1. Introduction
Rice is an essential food crop globally and the primary food source for more than one-third of the world population. Rice, a monocotyledon and genus Oryza, comprises two cultivated species.[1,2] The authors in showed that in 2020, 213.6 million tons of rice (paddy) were harvested from 30.3 million ha of planted areas in China, while 178.3 million tons of paddy were harvested from 45 million ha of planted areas in India.[3] Although China and India are the largest rice producers globally, their export quantities are relatively low due to the high demand from their vast populations.[4] However, from 726.4 thousand ha of planted area 4.7 million tons of rice (paddy) were harvested in Korea.[5]
Rice husk is a major by-product of the rice milling industry and one of the most common high-ash lignocellulosic materials. A typical rice husk composition in wt% were SiO2 18.8-22.3%, lignin 9-20%, cellulose 28-38%, protein 1.9-3%, fat 0.3-0.8%, and nutrients after full digestion 9.3-9.5%.[6] The world’s annual rice husk production is about 80 million tons. In many countries, rice husks are often used as a low-value energy source, burned in fields, or disposed of in ways that harm the environment. This has sparked research into producing value-added products from rice husks, such as silica and activated carbon, and addressing some environmental concerns. Activated carbons form a group of well-established, versatile, and multifunctional adsorbents because of their high surface area, controllable pore size distribution, and variable surface reactivity.[6-8]
Rice straw and rice hull are produced as residual agricultural biomass from rice cultivation. Rice hull is a rice coating that protects the seeds. The rice husks are separated from the grain during the dry milling process. The by-products of rice farming consist of cellulose, hemicellulose, and lignin as the main components, but the silica content is very high. The silica removal process is required for effective rice by-products, and delicate alkaline processing is typically used.[9,10]
Various efforts have been made to increase the added value of sustainable rice husk production. Rice hulls have been developed to produce cellulose nanocrystals as a strength enhancer for starch-based biocomposite films and a strength enhancer for hydrogels for better drug delivery.[4-11] Additionally, in the biorefinery process, the cellulose residue can be used as the primary raw material by pre-extracting silica, lignin, and hemicellulose.
This study investigated the bleaching rheological properties of rice-hull cellulose nanofibrils by comparing them with those of hardwood chemical pulp-based cellulose nanofibrils. The effect of degrees of substitution as a pretreatment is the main variable for the analysis of viscosity and rheology.
2. Materials and Methods
2.1 Materials
Cellulose nanofibrils were made as described in a previous paper.[12] Rice hull was removed from the lignin using chlorine dioxide bleaching. The bleached rice hull was subjected to a carboxymethyl substitution reaction with the target degree of substitution (DS) of 0.2, 0.3, and 0.4. Carboxymethyl pretreated bleached rice hull was nano fibrillated by combining grinding and high-pressure homogenization (HPH), as shown in Table 1.
2.2 Rheological characterization
The mechanical properties of CNF apple cultivar gel were characterized using a rheometer (MCR 102, Anton Paar, Austria). At 25°C, two parallel plates with 25 mm diameter and a 1 mm gap between the plates were set to measure the shear viscosity and amplitude sweep. The sample’s viscosity was measured at a shear rate of 1 s-1 to 21 s-1. The amplitude sweep was measured to determine the linear viscoelasticity (LVE) area at a 10 radians/sec frequency in the strain range of 0.01 to 25%. The flow point (strain γf) was evaluated when the storage modulus was equal to the loss modulus (G′=G″).
2.3 Water retention value (WRV)
The samples’ WRV was determined through centrifugation at 30°C and 3000 G for 30 min using an H-103N centrifuge, a product of Kokusan Enshinki Co., Ltd Tokyo, Japan. The sample weighed 5 g and was placed in a P4 (10-6 µm) WRV filter glass which had been covered with a tea bag filter inside. After centrifugation, the leftover sample was removed and weighed to determine the weight of the centrifuged DS Rice Hull. The samples were dried in an oven at 80°C and left overnight. The WRV is calculated using the equation below.
3. Result and Discussion
3.1 Effect of combining DS, grinding, and HPH on the viscosity of bleached rice hull CNF
Rheological measurements were studied to observe how the carboxylic group content and nanofibrillation affected the properties of the CNF bleached rice hull gels. The nanofibrillated CNF gels were produced by combining grinding and HPH method with carboxymethyl pretreated bleached rice hull in suspension. The bulk investigation was performed by increasing the grinding and passes to increase the strength of the hydrogel.
The effects of different degrees of substitution of rice-hull cellulose to the viscosity were examined using different combinations of nanofibrillation and CNF concentrations. The viscosity difference with varying influences of DS on the CNF bleached rice hull is summarized in Figs. 1–3. The various grinding and HPH passes significantly affect the gel strength by increasing the viscosity with more nanofibrillation. The increasing viscosity came from the stronger network structure through additional nanofibrillation. The shear flow measurement serves to characterize the degree of fibrillation. Increased viscosity with increased fibrillation levels for chemically pretreated CNF suspensions using TEMPO-mediated oxidation and carboxymethylation has been summarized by Nechyporchuk et al.[13]

Fig. 1.
Viscosity as a function of shear rate for bleached rice hull DS 0.2 CNF with different nanofibrillation combinations, three grinding passes, and different HPH passes. a) 3 HPH passes, b) 6 HPH passes, c) 9 HPH passes.

Fig. 2.
Viscosity as a function of shear rate for bleached rice hull DS 0.3 CNF with different nanofibrillation combinations, three grinding passes, and different HPH passes. a) 3 HPH passes, b) 6 HPH passes, c) 9 HPH passes.

Fig. 3.
Viscosity as a function of shear rate for bleached rice hull DS 0.4 CNF with different nanofibrillation combinations, three grinding passes, and different HPH passes. a) 3 HPH passes, b) 6 HPH passes, c) 9 HPH passes.
All samples exhibited typical shear-thinning behavior, with viscosity decreasing on increasing the shear rate. Note that increasing the shear rate results in a gradual deformation of the network, leading to lower viscosity in high shear. In the CNF bleached rice hull with DS 0.2 (Fig. 1a–c), viscosity was increased with more nanofibrillation through grinding or HPH. Fig. 1a displays the viscosity increases from DS 0.2 G3H3 to DS 0.2 G3H9. In three grinding passes with different HPH, increasing the HPH improved the viscosity. Fig. 1b shows six grinding passes with different HPH, and Fig. 1c shows nine grinding passes. Different HPH passes showed a similar trend. A similar result was reported by Besbes et al. The number of passes at 600 bar high pressure also affects the rheological behavior, increasing gel viscosity. This effect may be due to the promotion of a higher fibrillation effect by doubling the number of passes under high pressure, resulting in a higher yield and a more robust network of nanofibrillated fractions.[14]
A similar viscosity trend was observed in the micro fibrillated cellulose (MFC) Brazilian eucalyptus hardwood-bleached kraft pulp slurry in the two-stage treatment at the same number of treatments was higher than that in the single treatment. When the sample that underwent five times of grinding was treated with five times homogenization, the viscosity was higher than that of an MFC treated with 15 grinding times (total number of treatments 20 times). These results showed that the MFC manufacturing efficiency of the two-stage grinding-homogenizing process is higher than that of the single grinding process. The fiber viscosity in the case of the two-stage treatment was slightly higher than that of the single grinding treatment. This means that in the grinding-homogenizing two-stage treatment, the decomposition of the cellulose chain occurs less than in the case of the single grinding treatment.[15] In viscosity, after a maximum increase in various combinations of DS, grinding, and HPH, the viscosity decreased, as shown in Fig. 3, which is lower than DS 0.2 and DS 0.3.
3.2 Effect of combination of DS, grinding, and HPH on storage and loss modulus of bleached rice hull CNF
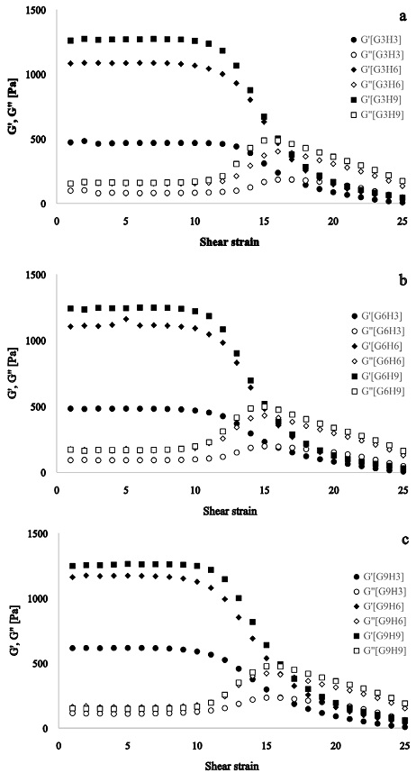
Amplitude sweeps were performed to determine the hydrogel’s LVE region and assess the gel strength. Gel strength was evaluated by comparing the values of the storage and loss modulus as a function of strain amplitude.[16] As observed for viscosity, increased grinding and passes increase the storage and loss modulus of the CNF bleached rice hull gels (Figs. 4-6). The effect of various grinding and passes on the storage and loss modulus of 2% CNF bleached rice hull DS 0.2 is shown in Fig. 4. The G′ value in Fig. 4a increased from grind 3 passes 3 (472.43 Pa) to grind 3 passes 9 (1,260.6 Pa), confirming that a stronger network of CNF gel is created at G9H9. However, the G′ value decreased when DS 0.2 reached G9H9. This suggests that increasing the grinding and HPH passes stiffen the gel until the CNF gel ceiling is reached. Further increase in the mechanical treatment decreases the strength of the hydrogel. All the samples studied showed a higher storage modulus than loss modulus.

Fig. 4.
Storage and loss modulus as a function of strain amplitude at a frequency of 10 rad/s for bleached rice hull DS 0.2 with 3 grinding passes and different nanofibrillation combinations a) 3 HPH passes, b) 6 HPH passes, c) 9 HPH passes.

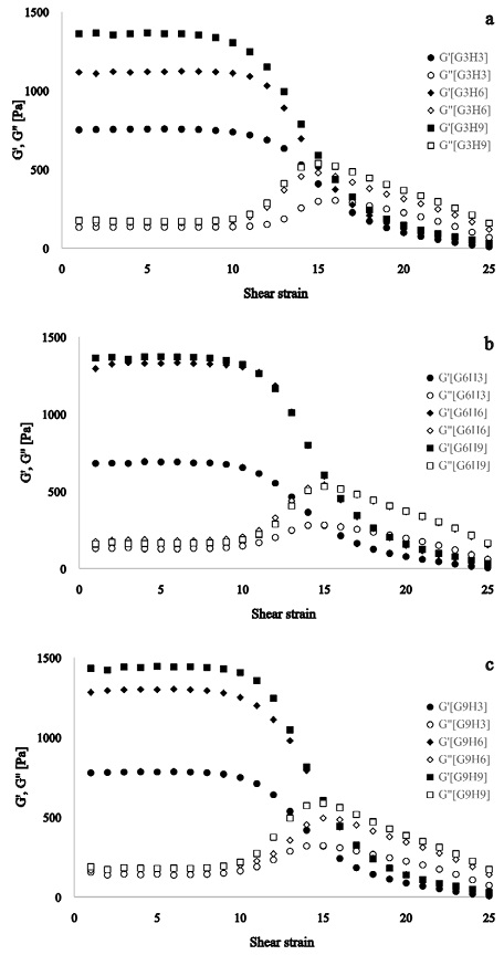
Fig. 5.
Storage and loss modulus as a function of strain amplitude at a frequency of 10 rad/s for bleached rice hull DS 0.3 with 3 grinding passes and different nanofibrillation combinations a) 3 HPH passes, b) 6 HPH passes, c) 9 HPH passes.

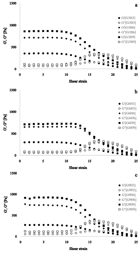
Fig. 6.
Storage and loss modulus as a function of strain amplitude at a frequency of 10 rad/s for bleached rice hull DS 0.4 with 3 grinding passes and different nanofibrillation combinations a) 3 HPH passes, b) 6 HPH passes, c) 9 HPH passe.
Oscillatory measurement was used to determine the LVE region and viscoelastic behavior. It also provided information regarding the hydrogel characteristics and the degree of networking.[16]Fig. 5 illustrates DS 0.3 with a different combination of grinding and HPH. The gel strength increased with more nanofibrillation by grinding and HPH from G3H3 to G3H9, increasing the strength until G9H9. DS 0.3 showed a more significant effect on the hydrogel strength than DS 0.2 and DS 0.4 (DS 0.3 > DS 0.2 > DS 0.4) at more nanofibrillation. The optimum fibrillation and size of the fibril was attained at DS 0.3, which could be improved between networks by increasing the grinding and HPH passes. This result is explained by the difference in the size of the fibrils, as reported before, in which smaller fibril sizes lead to a lower strength.[12] This is because more grinding and HPH passes made more fines and fibrillation, so all fibrils at DS 0.4 would be too short and lose their water retention ability. Shogren et al. also reported a similar trend of an initial increase in CNF viscosity from the corncob to the second process and a decrease with further processing. Therefore, the effect of processing degree on the rheological properties of CNFs depends on the cellulose surface properties, cellulose source, processing parameters, the type of processing equipment, and solid contents used during processing.[17]
As shown in Fig. 6, the gel strength showed a similar trend for other DS. The higher the G′ value, the higher the degree of networking, which stiffened the material. Furthermore, the G′ was much higher than that of G″, indicating the former’s solid-like structure, which meant that the CNF bleached rice hull with more nanofibrillation had increased elasticity. However, all results at DS 0.4 were decreased, with the lowest at G3H9. The DS 0.3 concentration at G9H9 formed the strongest gel (1431.6 Pa). Onyianta observed the identical result that the morpholine-pretreated wood pulp storage modulus increased linearly when the number of passes increased from 1 to 5.[18] However, after surface modification of the same cellulose feedstock, the viscoelastic properties increased from 1 to 2 passes, and then a decrease was observed from 3 passes.[18]
3.3 Effect of combining DS, grinding, and HPH on the water retention value (WRV) of bleached rice hull CNF
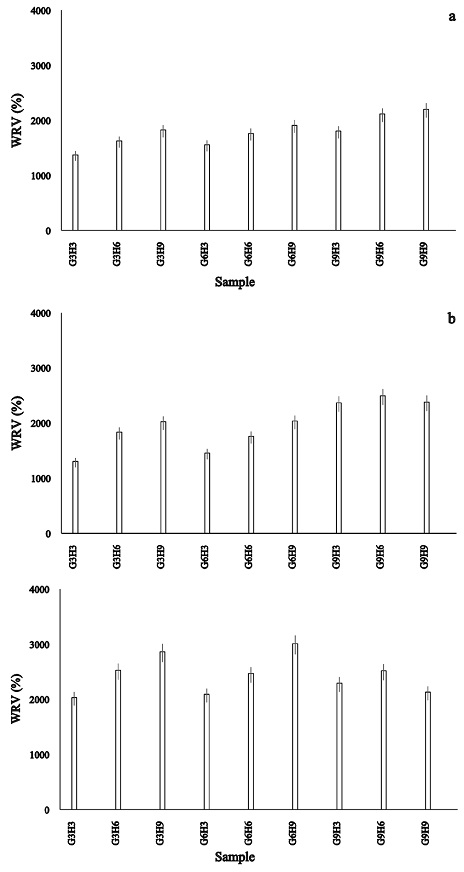
The pulp’s WRV was determined through fibrillation during the refining process. As fibrillation progresses, the fibrils’ water retention capacity increases, which increases the moisture content left in the pulp after centrifugation under standard conditions. Additionally, the water retention of fibers varied with the content of hydrophilic groups in the fibers. Cellulose has high hygroscopicity due to the interaction of its hydroxyl groups with water molecules.[12,16] Bleached rice hull CNF used three samples with different degrees of carboxymethylation substitution. The water retention of cellulose nanofibers was prepared by varying the number of grinding and HPH pass operations 3, 6, and 9 times; the measurements are shown in Fig. 7.

Fig. 7.
WRV of bleached rice hull at various concentrations, 3 different grindings nanofibrillation combinations a) bleached rice hull DS 0.2, b) bleached rice hull DS 0.3, c) bleached rice hull DS 0.4.
Fig. 7a. shows that the WRV increased from DS 0.2 G3H3 to DS 0.2 G9H9. As shown in Fig. 7, all graphs had the same trend since the WRV increased with more nanofibrillation. Fig. 7b and 7c showed the significant effects of different degrees of nanofibrillation, the WRV constantly increased until it decreased at G9H9. The highest WRV was DS 0.4 and G6H9 nanofibrillation. The excessive number of grinding and HPH reduced the hydrogel’s water holding capacity. The same trend was reported in a previous paper, that at G9, the WRV value in all samples was the lowest.[12]
The WRV of water hyacinth was obtained from 0 to 5 passes through the samples, with a linear trend observed with an increasing degree of machining. The WRV increased significantly from 0 to 1 pass, as the WRV more than doubled from around 6000%–12700%. This indicated that the fibrillation process was significant on the first pass through the high-pressure homogenizer, since the fiber bundles began to delaminate into smaller subunits. From round 2 onwards, the WRV increase rate decreased. This indicated that the effect of the mechanical processes on the fibrillation of cellulosic materials stabilized and saturated. The fibrillation process could reasonably explain this. As the processing continued, the larger fibers fibrillated to a stage where (at least most of) the individual units underwent little further delamination under the specified mechanical conditions. Therefore, it could be surmised that even further processing of the samples (e.g., 6 runs), will not increase the WRV significantly.[19]
The degree of water retention from the eucalyptus bleached kraft pulp degree indicated the amount of bound-water attached to the cell wall of the fiber. This can be used as an index to evaluate the surface area increase of the fiber. As the number of treatments increased from 0 to 20, the water retention of the cellulose nanofibrils increased, indicating that the specific surface area of the fibers increased as fibrillation progressed.[20]
4. Conclusion
The substitution of the hydroxyl group to the carboxymethyl group in bleached rice husks was found to affect the WRV of CNF in the range of 1300-3000% during nanofibrillation using grinding and high-pressure homogenization. Moreover, this chemical substitution and nanofibrillation process affected the viscosity of the CNF hydrogel, as evidenced by all samples experiencing an increase in viscosity with a higher degree of substitution (DS) by carboxymethylation and more nanofibrillation by grinding and high-pressure homogenization. The strength of the CNF hydrogel was assessed by comparing the values of the hydrogel’s storage and loss modulus. It was observed that the viscoelastic properties start increasing from DS 0.2 to DS 0.3, and then a decrease is observed from DS 0.4 in all nanofibrillation processes.


