1. 서 론
최근 석유화학제품이 일으키는 환경문제와 석유 자원의 고갈 문제가 심각해지면서 바이오매스 기반의 소재에 관한 연구가 집중되고 있다. 석유화학제품의 사용 증가로 인해 가속화된 온난화와 같은 환경문제는 석유 자원을 중심으로 한 현 산업의 경쟁력 감소를 불러왔으며 이는 곧 석유 대체 자원에 대한 관심으로 이어졌다. 천연가스, 석탄, 바이오매스가 해결책으로 떠오르고 있으나, 천연가스나 석탄은 석유와 마찬가지로 유한 자원이며 온실가스와 같은 환경문제 논란에서 벗어나기 어렵다. 이에 반해 옥수수, 사탕수수, 목질계 식물자원, 팜, 해조류 등과 같이 자연계에서 매년 반복적으로 생산되는 식물자원으로 바이오매스는 재생 가능할 뿐만 아니라 환경친화적이기 때문에 석유 자원을 대체할 수 있는 중요한 자원으로 부각되고 있다.1) 바이오매스를 대표하는 목질계 재료는 지구상에 존재하는 유기물 재료로서 양이 가장 풍부할 뿐 아니라, 높은 강도적 특성과 유연성을 지녀 이를 원료로 하는 바이오 기반 화학제품 또는 바이오 연료 등의 물질을 생산하는 연구가 많은 관심을 받고 있다. 하지만, 이러한 목질 재료는 목재의 성분 중 셀룰로오스가 가지는 높은 친수성 때문에 소수성의 고분자와 상용성이 낮아 가공하기 어렵다는 단점을 가진다. 이를 극복하기 위해서는 셀룰로오스의 수산기를 다른 원자단으로 치환하는 셀룰로오스 표면개질법이 선행되어야 한다.
셀룰로오스 표면개질의 대표적인 방법으로는 에테르화, 에스테르화, 실란화, 고분자 그라프팅, 아세틸화 등이 있다. Ifuku와 Yano2)는 목재 섬유와 고분자 매트릭스간 접착력을 높이기 위하여 MFC(microfibrillated cellulose) 표면에 3-aminopropyltriethoxysilane (APS) 처리를 한 바가 있으며, Wang 등3)은 고분자와의 상용성을 높이기 위하여 셀룰로오스 미세섬유에 3-glycidylozypropyl trimethoxysilane(GPS) 처리를 하였다. Jain 등4)은 methyl acrylate(MA) 이용해 그라프팅한 펄프 섬유의 수분 흡수에 관한 연구를 하였으며, Román-Aguirre 등5)은 목재 섬유에 methyl methac-rylate(MMA) 그라프팅을 시도한 바가 있다. 또한, Misra 등6)은 셀룰로오스의 ethylacrylate(EA) 그라프팅 공중합에 관하여 연구하였다. 셀룰로오스 섬유의 아세틸화는 물에 의한 수화를 감소시킨다고 초기 연구7)에서 밝혀진 바 있으며, Bryne과 Wålinder8)는 아세틸화 처리 목재는 소수성을 가지게 되어 무처리 목재보다 수분 흡수를 적게 한다고 하였다.
아세틸화는 표면개질 방법 중 비교적 저렴하고 손쉬운 방법이다. 하지만, 기존의 아세틸화법은 목재로부터 최종산물에 이르기까지 수많은 공정을 필요로 하는 단점이 있다. 펄프화 공정부터 시작하여 공정에 따라 셀룰로오스의 높은 순도가 요구되기도 하여 정제, 세척이 요구된다. 실험실 단위(lab scale)의 공정에서는 여러 차례의 원심분리가 시행되고, 적정 치환도의 아세틸화물을 얻거나 반응온도와 시간을 줄여 산업적으로 경제적인 이점을 얻기 위해 물리적, 화학적, 생물학적 전처리를 하기도 한다.9-11)
따라서 본 연구에서는 바이오매스로부터 기존의 아세틸화법보다 간편한 방법으로 셀룰로오스 표면개질을 시도하였다. 고비점 용매인 glycol ether와 초산 및 무수초산을 용매로 하여 목재로부터 간단한 공정을 통해 아세틸화된 셀룰로오스를 제조하였으며, 용매의 함량에 따른 치환도 변화를 관찰하였다.
2. 재료 및 방법
2.1 공시재료
본 연구에 사용된 시료는 20-60 mesh 크기의 라디에타 소나무 목분으로서 그 제원은 Table 1과 같다. 목분의 아세틸화를 위해 본 연구에서는 반응 시약으로 글리콜 에테르 용제(2-(2-ethoxyethoxy)ethanol, EP grade, Daejung Chemicals & Metals Co., Ltd., Korea) 및 초산(GR grade, Daejung Chemicals & Metals Co., Ltd., Korea), 무수초산(EP grade, Duksan Pure Chemicals Co., Ltd., Korea)을 사용하였으며, 반응 촉매로는 순도 95% 황산(EP grade, Daejung chemicals & Metals Co., Ltd., Korea)을 사용하였다.
2.2 실험 방법
2.2.1 목분의 아세틸화 반응
소나무 목분의 간편 아세틸화는 글리콜 에테르 용제를 이용하는 기존 유기용매 공정12)에 초산과 무수초산을 추가하여 진행하였으며 과정은 Fig. 1에 나타내었다. 5 g의 목분시료와 글리콜 에테르와 황산 혼합시약 10 mL(반응시약:촉매=97:3, v/v) 그리고 초산 또는 무수초산을 1:2:6(w/v/v)로 혼합한 후 오토클레이브(HST-506-6, Hanbaek ST CO., Korea)에 넣어 120℃에서 120분간 반응을 시켰다. 이때, 투입된 초산과 무수초산의 비율은 시료별 상이하며 이는 Table 2에 나타내었다. 시료는 투입된 무수초산의 양에 따라 Aan_0에서 Aan_30으로 명명하였다. 반응이 종료된 시료는 0.5 N NaOH 수용액 100 mL로 30분간 교반시키고 증류수로 시료가 중성이 될 때까지 충분히 세척을 실시하였다. 세척이 완료된 시료는 건조 오븐에 넣어 105℃에서 8시간 동안 건조하여 시료 제조를 완료하였다.
2.2.2 현미경 관찰
본 연구에서는 광학현미경(BX 50, Olympus Optical Co. Ltd., Japan)을 이용하여 60배율로 아세틸화된 시료를 관찰하였다. 이후, image analyzer(i-Solution, IMT I-Solution Inc., Canada)를 이용하여 시료의 입도를 측정하였다.
2.2.3 수율 및 잔존 리그닌 함량
반응 전·후의 시료의 중량을 측정하여 아세틸화된 시료의 수율을 계산하였으며, 72% 농황산을 이용한 클라손 리그닌 분석법(TAPPI T 222 om-02)으로 잔존 리그닌 함량을 측정하였다.
2.2.4 작용기 분석
아세틸화 정도에 따른 시료의 작용기 특성을 알아보기 위해 감쇠 전반사 적외선 분광분석기(ATR-IR, Alpha-P model, Bruker Optics, Germany)를 사용하였다. ATR-IR의 측정 영역은 4000-400 cm-1이며 2 cm-1의 단위로 측정되었다.
2.2.5 치환도 분석
아세틸화물의 치환도 분석을 위해 Eberstadt method13)에 의거하여 건조된 아세틸화물 0.5 g을 250 mL 삼각플라스크에 넣고 75% 에탄올 40 mL를 첨가하였다. 이후, 60℃에서 30분 동안 교반한 뒤 0.5 N NaOH 40 mL 첨가하고 다시 60℃에서 15분 동안 교반하였다. 모든 반응이 끝난 후, 상온에서 72시간 방치한 후에 페놀프탈레인 용액과 0.5 N HCl을 이용하여 적정하였다. 적정된 결괏값 으로 Eq. [1]에 따라 아세틸 함량을 측정하였고, Eq. [2]에 따라 치환도를 계산하였다.
이때, A와 B는 각각 blank와 시료에 투입한 NaOH의 부피(mL)이고, C와 D는 blank와 시료에 투입한 HCl의 부피(mL)이다. W는 시료의 무게(g)이며, Na와 Nb는 각각 NaOH와 HCl의 노르말 농도이다.
3. 결과 및 고찰
3.1 아세틸화물의 형태학적 특성
Fig. 2는 아세틸화된 시료의 현미경 사진이며 각각의 입도는 Table 3에 나타내었다. 이때 아세틸화물의 입도는 시료의 가장 긴축을 기준으로 측정되었다. Fig. 2(a)에서와 같이 아세틸화 시료들은 무수초산의 투입량이 증가함에 따라 점차 검은 색상으로 변하였으며 Fig. 2(b)의 현미경 사진처럼 무수초산의 함량에 따라 아세틸화물의 입자의 크기 또한 점점 작아지는 것으로 확인되었다. 이는 초산에 대한 무수초산의 투입량이 증가함에 따라 탄수화물의 분해를 증가시킨다는 Zhou 등14)의 연구 결과와 일치하는 것으로 무수초산의 첨가량이 입자의 크기에도 영향을 미친 것으로 보인다. Table 3은 반응 전 시료(control)의 경우 평균 1.06 mm의 입도를 보이는 목분이 아세틸화에 따라 약 0.5-1.0 mm로 작아진 것을 확인할 수 있다. 동일한 반응조건에서 초산 또는 무수초산을 첨가한 시료의 입도가 무첨가 시료(control)보다 작았으며 무수초산의 투입량이 많아질수록 입도는 감소하는 경향을 보였다.
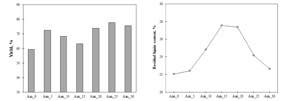
3.2 아세틸화된 시료의 수율 및 잔존 리그닌 함량
Fig. 3은 아세틸화된 시료의 수율(좌측)과 잔존 리그닌 함량(우측)을 나타낸 그래프이다. 무수초산의 투입량이 초산의 투입량보다 많은 시료의 수율은 약 70-80%의 높은 수치를 보였으며 초산의 투입량이 더 많은 시료의 수율은 60-70%로 이보다 약 10% 정도 낮은 수치를 보였다. 또한, 초산과 무수초산의 양이 동일하게 투입되었을 때 63%로 가장 낮은 수율을 보였다. 잔존 리그닌 함량의 경우, 무수초산과 초산의 양이 동일한 비율로 투입되기까지 꾸준히 증가했으나 이후 감소하였다. 수율이 가장 낮은 시점에서 잔존 리그닌 함량이 가장 높게 측정되는 것은 일부 헤미셀룰로오스와 글루코오스가 해당 조건에서 가장 많이 손실되었기 때문이라고 예상되어지나, 정확한 인과관계의 파악을 위해서는 조금 더 자세한 연구가 필요하다.
3.3 아세틸화된 시료의 작용기 분석
Fig. 4는 아세틸화된 시료의 IR 스펙트럼 그래프로 무수초산과 초산의 비율에 따라 아세틸화된 시료의 화학적 특성을 보여준다. Fig. 4(a)에서 보면 무처리와 아세틸화 처리 목분 모두 2900 cm-1 대의 셀룰로오스 C-H에 해당하는 피크를 확인할 수 있었다. 반면에 아세틸화 전후 시료에서는 네 개 영역에서 큰 특징이 나타났다. 3500 cm-1 영역 대의 수산기 대응 피크, 1745 cm-1 및 1222 cm-1 영역 대의 카르보닐기 대응 피크 및 1365 cm-1 영역 대의 아세틸기 대응 피크가 그것이다. Fig. 4(b)의 3500 cm-1 영역 대는 목분에 존재하는 수산기 영역을 나타내는 것으로15) 무수초산의 투입량이 증가함에 따라 점점 피크의 세기가 약해진 것은 셀룰로오스의 2번, 3번 및 6번 탄소에 존재하는 수산기들이 아세틸화에 의해 치환되었기 때문이다. 또한, Figs. 4(c)와 (d)에서 확인되는 1745 cm-1 및 1222 cm-1 영역 대는 모두 아세틸기가 셀룰로오스 내 수산기와 에스터 결합을 하여 얻어진 카르보닐기를 의미한다.16) 마지막으로 Fig. 4(d)에서 관찰되는 1365 cm-1 영역은 셀룰로오스에 도입된 아세틸기를 나타내는 것이다.17) 즉, 이 네 가지의 영역 대에서 관찰되는 특징들이 아세틸화에 의해 목분이 성공적으로 아세틸화되었다는 것을 증명하는 중요한 증거가 될 수 있다.
3.4 아세틸화된 시료의 적정법에 의한 치환도
Fig. 5는 아세틸화된 시료의 치환도를 Eberstadt 적정법12)에 의거하여 계산한 값이다. 무수초산의 첨가량이 증가할수록 치환도는 증가하였다. 특히, 초산만 단독 투입했을 때는 약 0.2의 낮은 치환도를 보인 것에 비해 무수초산만 단독 투입하였을 때 치환도는 약 1.7로 매우 높게 나타났다. Kim 등18)은 무수초산의 투입량이 증가할수록 치환도는 0.04에서 최대 2.77까지 증가한다고 보고하였다. 이는 Fig. 6의 셀룰로오스로부터 아세틸기가 도입되는 반응 메커니즘과 같이 아세틸화 반응이 일어날 때 초산보다 무수초산이 에스터기의 도입에 효과적이라는 것을 예상할 수 있다.
4. 결 론
본 연구에서는 셀룰로오스의 표면개질을 위해 기존의 아세틸화법보단 단순화된 공정을 통해 아세틸화된 셀룰로오스를 제조하였으며, 이후 제조된 시료와 치환도와의 상관관계를 연구하였다. 아세틸화된 시료의 입도는 전체적으로 약 0.5-1.0 mm 정도로, 무수초산의 투입량이 증가할수록 목분의 입도는 감소하였다. 수율은 무수초산의 투입량이 많을수록 높았으며, 초산과 무수초산의 양이 동일할 때 가장 낮은 수율을 보였다. 또한, 초산 투입량이 증가함에 따라 잔존 리그닌의 함량은 감소하였다. 시료의 아세틸화 정도는 IR spectrum상 1740 cm-1과 1222 cm-1 대응하는 카르보닐기에 영향을 미치며 3500 cm-1 영역 대는 목분에 존재하는 수산기 영역은 아세틸화에 따라 점점 peak의 세기가 약해졌고 1365 cm-1 영역의 아세틸기에 해당하는 피크의 세기는 점차 증가하였다. 마지막으로 아세틸화물의 치환도는 무수초산의 투입량이 증가함에 따라 급격히 증가하였다.








