1. 서 론
TMP(Thermo-mechanical pulp)는 화학펄프와 달리 증기를 이용하여 예열된 목재 칩을 가압조건 하에서 리파이너로 해리하여 제조된다. 글자 및 그림을 인쇄함으로써 정보를 전달하는 신문용지의 경우, 불투명도 및 인쇄적성의 개선을 위하여 TMP를 원료로 사용한다.1) TMP는 대부분 재색이 희고 강도가 낮은 수종으로 제조되나 국내 TMP의 경우 대부분 화목용도로 사용되는 국내산 육송으로 제조된다.2) 그러므로 육송의 수지 성분에 포함된 지방산, 레진 등의 소수성 성분이 초지공정의 다양한 첨가제와 상호작용을 일으켜 최종 생산품의 품질과 생산효율에 영향을 미친다. 신문용지 제조공정에 사용되는 첨가제 중 알럼은 화학식 Al2(SO4)3.18H2O의 알루미늄 설페이트(Aluminum sulfate)로서 물에 용해될 경우 Al3+과 SO42-이온으로 분해되며 물의 수소 이온 농도에 따라 알루미늄의 이온형태가 다르게 나타난다. 알루미늄 이온은 이온 반경이 작으며 강한 양이온성을 나타내기 때문에 공정수 내 카르복실기를 함유하고 있는 펄프나 지방산, 레진 등의 물질과 배위결합이 가능하다. 이에 알럼은 오래전부터 로진 사이징의 발현을 위한 정착제로 사용되어 왔다.
그러나 최근, 신문용지 제조공정에 혐기성 폐수처리 시설이 도입되면서 알럼의 사용량이 줄어드는 추세이다. 혐기성 처리는 폐수 처리에 요구되는 에너지 소모가 비교적 적고, 공정에서 발생되는 슬러지의 양이 호기성 처리에 비하여 적으며, 바이오에너지 원으로 활용이 가능한 메탄가스를 생성할 수 있다는 장점이 있다.3) 그러나 공정 수에 황(sulfur)이 존재할 경우 종이 제조 공정에 악영향을 미칠 수 있다. Park4) 등은 혐기성 소화조에서 황 환원균이 창궐하며 메탄가스의 형성이 억제되고 황화수소의 생성이 조장되는 문제점이 발생하며 Eq. 1, 2와 같이 알럼에서 유래한 SO42-이온이 Sulfur Reducing Bacteria의 기작을 통하여 황화수소로 환원된다고 보고하였다.
이렇게 형성된 황화수소는 공기 중의 수분 및 산소와 반응하여 황산(H2SO4)으로 쉽게 산화되며 공정수에 이러한 황산이 축적될 경우 초조용구의 부식과 pH 변화를 일으키는 등 공정에 악영향을 미칠 수 있다.4) 이러한 이유로 신문용지 생산 공정에 TMP를 배합하면서 알럼의 투입수준을 낮춘 결과 신문용지의 사이즈도가 저하되었다.5) 생산 기간에 따른 신문용지 공정의 pH 변화가 그리 크지 않았다는 점을 고려하였을 때 신문용지의 사이즈도는 원료의 15% 만큼 배합되는 TMP와 함께 유입된 수지성분의 aluminum resinate 형성 정도가 알럼의 투입량에 따라 좌우되었음을 알 수 있다. 또한 알럼의 사용량을 줄일 경우 알럼에 의하여 정착되어야 할 오염원이 장.단기 순환되는 백수 내에 축적되면서 보류향상을 위해 첨가되는 고분자량의 고분자 전해질을 소비하고 전체적으로 습부 화학적 불균형을 야기하기에 심각한 문제를 초래할 수 있다. 따라서 혐기성 공정수 처리 설비가 갖춰진 재활용 종이 생산 공정에서 최종 생산품의 사이즈도 및 오염원을 제어할 수 있는 알럼 대체 첨가제에 대한 연구가 필요하다.
PAC (Polyaluminum chloride)은 알루미늄 기반의 첨가제로서 알럼에 비하여 가수분해속도가 느리고 중성에서도 양이온성을 유지할 수 있기 때문에 알럼의 대안으로 각광받고 있다.5) 화학식은 Aln(OH)mCl3n-m 로서 물에 용해되면 Al3+ 이온이 생성되어 응집체를 형성하고 온도와 pH 변화에 알럼에 비하여 상대적으로 안정하다.6) 따라서 본 연구에서는 무기응결제인 PAC과 알럼 적용에 따른 신문용지의 사이즈도 변화와 소수성 물질 제어 특성을 분석함으로서 알럼을 대체하는 무기응결제로서 PAC의 활용 가능성을 평가하였다.
2. 재료 및 방법
2.2 실험방법
2.2.1 알럼과 PAC 투입에 따른 사이즈도 평가
PAC의 알럼 대체 가능성을 평가하기 위하여 각각의 무기응결제 첨가 조건에서 DIP와 TMP로 구성된 종이의 사이즈도에 미치는 영향을 비교 평가하였다. 먼저, 알럼과 고형분 10%, 분자량 3,300인 Table 3의 P-F1를 이용하여 투입량을 결정하고 RDA (Retention and Drainage Analyzer)8)를 이용하여 수초지를 제작한 후 접촉각을 측정하였다. ONP와 TMP를 9:1의 비율로 배합한 농도 약 4%의 지료에 알럼과 PAC을 투입한 후 200 mesh로 여과하여 여액 10 mL를 취한 다음 Poly-DADMAC (Poly-Diallyldimethyl-ammonium chloride)으로 적정하여 알럼과 PAC의 투입량을 결정하였다. DIP와 TMP를 이용하여 각각의 지료를 4% 농도로 조성하고 알럼 0.05%, PAC 0.21%를 투입한 후 청수를 이용하여 1.25% 농도로 희석하였다. 보류제로는 PAM 0.03%, Micropolymer 0.01%, 벤토나이트를 투입하여 평량 40 g/m2의 수초지를 제작하였으며, 제작된 수초지의 사이즈도를 평가하기 위하여 접촉각 측정기(Goniometer, Fibrosystem, Sweden)로 물방울의 접촉각을 측정하였다.
2.2.2 PAC 종류에 따른 micro stickies 정착 특성 평가
Table 1에 나타난 바와 같이 분자량과 고형분 함량이 다른 3종의 PAC을 선정하고 PAC의 성상이 공정오염에 미치는 영향을 평가하기 위하여 PDT (Pitch deposit tester)를 이용하여 지료 내 존재하는 micro stickies의 정착 거동을 분석하였다. PDT는 지료에 포함되어 있는 소수성 이물질의 정량 분석을 위한 장비로서 플라스틱 필름에 공기방울을 부착시켜 순환되는 지료에 공기방울을 부착시킨 플라스틱 필름을 침지하고 흡착되는 micro stickies의 흡착을 유도하여 면적을 계산함으로써 micro stickies의 정량 분석 및 정착 거동 평가가 가능하다.9) DIP와 TMP를 5:5의 비율로 배합한 지료에 Table 1의 PAC을 투입함에 따라 공기방울이 부착된 필름에 정착되는 micro stickies의 면적을 비교 분석함으로써 혐기성 소화조가 설치된 신문용지 생산공정에 적용 가능한 PAC 모델을 탐색하고자 하였다.
3. 결과 및 고찰
3.1 알럼과 PAC 투입량
Fig. 1에 나타낸 바와 같이 Table 3의 P-F1 PAC을 알럼 대비 42% 정도 투입할 때 유사한 전하중화 효과가 있었으며 이를 바탕으로 신문용지의 사이즈도 및 공정오염에 대한 평가를 실시하였다. 알럼의 경우 pH에 따라 계 내에 존재하는 형태가 변화하고 산성에서 중성, 알칼리 영역으로 갈수록 알루미늄 이온의 양이온성이 저하된다. 그러나 PAC은 pH의 변화에 관계없이 알루미늄의 양이온성을 유지하는 특성을 나타내므로 전화중화에 필요한 알럼의 투입량이 PAC에 비하여 높게 측정된 것으로 추정된다.
3.2 지료의 pH가 micro stickies 정착 특성에 미치는 영향
지료의 pH는 셀룰로오스 뿐만 아니라 콜로이드 입자의 표면전하와 각종 첨가제의 전하밀도에 직접적인 영향을 미친다. Fig. 1에 나타났듯이 지료의 pH와 알럼의 사용량 변화에 따라 신문용지의 사이즈도가 변화하였다. 결국, 신문용지 공정에서 사이즈도에 영향을 미치는 인자로는 pH와 정착제로 사용되는 무기 응결제의 형태 및 투입량 등을 들 수 있다. 이에 본 연구에서는 황산을 이용하여 pH를 변화시키고 그에 따른 TMP 수초지와 물방울의 접촉각과 보류도를 측정함으로써 pH가 micro stickies의 정착 특성에 미치는 영향을 분석하였다. Fig. 2에 나타낸 바와 같이 TMP 100%로 구성된 지료에 황산을 첨가하여 3분, 60분 교반 후 수초지를 제조하고 접촉각을 측정하였다. 모든 조건에서 물방울 접촉 후 0.5초 이내에 접촉각이 감소하였으며 Table 2에 나타난 바와 같이 황산 첨가에 따른 보류도의 변화는 나타나지 않았다. 따라서 TMP 100%로 구성된 지료의 pH가 변할 경우 수초지의 소수성 정도와 보류도가 크게 변하지 않음을 감안할 때 정착제로 사용되는 알럼과 PAC의 투입량이 신문용지 사이즈도 변화에 영향하였다고 판단된다.
3.3 알럼과 PAC에 의한 DIP와 TMP의 소수화
Fig. 1의 결과에 근거하여 DIP와 TMP로만 구성된 각각의 지료에 전술한 양이온 요구량 측정 결과를 기준으로 알럼은 전건 섬유대비 1%, PAC은 0.42%를 각각 투입하여 수초한 후 시간 경과에 따른 접촉각을 측정하였다. Fig. 4에 나타난 바와 같이 DIP에 알럼과 PAC을 투입하였을 경우 유사한 수준의 사이징 효과가 발현되었다. Fig. 5에 나타난 바와 같이 TMP에 알럼과 PAC을 투입하고 반응 시간에 따른 접촉각을 분석하였다. TMP에 알럼과 PAC을 투입하였을 경우 DIP 지료에 비하여 높은 접촉각을 나타냈다. 또한 알럼과 PAC을 투입하자마자 제조한 수초지의 사이즈도 보다 알럼과 PAC을 투입하고 30분 간 반응 후 제조한 수초지의 사이즈도가 우수하였다. 이는 육송으로 제조된 TMP로부터 용출된 지방산, 레진 등의 소수성 입자의 반응 시간이 증가함에 따라 알루미늄 이온과 결합하여 형성된 aluminum resinate가 섬유 표면에 많이 정착되었기 때문에 얻어진 결과로 추측된다.
알럼과 PAC은 강한 양이온성을 지닌 무기 응결제이기 때문에 표면전하가 음이온인 목재섬유와 결합이 가능하므로 투입량 및 공정 조건 따라 초지 공정에서의 보류도가 변할 수 있다. 이에 알럼과 PAC 투입에 따른 DIP와 TMP의 보류도를 분석하고자 RDA 수초 후 여액의 탁도를 비교 분석하였다. Table 3에 나타난 바와 같이 DIP와 TMP 지료 모두 알럼과 PAC 투입에 따라 보류도 차이는 없었다. 따라서 신문용지 생산 공정에 PAC을 사용할 경우 TMP 유래 소수성 레진 등이 섬유 표면에 정착되어 신문용지의 사이징 효과를 발현시킬 수 있으므로 알럼을 대체한 첨가제로서 적용이 가능할 것으로 판단된다.
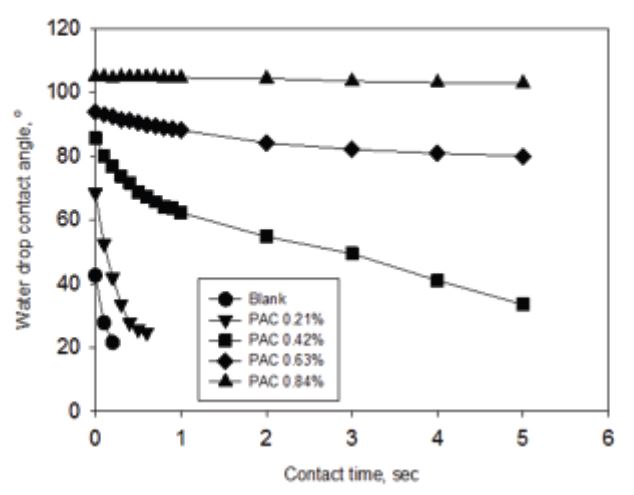
3.4 알럼과 PAC 투입량에 따른 소수화도 변화
분자량이 작은 양이온성 전해질의 경우 소수성 물질의 응집은 적으나 소수성 물질을 섬유 표면에 흡착시킴으로써 종이의 사이징 효과를 부여한다.10) 그러나 분자량이 적은 만큼 투입량이 증가할 경우 섬유 표면에 흡착되어 소산될 수 있는 위험성이 증가하므로 알럼과 PAC 투입량에 따른 수초지의 사이즈도를 평가하였다. Figs. 5-8.에 RDA 초지 시 알럼과 PAC 투입량 증가에 따른 TMP와 TMP와 DIP를 1:9로 혼합한 지료로 수초지를 제작하고 알럼과 PAC 투입에 따른 수초지의 사이징 효과를 나타냈다. 알럼과 PAC의 투입량이 증가함에 따라 사이징 효과는 현저하게 나타났다. 알럼 1%, PAC을 0.63% 이상 투입하였을 경우 물과 접촉하는 시간이 증가하여도 접촉각의 변화가 없었다. PAC의 경우 pH 6-7 영역에서도 양이온성을 유지할 수 있으며, 알럼의 경우 pH 4.5-5.0의 영역에서 Al8(OH)204+의 다핵체가 형성되고 pH 5이상의 조건에서는 Al(OH)3 침전물이 형성되기 시작한다. pH가 5이상의 영역이 되면 Al8(OH)204+ 형태의 올리고머의 비율이 감소하여 pH 4.5-5.0 조건에서와는 달리 강한 양이온성을 나타내지는 못하지만 잔존하는 Al8(OH)204+와 교질상 침전물인 Al(OH)3 표면에 흡착된 알루미늄 이온으로 인하여 중성영역에서도 양이온성을 나타낸다.11) 따라서 중성 pH 조건에서 알럼과 PAC 모두 소수성 물질을 섬유 표면에 정착시킴으로서 사이징 효과를 나타내는 것으로 판단된다.
3.5 PAC의 성상이 공정오염에 미치는 영향
3.4의 결과로 미루어 보아 PAC을 투입함에 따라 소수성 레진 등이 정착되면서 신문용지의 사이징 효과가 발현됨을 알 수 있었다. 혐기성 소화조가 설치된 신문용지 제조공정에서 알럼을 대체할 수 있는 첨가제로서 PAC의 적용이 가능할 것으로 판단되는 바, PAC의 분자량과 고형분 함량에 따른 micro stickies의 정착 특성을 평가함으로써 알럼을 대체하고 공정오염을 개선시킬 수 있는 최적의 PAC을 탐색하고자 하였다. Fig. 9에 나타난 바와 같이 PAC의 투입량이 증가할수록 micro stickies의 퇴적 면적이 증가하였다. PAC의 투입량이 2,000 ppm 이상일 경우 상대적으로 고형분 함량과 분자량이 낮은 P-S의 경우 micro stickies의 퇴적 면적이 가장 낮았다. 이는 상대적으로 섬유에 정착되는 소수성 이물질이 많다는 것을 의미하므로 분자량이 낮은 PAC이 micro stickies에 의한 공정오염을 효과적으로 제어할 수 있음을 알 수 있다. 반면 상대적으로 분자량이 높은 P-F1의 경우 소수성 물질의 퇴적 면적이 증가하였으므로 micro stickies 정착 특성이 저하됨을 알 수 있다. Douglas 등12)에 따르면 목재로부터 기인한 소수성 물질은 양이온성 첨가제가 투입될 경우 음이온성인 소수성 물질 성분에 흡착되어 소수성 물질 성분 간의 응집을 방해하여 섬유에 정착되거나 고분자 물질을 투입하였을 경우 소수성 물질의 응집이 발생하고 소수성 물질의 크기가 성장함에 따라 종이 제조 시 섬유와 섬유 사이의 공극에 존재할 수 있게 된다고 보고한 바 있다. PAC에 존재하는 알루미늄 이온은 수용액의 pH에 따라 전기적 특성이 변화하나 일반적으로 +2 혹은 그 이상의 전하를 나타낸다. 따라서 정전기적 인력에 의한 음이온성의 소수성 물질과 반응이 용이할 것으로 판단되며 투입된 PAC의 분자량이 크지 않기 때문에 micro stickies의 과도한 응집 없이 정착시킬 수 있음을 확인하였다.
4. 결 론
혐기성 소화조가 설치된 신문용지 제조 공정의 경우 알럼으로 인한 혐기성 수처리 운전 효율 저하를 방지하기 위하여 정착제로 사용되는 알럼의 사용량을 줄이고자 하는 노력을 기울이고 있다. 그러나 알럼의 사용량을 줄일 경우 섬유 표면에 정착되어야 하는 TMP 유래 레진 등이 정착되지 못하여 신문용지의 사이즈도가 감소하고 계 내에 축적되면서 공정 트러블을 야기한다. 따라서 본 연구에서는 이러한 현상을 극복하기 위하여 알럼의 대체 첨가제로서 PAC을 적용 가능성을 평가하기 위하여 알럼과 PAC 투입에 따른 DIP와 TMP의 소수화도, 보류도 및 오염도를 비교 분석하였다. TMP로부터 유래된 레진 등의 소수성 물질은 PAC을 투입함에 따라 정전기적 인력에 의해 섬유 표면에 정착되어 신문용지의 사이즈도를 증가시켰으며 PAC의 분자량과 고형분 함량을 조절할 경우 micro stickies의 정착 효율을 개선시킬 수 있었다. 결론적으로 저분자량의 PAC을 알럼 대체 첨가제로서 혐기성 소화조가 설치된 신문용지 공정에 적용할 경우 소수성 입자를 섬유 표면에 효과적으로 정착시킴으로서 공정오염을 줄이고 알럼 사용량 감소에 따라 저하되는 신문용지의 사이즈도를 개선시킬 수 있을 것이다.











