1. 서 론
쌀의 외각껍질인 왕겨(Rice Husk, RH)는 쌀알을 보호하는 역할을 하는데 이를 위해 왕겨의 외부표면에는 실리카로 구성된 돌기가 피복되어 있는 구조를 가지고 있다. 왕겨와 같이 식물체와 화학적으로 결합된 형태로 존재할 수 있는 실리카는 광물, 토양과 같은 무기물 또는 동물과 같은 생체 등 자연 내에 다양한 형태로 존재하는 주요 원소이다.1) 일반적으로 식물 내 실리카는 속새과(Equisetaceae)를 제외하고 식물의 필수적인 요소로 여겨지지 않지만,2) 특정 조류 및 규조류에도 1-10%의 실리카가 발견된다.3) 실리카는 식물체 내에서 구조적인 강도와 성장 및 발달, 번식에 영향을 미치며 식물체의 스트레스 완화제로써의 역할도 수행한다.4) 토양 내의 실리카는 pH 9 이상의 알칼리 환경하에서 규산(Si(OH)4) 형태로 존재하여 식물에 흡수되며, 식물체 내에서 실리카는 수화된 비정질의 형태인 규산(ortho-silicic acid)의 형태로 존재하는 것으로 알려져 있다.5) 형성된 실리카 구조와 위치는 식물의 종류와 부위에 따라 큰 차이를 보이는데, 벼과 식물의 실리카는 표피층 아래 2-5 μm 층으로 축적되며 돌기 형태로 존재한다.6) 또한 왕겨 부위뿐만 아니라 잎, 줄기에도 존재하여 부위별 함량 차이가 존재하나, 벼과식물의 실리카 총량은 환경에 따라 매우 가변적으로 나타난다. 또한 벼과, 속새과나 쐐기풀에 존재하는 침상의 털에도 미세구조 형태로 존재하기도 하며, 이 외에도 구형, 섬유형, 시트형 등의 형태로 식물체 내에 존재하며, 식물체에 축적된 실리카는 형성 부위, 구조적 형태가 상이하고 발생 환경에 따라 가변적인 축적률을 특징을 지니고 있다.7-9)
왕겨는 식물체 중에서도 가장 많은 양의 실리카를 구성요소로 포함하고 있는 대표적인 농업 부산물인데, 다양한 실리카의 용도를 고려할 때 천연물 유래 실리카를 제조하는 원료로서 왕겨의 활용성은 매우 크고 이를 위한 다양한 연구들이 진행되어 왔다.10-12) 이러한 연구들은 왕겨로부터 실리카를 다른 구성요소들과 분리, 선별하는 방법에 따라 크게 2가지 방법으로 구분될 수 있다. 첫째로 왕겨의 연소나 탄화와 같은 열분해 공정을 통해 유기물을 제거하고 무기물 함량이 70% 이상 잔존하는 왕겨재(Rice Husk Ash, RHA)를 활용하는 방법이다.13,14) 500℃ 이상의 회화로에서 연소를 통해 유기성분을 제거하고 다공성의 실리카 및 실리카 성형체를 제조함으로써 나노 실리카 입자를 제조하거나, 탄화 처리된 왕겨로부터 산 처리를 통해 실리카 원료를 제조하는 기술이 개발된 바 있다.13,16-18) 이는 왕겨를 열병합 발전을 통해 에너지 자원으로 활용 시, 다량으로 발생되는 왕겨재를 활용하기 위한 방안으로 개발되었다. 둘째로 알칼리를 사용하여 왕겨 내 알칼리 용해성 성분인 실리카 및 리그닌을 용해 및 분리 추출하며, 용해액으로부터 졸-겔화 및 침전분리로 실리카를 정제하는 방법으로 전자의 방법에 비해 왕겨의 셀룰로오스와 같은 섬유질을 추가적으로 활용 가능하다는 측면에서, 보다 통합적 소재활용 가치가 높은 공정을 들 수 있다.19-21) 그러나, 이러한 방법은 탄화 및 연소를 통한 방법에 비해 소요되는 에너지가 많고 겔화된 실리카 침전물이 포함하는 불순물을 제거하기 위한 세척 공정으로 인해 폐수가 발생하는 등의 경제성 및 환경적 측면에서의 문제점을 내포하고 있다.
왕겨의 알칼리 추출을 통해 제조된 알칼리 용해액 내 존재하는 성분들은 각기 다른 산해리상수(산이온화상수)를 가지고 있는데, 이에 따라 각 성분의 석출이 시작되는 pH가 상이하게 나타남에 따라 특정 성분을 선택적으로 추출하는 것이 가능한 특징이 있다. 또한 추가적인 개질처리 시, 산성 및 염기 분위기의 개질 공정에 따라서 가수분해 반응 기작이 달라지게 되는데, 산성 분위기에서의 가수분해 반응은 산소 원자에 대한 친전자적 반응(Electrophilic reaction)이 일어나며, 염기 분위기에서는 실리콘(Si) 이온에 대한 친핵성 반응(Nucleophilic reaction)이 일어나게 된다.22) 이에 따라 용액의 pH가 산성일 때, 알칼리 용액 속 실리카 입자들의 석출 및 중합 시 입자 간 가교결합 밀도가 낮고 입자들이 서로 선형의 체인을 형성하는 경향이 있으며, 반면 pH 증가함에 따라 가교결합의 수가 증가하여 입자 간 결합이 강하고 보다 치밀한 구조의 실리카로 제조 가능할 것으로 예상된다.22)
이에 본 연구에서는 왕겨로부터 고부가가치 천연실리카를 추출 및 제조하기 위한 방안으로 왕겨의 알칼리 추출액의 실리카 염을 졸-겔화 반응을 통해 실리카 하이드로겔로 제조하고, 이의 개질처리 방법으로 산성 및 염기 분위기에서의 개질처리를 다양하게 진행하여 최종적으로 제조된 침강실리카의 제조 특성 및 품질특성을 평가하였다. 이를 통해 고순도, 고품질의 왕겨 침강실리카의 제조 방법들을 모색하여 보았다.
2. 재료 및 방법
2.1 공시재료
본 연구에서는 경기도 소재 미곡종합처리장(Rice Processing Complex, RPC)에서 분양받은 왕겨를 사용하였다. 왕겨시료의 함수율은 4.4%이며, 40 mesh의 체를 이용하여 미세분을 제거한 후 본 실험에 사용하였다.
2.2 왕겨 유래 침강실리카의 제조
본 연구에서 왕겨로부터 침강실리카를 제조하는 방법은 왕겨를 알칼리 추출하여 흑액을 제조한 후, 알칼리성 왕겨 흑액의 pH를 중성화하여 졸-겔화를 진행하여 실리카 하이드로겔을 제조하였다. 제조된 실리카 하이드로겔을 염기 및 산성 분위기에서 개질처리하고 세척 및 열처리를 진행하여 최종적으로 침강실리카를 제조하였다.(Fig. 1) 각 단계의 실험방법은 다음과 같다.
2.2.1 왕겨 알칼리 추출액 제조 및 실리카 하이드로겔 제조
왕겨로부터 실리카 성분추출을 위한 저에너지 공정으로서 상온 조건에서의 침지(deeping) 방법을 통해 알칼리 추출액을 제조하였다. 알칼리 약액으로 NaOH를 사용하여 왕겨의 전건 중량 대비 20% 첨가하였으며, 액비 5:1, 18시간 동안 주위 환경의 온도에 의한 영향을 배제하기 위해 20±3℃의 온도를 유지하도록 항온항습 시설이 준비된 실내에서 침지하였다. 이후, 400 mesh의 거름망을 이용하여 왕겨 알칼리 추출액을 제조하였다. 제조된 추출액의 농도는 6.9%이며 고형분 중 유기물 4.2%, 무기물 2.7% 함량을 보였으며 pH 13을 나타내었다.
준비된 왕겨 알칼리 추출액을 사용하여 실리카 하이드로겔을 제조하기 위해 98% 황산(sulfuric acid)을 천천히 주가하여 pH 9로 조절한 후, 50℃에서 200 rpm으로 교반하여 30분간 졸-겔화 반응을 진행하였다. 형성된 고형분(실리카 하이드로겔)을 3000 rpm에서 10분간 원심분리하여 회수하였으며, 이후 개질처리에 사용하였다.
2.2.2 실리카 하이드로겔의 개질처리
개질처리는 졸-겔화 반응에 의해 형성된 실리카 하이드로겔을 일정한 pH 및 온도로 형성된 용액에 일정 시간 담가두는 방법으로 표면의 실라놀(Silinol) 그룹 간의 중·축합반응을 연속하여 유도하거나 분리하는 역할로서 적용하였다. 이러한 개질처리를 통해서 목표하는 실리카의 성상을 조절하거나, 순도를 개선 가능할 것으로 판단하였다. 개질처리는 산성 및 염기 환경을 조성하기 위해 0.1% 및 0.5%의 황산 용액, 0.1% 및 0.5%의 가성소다 용액을 사용하였다(Table 1). 각 용액을 기건 상태의 실리카 하이드로겔 중량 대비 3배수 중량만큼 투입하여 액비 1:3으로 조성하였다. 용액이 투입된 상태에서 항온수조에 20℃, 70℃ 온도로 설정하여 30분간 개질을 진행하였다. 개질처리가 완료된 실리카 하이드로겔을 3000 rpm에서 10분간 원심분리하여 회수하였다. 회수된 개질처리 실리카 하이드로겔의 기건 중량 대비 5배의 세척수를 사용하여 교반·세척 후 재차 3000 rpm에서 10분간 원심분리하여 1회 세척하였으며, 105℃에서 온풍건조기에서 24시간 동안 건조 후, 525℃의 회화로에서 4시간 동안 잔존 불순물을 연소하여 최종적으로 침강실리카를 제조하였다.
2.3 침강실리카 제조수율 평가
최초 왕겨 시료로부터 얻어진 침강실리카의 제조 수율을 측정하기 위해 개질처리 각 조건에서 최종 제조된 침강실리카의 중량을 측정하였다. 왕겨 1 kg으로부터 알칼리 침지를 통해 왕겨 흑액 4,000 g이 회수되었으며, 흑액 4,000 g 기준 (왕겨 1 kg 기준)으로 졸-겔화 및 개질처리, 세척, 열처리를 통해 제조된 침강실리카 중량으로 제조 수율을 평가하였다(Eq. 1).
2.4 침강실리카 품질특성 평가
2.4.1 FT-IR
각 제조된 침강실리카 시료의 표면화학적 특성을 평가하기 위해 적외선 분광 분석장치(Fourier transform infrared spectroscopy, Nicolet iS50, Thermo Fisher, USA)를 사용하여 시료 표면의 전반사 측정(attenuated total reflectance, ATR)을 진행하였다. 졸-겔화 이후 개질처리 조건에 따른 화학적 변화로 발생하는 피크들의 비교평가를 통해 표면 관능기의 변화를 분석하였다.
3. 결과 및 고찰
3.1 개질 처리 조건에 따른 침강실리카 제조 수율 변화
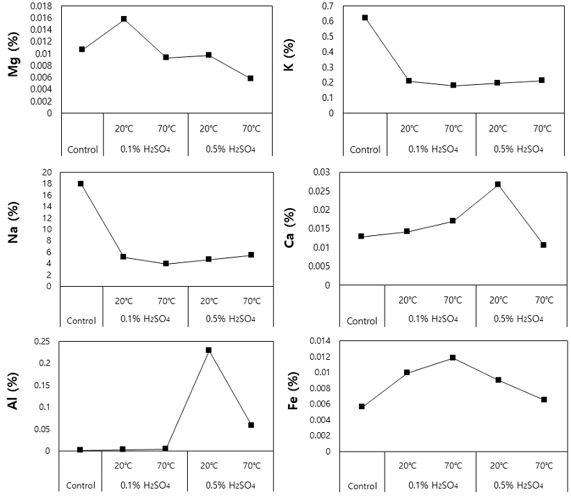
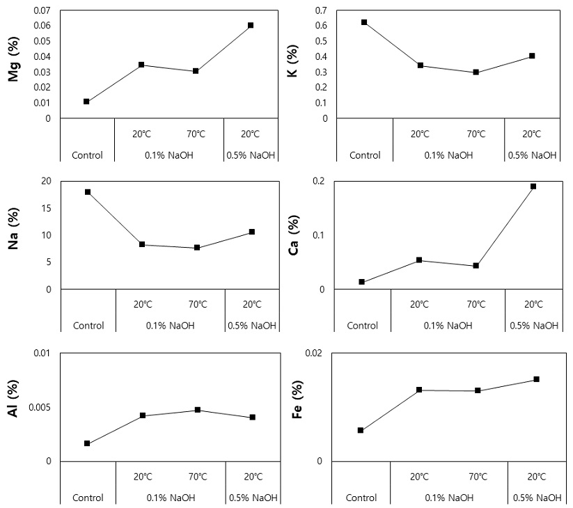
침강실리카 품질 특성을 제어하기 위해 본 연구에서는 황산과 NaOH를 통해 산성 및 염기 분위기에서의 침강실리카 제조수율 변화를 관찰하였다(Fig. 2). 최초 개질처리를 진행하지 않은 control 조건은 왕겨 1 kg당 약 67 g의 침강실리카가 제조되었으며, 이후 개질처리에 의해 약 0-50 g/RH 1 kg으로 감소하였다. 산성 및 염기 용액 내에서의 개질처리 과정에서 잔존 불순물의 제거 및 실리카의 소실에 의한 것으로 판단된다. 실제, 이후 설명되어질 ICP-AES 결과에서 약 20% 함량을 지닌 Na 원소가 4-6%로 전체 70-80%가 제거됨이 확인되었다(Figs. 5, 9). 0.1%, 0.5%의 황산 용액을 통해 산성 개질처리 조건이 가혹해질수록 실리카 하이드로겔에 용해된 상태로 존재하는 실리카와 리그닌 등의 2차 석출이 발생함에 따라 수율이 상대적으로 증가하는 경향을 나타내었으며, 온도 변화로 인한 수율의 변화는 미약한 감소가 관찰되었다. 0.1% NaOH를 적용한 조건에서는 0.1% 황산 개질처리와 유사한 경향을 나타냈으나, 0.5% NaOH 조건에서 이미 겔화되어 석출된 입자가 재차 용해됨에 따라 수율이 급격하게 감소하였으며, 추가적으로 온도를 가하였을 때, 완전히 용해되어 하이드로겔이 다시 졸(sol) 상태로 전환되었다. 개질처리를 통해 전반적인 제조 수율 감소가 나타났으나, 최종 침강실리카의 백색도, 함유 무기원소의 함량 변화와 같은 품질특성이 개선됨에 따라 개질처리는 수율 측면에서 황산을 통한 산성 분위기에서 수행되는 것이 적합하며, 입자의 성장 및 실라놀 그룹 간 결합 유도를 목표로 할 경우, 0.1% NaOH 조건의 염기 분위기에서 수행되는 것이 적합할 것으로 판단되었다.
3.2 산성 조건에서의 개질처리에 따른 침강실리카 품질 특성 변화
3.2.1 산성 개질처리 조건에 따른 외관적 특성 변화
산성 개질처리 조건에 따른 실리카의 성상 및 백색도 변화를 Figs. 3과 4에 나타내었다. 개질처리를 진행하지 않을 경우, 백색도 37의 흑색 침강실리카가 얻어졌다. 0.1% 및 0.5% 황산용액을 통한 산성 분위기에서의 개질처리가 진행되었을 경우, 백색도 66-73으로 미처리 조건에 비해 큰 폭으로 개선되었으며, 온도 상승에 따라 백색도가 추가적으로 개선되었다(Fig. 4). 그러나 0.5% 황산으로, 보다 가혹한 조건에서 개질처리를 진행할 경우, 0.1% 황산 개질처리 조건에 비해 전반적인 백색도 저하가 발생하였는데, 이는 황산에서 유래한 황 원소 혹은 실리카와 함께 잔류하는 셀룰로오스 및 헤미셀룰로오스 유래 당화물질 및 리그닌 분해산물과 같은 불순물이 황산과 고온에서 반응하여 실리카 표면의 메틸기 및 프로필기를 형성23)하는 등 여러 요인에 의한 색상의 발현으로 판단되었다(Fig. 3).
3.2.2 산성 개질처리 조건에 따른 화학적 품질특성 변화
산성 개질처리 시, 0.1% 및 0.5% 황산 조건에서 침강실리카의 금속 및 비금속 원소 함량은 온도 변화에 따라 상호 간 상반되는 결과를 나타내었다(Fig. 5). 0.1% 황산을 통해 개질처리 진행 시, 온도 증가에 의해 금속, 비금속 원소의 함량이 감소하여 정제되는 반면, 0.5% 황산 조건에서는 고온에서 진행할수록 Mg, Fe 원소와 같이 극소량 포함된 무기원소 이외의 불순물(Na, Ca, Al) 함량이 증가하는 경향을 나타내었다. 이는 Kim 등의 연구24)에서처럼 메조포러스 실리카에 황산을 사용하여 자일로스 탈수화반응의 촉매로 적용함으로써 표면에 푸르푸랄(furfural)을 합성할 때, 이의 합성여부를 3000-2800 cm-1에서의 C-H 이완에 의한 IR 흡수파장을 확인하여 성공적으로 합성되었음을 확인하였는데, 본 연구에서도 실리카와 함께 잔존하는 셀룰로오스 및 헤미셀룰로오스 유래 당화물질 및 리그닌 분해물과 같은 불순물이 황산과 함께 고온에서 탈수화 반응 기작이 발생되어 실리카 표면의 메틸기 혹은 프로필기를 형성함으로써 나타난 결과로 판단되었다. 이는 FT-IR 결과에서도 관찰되었는데, -CH 및 –CH2의 진동에 의해 나타나는 1415, 3000 cm-1에서의 피크가 0.5% 황산으로 70℃ 조건으로 진행한 실리카에서만 관찰되었다(Fig. 6).
3.3 염기 분위기의 개질처리에 따른 침강실리카 품질 특성 변화
3.3.1 염기 개질처리 조건에 따른 외관적 특성 변화
염기 분위기하에서의 개질처리를 진행한 결과, 0.1% NaOH 조건에서는 온도 증가에 따라 백색도가 개선되는 결과를 나타내었으나(Fig. 7), 0.5% NaOH 조건에서는 미처리된 시료(백색도 36)와 유사한 백색도 37로 개질 처리된 침강실리카 중 가장 낮은 백색도를 나타내었다(Fig. 8). 이는 잔존하는 Na, Ca, K와 같은 알칼리 금속염이 증가함에 따라 실리카겔 내부에 존재하는 탄소질의 불순물과 결합하여 생성되는 탄산염의 존재(Fig. 9)에 기인하는 것으로 판단되었다.25) 앞서 제조수율 부분에서도 Alkali B(0.5% NaOH, 70℃) 조건에서도 수율이 극단적으로 낮아지고 Alkali b(0.5% NaOH, 20℃) 조건에서는 백색도가 불량함에 따라, 염기분위기에서의 개질처리 진행할 경우, 0.1% NaOH 이하의 조건에서 수행되어야 할 것으로 판단되었다.
3.3.2 알칼리 개질처리 조건에 따른 화학적 품질특성 변화
ICP-AES를 통한 무기원소의 함량조사 결과(Fig. 9)에서 앞서 설명한 외관적 특성 변화와 동일한 경향의 결과가 나타났는데, 0.1% NaOH 알칼리 개질처리에서 온도 증가에 따라 금속 및 비금속 원소의 함량 중 대부분을 차지하는 Na, K 원소가 전반적으로 감소하였으며, 0.5% NaOH 조건에서는 소폭 증가하는 것으로 나타났다. 0.5% NaOH 용액을 적용한 조건에서 Na 원소로 인해 실리카에 잔존하는 나트륨의 함량이 크게 증가하는 것으로 판단되지만, 졸겔 단계에서 관찰되는 무기원소 함량(약 17%)보다 7-10% 이상 낮은 함량을 나타내어 NaOH를 통한 알칼리 조건 개질처리도 불순물을 저감할 수 있는 정제공정으로서 충분히 작용한다고 판단되었다.
알칼리 개질처리를 진행한 실리카 시료의 FT-IR을 흡수파장을 조사한 결과(Fig. 10), 각 조건별 1430, 3000 cm-1에서의 특이 피크가 관찰되었다. 이는 실리카 성상 및 백색도, ICP-AES 결과가 Alkali A(0.1% NaOH, 70℃) 및 Alkali b(0.5% NaOH, 20℃) 조건에 나타난 것처럼 높은 약액농도 혹은 온도조건의 가혹한 조건에서 탄산염의 존재로 인해 나타난 –CH 및 –CH2의 흡수파장으로 판단되었다. 실제 알칼리 조건의 알칼리염에 의해 실리카의 수화가 진행됨에 따른 표면 수산기(-OH)의 증가와 이에 따른 실라놀 그룹(Si-OH)에 기인하여 3600-2900 cm-1에서 관찰되는 수산기에 의한 피크로 여겨질 수 있으나, Rimsza 등의 연구에 의하면, NaOH에 의해 실리카의 표면은 탈양성자화가 진행됨에 따라 실라놀 농도가 감소하며, 결합된 Si-ONa 구조가 형성되지 않는 것을 보고한 바 있어,26) 이는 실라놀 그룹의 탈양성자화로 인한 음이온성의 실리카 표면이 형성(Si-OH ↔ SiO-+H+)되면서,27) 실리카 표면특성 변화로 인한 화학 반응성의 증대로 불순물이 포함하는 임의의 화학적 반응이 유도된 것으로 판단되었다.
4. 결 론
왕겨로부터 알칼리 추출을 통해 제조된 알칼리 추출액으로부터 석출되어 제조되는 왕겨유래 천연 침강실리카의 품질제어를 위해 염기 및 산성 조건에서 개질처리공정 변화에 따른 실리카 품질특성 변화를 평가하였다. 졸-겔화 반응이 이루어진 침강실리카는 하이드로겔 상태에서의 개질처리를 통해 백색도, 불순물(무기원소), 성상, 표면화학적 특성이 개선되었으며 특히, 백색도 및 불순물 함량은 크게 개선됨으로서 개질처리공정의 높은 효과가 확인되었다. 산성 조건의 개질처리는 온도 조건이 증가할수록 백색도가 개선되는 효과를 나타내었다. 그러나 0.5% 황산 조건에서 개질처리를 진행할 경우, 황 원소에 의한 실리카의 황색 발현이 나타났으며 0.1% 황산 처리 조건에 비해 전반적인 백색도 저하가 발생하였다. 이러한 특성은 실리카와 함께 잔존하는 셀룰로오스 및 헤미셀룰로오스 유래 당화물질 및 리그닌 분해산물과 같은 불순물이 황산과 고온에서 반응하여 실리카 표면의 메틸기 및 프로필기를 형성하는 것으로 판단되었다. 알칼리 조건에서의 개질처리는 온도 증가에 따라 백색도가 개선되었으나, 0.5% NaOH 조건에서는 백색도 38로 가장 낮은 수치를 나타내었다. 이는 잔존하는 나트륨이 실리카겔 내부에 존재하는 탄소질 불순물(헤미셀룰로오스, 리그닌)과 결합하여 생성되는 탄산염에 기인하는 것으로 판단되며, 이러한 특성은 무기원소 함량 및 FT-IR 결과에서도 가혹한 조건에서의 화학적 반응에 따른 변화로 확인되었다.
본 연구에서는 왕겨 유래 고품질 천연 침강실리카의 제조 및 품질제어를 위한 개질처리 공정 영향을 평가함으로써 왕겨유래 실리카 제조 시 품질을 개선하기 위한 다양한 개질처리 최적방안들을 모색하여 그 효과들을 확인하였다. 이를 통해 향후 왕겨 유래 고품위 천연 실리카의 제조 및 활용을 위한 기반 공정자료들을 제공하였다.












