분석하였다.
3. 결과 및 고찰
3.1 물티슈 원단의 기본물성 및 흡수율
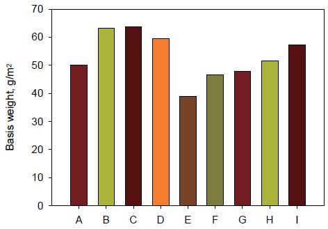
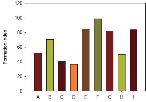
본 연구에서는 물티슈용 원단들의 물성들을 분석하였으며, 그 결과를 Figs. 3-6에 나타냈다. 각 티슈원단들의 평량, 두께, 벌크, 지합들은 상이한 것으로 나타났는데, 평량은 약 40-60 g/m2 수준, 두께는 200-300 μm 수준의 범위로 티슈 시료별 각각 다른 특성들을 가지고 있었으나 벌크의 경우 면 100%를 제외한 티슈 원단들의 벌크는 약 4.5 cm3/g 내외로 유사한 값을 가지는 것으로 나타났다. 지합 또한 원단 시료에 따라 각각 다른 결과를 나타냈는데, 일반적으로 평량이 낮은 티슈 원단들의 지합이 보다 우수한 경향을 나타냈다.
평량 및 혼용률 등이 다른 티슈 원단들의 차아염소산수 흡수율 및 흡수높이를 분석한 결과를 Fig. 7에 나타냈다. 면 100% 원단과 레이온 100% 원단의 흡수율이 가장 우수한 것으로 나타났으며, 레이온 대비 PET 혼합률이 증가할수록 흡수율이 낮아지는 것으로 나타났다. 셀룰로오스는 기본적으로 물을 흡수할 수 있는 OH기를 지니며 이러한 셀룰로오스 기반의 섬유비율이 증가할수록 OH기도 증가하고 결과적으로 흡수 능력이 증가한 것으로 판단된다. 또한 동일 혼용률을 가지는 원단의 경우 평량이 증가할수록 흡수율이 높은 것으로 나타났다.
이와 같은 결과들로 볼 때 물티슈 원단의 섬유 혼용률 및 평량이 티슈 원단에 대한 차아염소산수 흡수율에 영향을 미치는 것으로 판단된다. 반면 벌크 및 지합은 차아염소산수의 흡수율에 크게 영향을 미치지 않는 것으로 나타났다. 따라서 차아염소산수의 흡수율을 높이기 위해서는 면이나 레이온의 혼합률을 증가시키거나 평량을 증가시켜 제조하는 게 바람직하다고 판단된다.
물티슈용 원단의 형태학적 구조를 확인하고자 FESEM을 이용하여 이미지 촬영을 실시한 결과를 Fig. 8에 나타냈는데, 각 섬유들이 배향성 없이 얽혀 있는 구조를 가지는 것으로 나타났다. 일반적으로 물티슈용 원단은 부직포 제조공정을 통해 제조되며 얇은 시트상태의 웹을 형성하여 섬유자체의 물리적인 결합방법으로 형태안정성을 부여하는 것으로 섬유 배향성을 가지는 종이와는 다른 섬유 네트워크를 형성한다.
3.2 차아염소산수 처리농도에 따른 물티슈의 항균력
차아염소산수 분사농도가 티슈 원단에 흡수되는 침적농도를 분석하였으며, 이들 농도에 따른 물티슈의 폐렴간균에 대한 항균력을 평가한 결과를 Fig. 9에 나타냈다. 항균력 실험은 티슈 혼용률 및 기본물성이 차아염소산수 흡수율에 미치는 영향을 평가한 결과를 바탕으로 레이온과 PET가 80:20으로 혼합된 평량 60 g/m2의 티슈 원단을 사용하였다. 차아염소산수 분사농도에 따른 티슈 원단에 침적된 농도를 분석한 결과 분사농도가 증가함에 따라 침적농도도 증가되었다. 분사농도 및 침적농도 증가에 따라 폐렴간균에 대한 항균력 또한 향상되었는데, 분사농도 14.6 ppm, 침적농도 5.4 ppm 이상에서 100%의 항균력을 가지는 것으로 나타났다. 차아염소산수 처리농도에 따른 황색포도상균에 대한 항균력을 평가한 이전 연구에서 6 ppm 이상의 농도로 분사할 경우 100% 항균력을 나타냈다.8) 따라서 이와 같은 결과들로 볼 때 폐렴간균의 경우 100% 살균을 위해 황색포도상균보다 높은 농도의 차아염소산수를 요구하는 것으로 나타났다.

Fig. 9.
The antibacterial activity and deposition concentration of HOCl solution of the fabric samples for wet-tissue.
차아염소산수 분사 후 방치 시간에 따른 차아염소산수 침적농도 변화와 이에 따른 항균력 변화를 분석한 결과를 Fig. 10에 나타냈는데, 차아염소산수(10.8 ppm) 분사 후 방치시간이 증가됨에 따라 티슈에 침적되었던 차아염소산수 용액의 농도가 감소하였으며, 20분 이후에는 거의 대부분의 차아염소산수가 제거되는 것으로 나타났다. 항균력 또한 방치 시간이 증가함에 따라 감소하는 것으로 나타났는데 5분 이상 방치한 경우에는 항균력을 나타내지 않은 것으로 나타났다. 이와 같은 결과들로 볼 때, 전기분해에 의한 차아염소산수 물티슈 제조장치 이용 시 효율적인 이용을 위해 물티슈 제조 후 바로 사용하는 것이 효과적인 것으로 판단된다.
4. 결 론
티슈 원단의 섬유 혼용률 및 평량 등의 특성들이 차아염소산수의 흡수율에 미치는 영향을 평가하고, 차아염소산수 처리농도에 따른 폐렴간균에 대한 항균력을 평가한 결과 다음과 같은 결론을 얻을 수 있었다.
1. 티슈 원단의 레이온 및 면의 함유량이 높을수록 차아염소산수의 흡수율이 높았으며, 평량이 높을수록 흡수율 또한 높게 나타났다. 이는 셀룰로오스의 수산기에 의해 즉, 셀룰로오스 섬유가 친수성인 것에 기인된 결과로 판단된다.
2. 차아염소산수 처리농도에 따른 항균력 테스트 결과, 15 ppm 이상의 차아염소산수를 분사할 경우에 폐렴간균에 대해 100% 항균력을 가지는 것으로 나타났다. 반면 차아염소산수 분사 후 방치시간이 증가함에 따라 항균력이 감소되었다. 따라서 차아염소산수 분사 후 물티슈를 즉시 사용하는 것이 좋을 것으로 판단된다.











