1. 서 론
대나무 자원의 지속적인 생산과 단위 면적당 생산량이 크기 때문에 새로운 바이오매스 자원으로 관심이 커져가고 있다. 대나무를 구성하고 있는 주요 성분은 셀룰로오스, 자일란 그리고 리그닌이다.1,2) 활엽수나 초본류와 같이 자일란이 헤미셀룰로오스의 대부분을 차지하고 있지만 자일란 사슬 내 glucuronic acid함량의 차이가 크다.3,4)
알칼리 펄핑 공정은 수산화나트륨과 다른 첨가물 (황화수소 또는 안트라퀴논)에 의하여 리그닌을 분해시켜 약액에 용해시켜 제거하는 공정이다. 이런 반응에서 목재내 리그닌을 제거하는 것뿐만 아니라 탄수화물의 용해도 수반된다. 탄수화물과 리그닌의 용해되는 정도가 반응조건에 따라 다르기 때문에 선택적으로 리그닌을 더 제거하고 탄수화물을 용해를 억제하는 조건을 알칼리 펄핑 공정으로 선호한다.
알칼리 펄핑 공정에서 리그닌을 제거 하는 정도를 일반적으로 카파 값으로 평가한다. 카파 값은 산성조건에서 리그닌 내 존재하는 이중결합에 의하여 과망간산칼륨 산화제가 소비되는 정도를 측정하는 방법이다. 하지만 리그닌에 존재하는 이중결합뿐만 아니라 추출물에 존재하는 이중결합이나 자일란 사슬에 존재하는 hexenuronic acid도 산성조건에서 과망간산칼륨 산화제를 소비한다.5-7)
소다 펄핑이나 크라프트 펄핑 조건의 온도와 알칼리 조건에서 자일란의 옆에 붙어 있는 4-O-methyl-glucuronic acid가 hexeneuronic acid로 전환되는 것이 발견되었다.8) Hexenuronic acid는 알칼리 조건에서 상대적으로 안정된 구조로 알칼리 펄핑 후 잔류하지만, 펄핑 온도나 알칼리 농도가 가혹한 조건일 경우 알칼리 가수분해에 의하여 제거되기도 한다. 산성 조건에서는 친전자적 산화제에 의하여 쉽게 공격을 받고 분해된다.9-11)
산 가수분해 반응이나 자일란 분해 효소 처리된 화학펄프는 처리 전에 비하여 카파 값이 상당한 수준 감소한다. 이것은 산 가수분해 공정이나 자일란 분해 효소처리공정에 의하여 리그닌이 제거되는 것 보다 자일란주 사슬 곁가지에 붙어 있는 hexenuronic acid에 의한 것으로 보고되었다. hexenuronic acid는 산성조건에서 2-furancarboxylic acid로 구조로 전환되기 때문에 관찰에 어려움이 있었지만 크라프트 펄프 내 또는 펄핑 폐액내 회수 고형분의 효소 가수분해 반응에서 얻어진 산물을 핵자기 공명 분석으로 확인하였다.12) 펄프 내 존재하는 hexenuronic acid의 농도를 카파 값으로 환산할 수 있는데 10µmol의 hexenuronic acid가 약 0.864의 카파 값에 해당된다.7)
대나무 자원에 대한 관심이 커져가고 있다. 대나무의 화학조성 분석 결과 주 헤미셀룰로오스 성분은 자일란계열로 생각된다. 하지만 알칼리 펄핑 후 자일란의 잔류 정도가 다른 활엽수와 확연한 차이를 보였다.
본 연구에서는 알칼리 펄핑중에 쉽게 분해되는 대나무 펄프 내 잔류하는 hexenuronic acid함량을 분석하여 이들 화합물이 카파 값에 정량 방법으로 리그닌을 측정하는 과정에서 미치는 영향을 분석하고자 하였다.
2. 재료 및 방법
2.1 공시재료
국립산림과학원 남부산림연구소 죽종림에서 채취한 대나무 3종(맹종죽, 왕대, 솜대)을 Table 1에 표시된 조건으로 펄프화 하여 제조된 펄프를 본 연구에 사용하였다.13)
2.2 실험 방법
2.2.1 대나무 펄프의 카파 값 측정
펄프의 잔류한 리그닌 함량을 추정하기 위해 카파 값 측정 방법을 사용하였다. 카파 값 측정은 Tappi 표준 실험방법(T236 cm-85)에 따라 측정하였다.
2.2.2 대나무 펄프의 hexeneuronic acid 함량 측정
펄프 (전건질량기준 0.100 g)에 0.7% 제2염화수은 10 ml와 0.6% 아세트산나트륨 10 ml를 가하여 65℃ 항온수조에서 30분간 반응 시킨 다음 여과하여 여과액을 수집하였다. 수집한 여과액을 260 nm에서 흡광도를 측정하여 다음 식에 따라 hexeneuronic acid 농도를 추정하였다.
CHexA=(0.235×A×V)/W
CHexA: 펄프 내 hexeneuronic acid 함량(μmol/g)
A: 여과액의 260 nm에서의 흡광도
V: 제2염화수은 가수분해 용액 부피(ml)
W: 펄프의 전건무게(g)
Table 1.
Soda-anthraquinone pulping conditions of bamboo13)
3. 결과 및 고찰
3.1 대나무로 제조한 소다-안트라퀴논 펄프의 수율과 카파 값 비교
대나무 3종을 원료로 제조한 소다-안트라퀴논 펄프의 수율과 카파 값을 Table 2에 나타내었다. 모든 대나무 소다-안트라퀴논 펄프는 활엽수에 비해 낮은 카파 값과 수율을 보였다. 대나무 펄프의 수율은 활엽수 원료와 대나무 원료의 탄수화물 함량을 비교 했을 때 맹종죽을 제외하고 큰 차이를 보이지 않음에도 수율은 7.5-18.6% 차이를 보였다. 이는 탄수화물 분석에서 활엽수의 자일란이 14.9% 존재하지만 대나무에서는 26.5-27.5%의 자일란이 있어 펄핑 과정에서 쉽게 분해되기 때문에 수율이 낮은 것으로 판단된다.13) 일반적으로 펄핑과정에서 자일란은 약 50%가 분해된다. 하지만 대나무 펄핑 결과 50%보다 더 많은 비율의 자일란이 제거되었다. 이는 대나무를 구성하는 자일란이 활엽수와는 다른 구조를 가지고 있어 펄핑과정에서 더 쉽게 제거된 것으로 판단된다.
대나무의 리그닌이 활엽수의 리그닌 알칼리 펄핑 공정으로 제거하기 어려워 활성알칼리의 농도를 백합나무나 유칼립투스 보다 2% 높은 조건에서 증해를 실시하였다. 그럼에도 불구하고 최대 증해 온도에서 증해 유지 시간을 더 길게 하여 증해 후 리젝(reject)을 발생을 최소화 하였다. 이런 조건에서 맹종죽은 유칼리보다 높은 카파 값을 보였고, 솜대는 백합나무보다 더 리그닌이 제거되었다.
Table 2.
Soda-AQ pulping condition, screened yield and kapp number of 3 different bamboo comparison with yellow poplar, eucalyptus
| Time at max temperature (min) | Active alkali (%) | Screen yield (%) | Kappa number | |
|---|---|---|---|---|
| Moso bamboo13) | 90 | 20 | 32.7 | 22.8 |
| Timber bamboo13) | 90 | 20 | 39.5 | 18.9 |
| Henon bamboo13) | 50 | 20 | 43.4 | 16.6 |
| Yellow poplar14) | 40 | 18 | 51.3 | 17.3 |
| Eucalyptus14) | 40 | 18 | 50.9 | 21.4 |
3.2 과망간산칼륨에 의한 산화반응
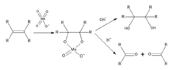
강력한 산화력을 가진 과망간산칼륨은 반응조건(pH)에 따라 다른 반응이 일어난다. 염기성 조건에서는 이중결합에 두 개의 수산기를 도입시키는 하이드록실화 반응이 일어나고, 산성 조건에서는 이중결합의 쪼개짐 현상이 일어나게 되고, 이때 2개의 카르보닐기를 가지는 화합물이 얻어지게 된다.(Fig. 1)
벤젠 골격 구조를 가지고 있는 방향족 화합물에서는 벤질성 탄소에서 카르복실기를 생성 시키는 산화 반응을 하기 때문에 알칼리 과망간산칼륨 산화 반응을 통하여 리그닌 구조내 탄소-탄소 결합의 위치를 추정하는데 사용한다.
케나프 인피 섬유와 속대 리그닌 구조 분석에서 알칼리 과망간산칼륨 산화반응을 이용하여 속대 내 리그닌이 인피 섬유 리그닌보다 β-β결합이나 β-5더 많이 존재함을 밝혔다.15) 펄핑 조건에 따른 리그닌 구조에 미치는 영향을 알칼리 과망간산칼륨을 통하여 분석한 결과 단속식 증해 조건보다는 연속식 증해 조건에서 리그닌 구조내 탄소-탄소 축합 결합이 덜 존재하는 것을 밝혀냈다.16) 리그닌 구조가 다르지만 벤질성 탄소에서 카르복실기가 생성됨을 Fig. 2에서 보여주고 있다
펄프 내 카파 값 측정에 의한 리그닌 농도 추정 법은 산성조건에서 과망간산칼륨의 이중결합과의 반응성을 응용한 리그닌 농도 간접 측정 방법이다.17) 화학 펄프 내 대부분의 이중결합은 리그닌에 존재하며 이중결합에 따른 과망간산칼륨 산화제의 사용을 정량적으로 분석하여 펄프 내 리그닌 잔류 량을 추정하는 방법이다.
3.3 알칼리 펄핑 조건에서 glucuronic acid에서 hexeneuronic acid로 전환
알칼리 펄핑 과정 중 헤미셀룰로오스에서 가장 먼저 일어나는 반응은 헤미셀룰로오스를 구성하는 주요 사슬의 2,3번 위치에 있는 아세틸기가 떨어져 나가면서 아세트산이 생성되는 반응이 일어난다. 그 후 환원성 말단기를 가진 부분에서 필링오프(peeling-off) 반응과 헤미셀룰로오스 사슬의 임의절단 반응, 그리고 임의절단 반응에 의해 생겨난 환원성 말단 기에서 다시 2차 필링오프 반응, 필링오프 정지 반응이 일어난다.
알칼리 펄핑조건에서 헤미셀룰로오스 중 글루코만난에 비해 자일란이 더 많이 잔류한다. 글루코만난의 경우 필링오프 반응이 시작되면 정지반응이 일어날 때까지 지속적으로 유기산 형태로 분해되지만, 자일란의 경우 주 사슬에 붙어있는 4-O-methylglucuronic acid나 α-L-아라비노스 사슬에 의하여 필링오프 반응과 경쟁하는 정지유도 반응이 일어나 글루코만난에 비해 자일란의 손실이 더 적게 일어난다.
알칼리 펄핑에서 4-O-methylglucuronic acid는 본래의 형태 그대로 존재하기도 하지만 펄핑과정에서 Fig. 3에서와 같이 hexeneuronic acid 형태로 전환되기도 한다. 4-O-methylglucuronic acid는 자일란 손실을 막아 펄프 수율의 증가를 위한 좋은 부분이지만 hexeneuronic acid로 전환되면 카파 값 측정에서 사용되는 과망간산칼륨이 리그닌의 이중결합에 소비될 뿐만 아니라 hexeneuronic acid내 이중결합에도 소모되어 카파 값 측정에서 펄프 내 실제 리그닌 량에 비해 과대치가 측정된다.
hexeneuronic acid효소당화 산물을 전기영동으로 분리 후 핵자기 공명법으로 존재를 확인하였지만 정량적인 분석 방법으로 적합하지 않다. hexeneuronic acid 함량을 정량으로 측정하는 방법으로 음이온 교환수지 이온크로마토그래피나 자외선 분광분석이 널리 사용된다. 자일란 사슬에 붙어 있는 hexeneuronic acid를 포함하고 있는 분해산물을 전기영동을 통하여 분리한 후 발색구조와 반응시킨 후 정량적인 분석을 실시하기도 하고18)Fig 3에서와 같이 염화수은을 사용하여 자일란 사슬에 붙어 있는 hexeneuronic acid를 산 촉매조건에서 가수분해 시킨 후 furonic acid로 전환 시킨 후 자외선-가시광선 분광분석을 통하여 정량 분석을 한다.20,21)
3.4 대나무 펄프의 hexeneuronic acid정량 및 카파 값에 미치는 영향
본 연구에서는 염화수은과 산 촉매 조건에서 2-furonic acid 로 전환시킨 산물의 농도를 측정하여 hexeneuronic acid 함량을 정량적으로 분석하여 Table 3에 나타내었다. 그리고 펄프 내 hexeneuronic acid가 카파 값에 미치는 영향은 1.0 g 펄프 기준으로 10 μmol hexeneuronic acid를 약 0.864의 카파 값으로 계산하여 카파 값 중 hexeneuronic acid에 기인하는 정도를 확인 하였다.
Table 3.
Kappa number and hexeneuronic acid of soda-AQ pulps form Bamboo
| Kappa number | Hexeneuronic acid (μmol/g) | kappa number from hexeneuronic acid | |
|---|---|---|---|
| Moso bamboo | 22.8 | 45.4 | 3.9 |
| Timber bamboo | 18.9 | 36.6 | 3.1 |
| Henon bamboo | 16.6 | 37.0 | 3.1 |
| Yellow poplar21) | 17.3 | 57.6 | 5.0 |
| Eucalyptus21) | 21.4 | 52.4 | 4.5 |
| Pine22) | 21.3 | 32.9 | 2.8 |
대나무 펄프의 카파 값을 측정 했을 때 가장 높은 카파 값을 가진 펄프는 맹종죽으로 확인 되었다. 위 결과와 hexeneuronic acid함량을 비교 했을 때 맹종죽에 비해 왕대의 hexeneronic acid 함량이 8.8 μmol/g 더 낮은 것을 확인 하였다. 이를 카파 값으로 계산하면 0.8의 카파 값이 hexeneuronic acid에 의한 차이로 확인 되었다.
대나무의 hexeneuronic acd함량을 활엽수인 백합나무, 유칼립투스와 침엽수인 소나무와 비교했을 때 활엽수보다는 낮고 침엽수보다는 hexeneuronic acid 함량을 보였다. 이 결과로 볼 때, 대나무의 헤미셀룰로오스의 주성분은 활엽수와 같은 자일란이지만 활엽수에 비해 hexeneuronic acid의 전 물질인 4-O-methylglucuronic acid가 더 적게 들어 있어 이러한 결과가 나타난 것으로 보인다.
침엽수의 경우에는 자일란을 구성하는 지일로스 7개 당 1개꼴로 4-O-methylglucuronic acid가 존재 한다. 이는 활엽수의 자일란에 4-O-methylglucuronic acid가 자일로스 10개당 1개가 존재하는 것과 비교하면 자일란에 4-O-methylglucuronic acid가 붙는 빈도는 침엽수가 더 많다. 그럼에도 불구하고 hexeneuronic acd 함량이 활엽수에 비해 침엽수가 더 적은 이유는 4-O-methylglucuronic acid가 붙는 자일란 자체가 활엽수에 비해 침엽수가 더 적기 때문으로 판단된다. 이러한 이유로 대나무의 hexeneuronic acid가 침엽수에 비해 더 높은 것으로 판단된다.
4. 결 론
Hexeneuronic acid는 주로 자일란의 곁사슬로 존재하는 4-O-methylglucuronic acid에서 유래한다. 4-O-methylglucuronic acid는 펄핑과정에서 자일란을 보호하는 역할과 hexeneuronic acid로 전환 되었을 때 카파값에 영향을 준다. 대나무 소다-안트라퀴논 펄프에 존재하는 hexeneuronic acid함량은 36.6-45.4 μmol/g로 대나무 소다-안트라퀴논 펄프의 카파 값의 3.1-3.9은 hexeneuronic acid에서 오는 것으로 확인 되었다. 대나무 소다-안트라퀴논 펄프는 활엽수펄프에 비해 낮은 hexeneuronic acid 함량을 보였다. 이 결과는 대나무의 헤미셀룰로오스를 구성하고 있는 자일란이 활엽수의 자일란보다 hexeneuronic acid의 원료가 되는 4-O-methylglucuronic acid가 더 적게 분포하는 것으로 판단된다.






