1. Introduction
In order to ensure that the black liquor can be completely burned, the air volume coefficient of the alkali recovery furnace is generally set to a larger value in the paper alkali recovery process. This means that excessive air will enter the furnace to participate in the combustion, which will result in a significant increase in the content of nitrogen oxides in the flue gas. In response to this problem, companies generally use selective catalytic reduction (SCR) denitrification technology to treat the flue gas generated by the combustion of alkali recovery furnaces. [1] However, there is cross-sensitivity between the nitrogen and oxygen sensor and NH3. [2] This makes it difficult for the measured value of NOx to accurately reflect the true situation of the NOx concentration at the outlet of the alkali recovery and denitrification system. As a result, the control effect of the denitrification system is not good. The NOx concentration fluctuates frequently, and even the emission standards cannot be met. Therefore, it is necessary to establish a mathematical model of NOx concentration at the outlet of the denitrification system to lay the foundation for the control and optimization of the flue gas denitrification system of the alkali recovery furnace.
At present, there are mainly two methods for the NOx concentration at the outlet of the SCR denitration system: mechanism modeling and data modeling. The mechanism modeling follows the Eley-Rideal mechanism. [3] For example, Nova et al. [4] introduced the transient response method into the SCR reaction process based on the Eley-Rideal mechanism. The kinetic model of catalyst surface occurrence was established by means of parameter identification. Devarakonda et al. [5] established a one-dimensional mechanism model of the SCR reaction. The validity of the model was verified by the temperature ramp experiment. However, the process of SCR flue gas denitrification reaction is extremely complicated, and there are many influencing factors. For example, the inlet NOx concentration, reaction temperature and catalyst type will affect the denitration reaction. In addition, the computational complexity of the relevant parameters in the mechanism model is high, which makes the establishment of the model more difficult. Compared with mechanism modeling, data modeling is a modeling method that combines production data with intelligent algorithms. It has been widely used in SCR denitration system. Di and Zhang [6] analyzed the main influencing factors that affect the export NOx concentration. A neural network model of the SCR reactor was established based on the actual data on site. But when the neural network was used for model construction, each run of the neural network must be initialized randomly, so the results of each run were biased. Liu et al. [7] introduced the multi-core learning method into partial least squares, and then established the nonlinear model of the SCR system. It provided an effective way for SCR system modeling. However, multi-core learning not only requires a large amount of calculation, but also increases the complexity of the model, and the selection of core parameters is more difficult. Wang et al. [8] established a prediction model of inlet NOx concentration using a radial basis function neural network optimized by particle swarms, and the prediction results basically conformed to the field conditions. However, the neural network has a large amount of calculation and it is difficult to meet the real-time requirements of the system.
Based on previous studies, this article proposes a least squares support vector machine (LSSVM) optimized by adaptive inertial weight particle swarm optimization algorithm (AIWPSO) to establish a data model of NOx concentration at the outlet of the SCR denitration system. First, through the analysis of the denitrification mechanism, the dominant variables that affect the outlet NOx concentration were determined. Then, in order to obtain the modeling data under different working conditions, the control variates was used to adjust the correlation variables in the actual work site. Then, the experimental data, used as training samples, combined with the improved LSSVM to establish a mathematical model of the NOx concentration at the outlet of the SCR denitration system. Finally, the accuracy of the model is verified by comparing the model established in this paper with the traditional mechanism model.
2. Experimental Methods and Device
2.1 Experimental Methods
In order to reasonably choose the variables that needed to be adjusted in the experiment. First, the principle of the flue gas denitration reaction needs to be analyzed. The basic principle of the denitrification reaction is briefly described as follows: In the SCR denitrification reactor, the flue gas produced by the alkali recovery furnace and the reducing agent (the reducing agent is mainly used in industry is ammonia) react under the action of the catalyst and oxygen. The NOx in the flue gas is reduced to N2 and H2O. The reaction principle is shown in Fig. 1.
The main chemical reaction equations involved in Fig. 1 are as follows:
Because most of the NOx in the flue gas is composed of NO (about 95%) and NO2, the main reaction of the denitration reaction can be considered as Eq. 3. However, the above reaction formulas are all idealized formulas. In the actual reaction process, some side reactions may occur due to other factors. For example, whether the flue gas contains a large amount of SOx or whether it is oversprayed with ammonia. Because the actual production of this experimental object is to first desulfurize and then denitrify process. Therefore, only the side reactions in the case of excessive ammonia injection need to be considered. The reaction formula is shown in the following formula.
According to the analysis of the above denitration mechanism, it can be seen that the relevant variables that affect the outlet NOx concentration mainly include the following 6 kinds.They are: the amount of ammonia injected, the inlet NOx concentration, the inlet flue gas oxygen content, the flue gas flow rate, the flue gas temperature, and the ammonia-nitrogen molar ratio.First of all, the inlet NOx concentration and the amount of ammonia injection are the main reaction variables, which directly affect whether the reaction is complete. Secondly, the oxygen content of the inlet flue gas affects the progress of side reactions. Too high oxygen content in the inlet flue gas will accelerate the side reaction, causing NH3 to be oxidized to NOx. In order to ensure the complete denitrification reaction and avoid the negative impact caused by excessive ammonia injection, the company will preset a molar ratio of ammonia to nitrogen during denitrification. When the ammonia-nitrogen molar ratio is too low, the main reaction efficiency decreases and the outlet NOx concentration increases. When the ammonia-nitrogen molar ratio is too high, the side reactions will also increase, and the unfavorable by-products will increase. At the same time, the amount of ammonia escape will also increase, causing secondary pollution to the environment. At the same time, the flue gas flow rate will also affect the reaction efficiency. The slower the flow rate, the longer the contact time between the substances and the more thorough the reaction. However, as the contact time increases, after the denitration efficiency reaches its maximum value, continuing to slow down the flue gas flow rate will have a negative effect. In addition, the denitration reaction is also related to the activity of the catalyst. Excessively high or low temperature of the flue gas entering the denitration will affect the activity of the catalyst.
In order to verify the influence of the above variables on the outlet NOx concentration, and collect as much modeling data as possible under different working conditions, a variable adjustment experiment was carried out on the actual operating site of the alkali recovery furnace. Considering that the inlet NOx concentration is determined by the combustion situation in the alkali recovery section, in order to ensure the safety of the experiment, the stable operation of the alkali recovery furnace would not be adjusted for the time being. Therefore, this article would use the controlled variable method to adjust the experiment for the remaining 5 variables. During the experiment, the change data of NOx concentration at the outlet was obtained by changing its operating value. The specific experiment can be divided into the following 5 processes:
(1) Ammonia injection rate experiment: When the outlet NOx concentration reached a stable level, increased the ammonia injection rate. The increase in the amount of ammonia injection was 10% of the current value. Make the system ran continuously for a period of time and then increased the amount of ammonia injection by 10% again.
(2) Flue gas flow rate experiment: the effect of flue gas flow rate slowing down on the outlet NOx concentration was simulated by changing the flue gas flow regulating valve. In the experiment, the opening degree of the flow valve was set to 80%, 60% and 40% in sequence.
(3) Ammonia-nitrogen molar ratio experiment: The ammonia-nitrogen molar ratio preset by the enterprise was 0.8. The system ran for a period of time under this condition. Increased the ammonia-nitrogen molar ratio to 1 and 1.2.
(4) Flue gas temperature experiment: the temperature of the flue gas entering the SCR denitrification device was controlled by the cold end temperature control function of the flue gas preheater. Set the flue gas temperature to 300°C, 350°C and 400°C in sequence.
(5) Inlet flue gas oxygen content experiment: adjusted the air supply of the dilution fan by controlling the air duct baffle, and increased the opening of the air duct baffle by 20%.
The above 5 groups of experiments were carried out separately. Only one input variable was adjusted for each group of experiments, and the other variables remained unchanged. 310 sets of data were collected for each experiment with a sampling interval of 30s. After removing abnormal data, data samples for the training model can be obtained.
2.2 Experimental device
The experimental operation was carried out at the denitration section of the alkali recovery furnace of Henan Xianhe Paper Mill, and the technological process is shown in Fig. 2. This section was mainly responsible for sending the high temperature flue gas from the alkali recovery furnace to the denitration tower for denitration. In the actual industrial site, the SCR denitration system is usually divided into two areas: the reducing agent preparation area and the denitration reaction area. The reducing agent preparation zone is to prepare ammonia water into gaseous ammonia required for the reaction, which is mainly completed by the ammonia water evaporator as shown in Fig. 3. The ammonia water is sent to the evaporator through the ammonia water regulating valve. At the bottom of the evaporator, the flue gas is introduced through the dilution fan. The heat contained in the flue gas is used to completely evaporate the ammonia water to generate ammonia gas and mix it thoroughly. On the one hand, because ammonia gas is flammable and explosive, the volume concentration of ammonia after dilution will generally drop below 5%, which is a safe concentration range; On the other hand, the diluted ammonia gas will be more evenly distributed after entering the reactor. It can avoid the occurrence of reaction or non-reaction, and it is easier to control. The destocking reaction of flue gas is carried out in the denitrification tower. The denitration tower is shown in Fig. 4. The prepared ammonia gas is sprayed into the flue through the ammonia spraying grid, fully mixed with the flue gas in the flue, and then enters the SCR reactor. Corresponding catalysts are arranged inside the reactor. The flue gas will undergo a 90-degree elbow and the cross-sectional area of the reactor before entering the reactor. A flue gas flow equalization device is installed at the entrance of the SCR reactor, which ensures that the flue gas flow through the catalyst maintains the same flow rate and the flow field is stable. The uniform flow of flue gas enters the reactor under the action of suitable temperature and catalyst. The NOx in the flue gas is reduced to produce N2 and H2O. In order to prevent the fly ash in the flue gas from clogging the catalyst, soot blowers are installed above each layer of catalyst. After the reaction is completed, the flue gas enters the economizer for flue gas waste heat recovery. Then filter out dust particles in the flue gas through a bag filter. Afterwards, the super adsorption capacity of activated carbon is used to remove dioxins, toxic metal substances, and other trace elements in the flue gas before conveying to the induced draft fan. The flue gas is discharged from the chimney after the action of the induced draft fan. Both the inlet and the outlet of the SCR reactor are equipped with flue gas analyzers to facilitate the measurement of the NOx concentration in the flue gas. The flue gas analyzer is shown in Fig. 5.
3. Results and Discussion
3.1 Results
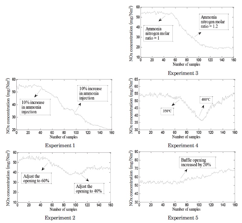
The results of the experiment are shown in Fig. 6.
It can be seen from Experiment 1: when the amount of ammonia injection increased, the outlet NOx concentration decreased, and as the amount of ammonia injection continues to increase, For example, continue to increase the amount of ammonia injection by 10% in experiment 1,the downward trend of the outlet NOx concentration weakens. This was because when an excessive amount of ammonia was injected, the side reaction in the reactor was aggravated, and the excess NH3 was oxidized into NOx;
It can be seen from Experiment 2: When the flue gas flow rate slowed down, the outlet NOx concentration decreased. This was because the contact time between the flue gas and the catalyst was increased, which was beneficial to the denitration of the flue gas. However, when the contact time was too long, NH3 would start to undergo oxidation reaction, and the outlet NOx concentration increased slightly;
It can be seen from Experiment 3: The outlet NOx concentration decreased as the molar ratio of ammonia to nitrogen increased. However, judged from the downward trend of the outlet NOx concentration curve, as the molar ratio of ammonia to nitrogen increased, its influence on the denitrification reaction became weaker and weaker.
It can be seen from Experiment 4: At the beginning, the outlet NOx concentration decreased as the flue gas temperature increased. However, as the temperature continued to increase, the NOx concentration would increase rapidly. This was because when the temperature was close to 400°C, the activity of the catalyst was limited, caused the NOx in the flue gas in the reactor to not be removed in time. And in a high temperature environment, it also accelerated the oxidation process of NH3, resulted in an increase in NOx concentration;
It can be seen from Experiment 5: When the oxygen content increased, the outlet NOx concentration increased. This was because during the reaction, too much oxygen would accelerate the side reaction, caused NH3 to be oxidized into nitrogen oxides.
In summary, the influence of each variable on the NOx concentration at the outlet is basically in line with the analysis results in Section 2.1. Therefore, it could be determined that the above variables were the dominant variables affecting export NOx. In addition, a total of 1240 sets of data were collected during the experiment. In order to avoid the built model from being affected by sensor accuracy, detection method and site environment. Pauta (3σ) criterion and five-point cubic smoothing method were used to preprocess the collected data. The 3σ criterion was used to eliminate gross errors, and the five-point cubic smoothing method was used to eliminate random errors. After preprocessed, 1103 groups of valid data were obtained. The processing result of part of the data is shown in Fig. 7.
3.2 Discussion
In response to the above experimental results. Based on the experimental data, this paper adopted the least square support vector machine (LSSVM) optimized by the adaptive inertial weighted particle swarm optimization algorithm (AIWPSO) to establish a data model of the NOx concentration at the outlet of the SCR flue gas denitration system in the alkali recovery section. In addition, the mechanism model described in literature [9] was used as a comparison item to verify the performance of the built model.
3.2.1 Establishment of the data model
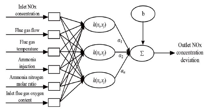
According to the conclusion of the experiment. Five variables such as the amount of ammonia injection, the inlet NOx concentration, the flue gas flow rate, the flue gas temperature, and the ammonia-nitrogen molar ratio could be determined as the input variables of the model. The outlet NOx concentration was used as the output variable of the model. To directly construct the above-mentioned relationship between input and output, using data-driven least squares support vector machine algorithm, thereby establishing a data model of NOx concentration at the outlet. The model structure is shown in Fig. 8.
Considering that in the modeling process of least squares support vector machine, the choice of kernel parameters σ and regularization parameters γ will directly affect the prediction accuracy and generalization ability of the model. In this paper, to improve modeling efficiency and accuracy, the adaptive inertial weight particle swarm optimization algorithm [10] was applied to the parameter optimization process of least squares support vector machine. The AIWPSO algorithm was based on the standard PSO algorithm, and introduced the inertia weight nonlinear decreasing update strategy and mutation operation. The non-linear decreasing update strategy of inertia weight could make the iterative operation of the algorithm find a relatively appropriate balance point between the local search and the global search, so as to achieve the balance of the particle global search and local search capabilities. The mutation operation could prevent the algorithm from converging to the local optimal solution, thereby enhancing the global optimization capability of the algorithm. Through the optimization of the AIWPSO algorithm, the kernel parameters and regularization parameters could approach the optimal solution faster, which could further improve the accuracy of the built model.
The modeling process of the AIWPSO-based least squares support vector machine is shown in Fig. 9.
When training the data model. The 700 sets of processed data were selected as the training samples of the export NOx concentration data model. And set the population size of AIWPSO to 20. The maximum number of iterations was set to 100. The local search learning factor was set to 1.5. The global search learning factor was set to 1.7. The value range of the nuclear parameter was set to [0.01, 1000]. The value range of the regularization parameter was set to [0.01, 100]. The RMSE of the test set was selected as the fitness value of the corresponding particle. The AIWPSO algorithm continuously updates the position and velocity of the particles during operation until the maximum number of iterations was met. The optimal parameter value was: σ=17.3930, γ=0.3389.
To better verify the accuracy of the data model built, the mechanism model described in the literature [9] was used as the comparison item. According to the document, the calculation formula of the mechanism model is:
In the above equations, Eq. 7 describes the adsorption and desorption process of ammonia on the catalyst surface. Eqs. 8 and 9 describe the reaction process of ammonia and NO in the reactor. ra is the adsorption rate of ammonia (s-1). rd is the ammonia desorption rate (s-1); rNO is the reaction rate of NO (s-1); rox is the NH3 oxidation rate (s-1); rNH3 is the catalyst adsorption capacity (mol/m3). The specific calculation equations are as follows:
In the equations, is the adsorption reaction constant (m3/(mol·s)); Ea is the NH3 adsorption activation energy (cal/mol); R is the ideal gas constant (R=8.314J/(mol·K)); CNH3 is the molar concentration of NH3 in the reactor (mol/m3); θNH3 is the coverage of NH3 on the catalyst surface; is the desorption reaction constant (m3/(mol·s)); Ed is the NH3 desorption activation energy; is the initial activation energy of NH3 desorption (cal/mol); is the denitration reaction constant (m3/(mol·s)); ENO is the denitration reaction activation energy (cal/mol); CNO is the molar concentration of NO in the gas phase (mol/m3); is the NH3 oxidation reaction constant (m3/(mol·s)); Eox is the NH3 oxidation reaction activation energy (cal/mol); φ is the catalyst surface coverage coefficient.
To ensure the consistency of the two models. When identifying the parameters of the mechanism model, the same training samples as the data model were selected. The AIWPSO algorithm was used to optimize the parameters to be identified. The identification results of each parameter are shown in Table 1.
3.2.2 Validation and comparison results of the two models
For the two models after the training had completed. 400 sets of data outside the training samples were used for calculation verification. The verification result is shown in Fig. 10.
To further measure the accuracy of the model, the average absolute percentage error (MAPE) and root mean square error (RMSE) were used as measurement indicators. Calculated as follows:
In the equations, N is the number of test samples; yi and are the measured value and calculated value of the first sample respectively.
According to the corresponding evaluation index calculation methods, the evaluation indexes during training and verification of the two models were calculated.The comparison results of the evaluation indexes are shown in Table 2. In Table 2, the subscript T represents the evaluation index during training, and the subscript P represents the calculation index during verification.
Table 2.
Comparison of model calculation accuracy
| Modeling Method | RMSET (mg/Nm3) | MAPET (%) | RMSEP (mg/Nm3) | MAPEP (%) |
|---|---|---|---|---|
| Mechanism modeling | 6.078 | 8.13 | 8.537 | 9.84 |
| AIWPAO-LSSVM | 2.76 | 4.21 | 3.59 | 4.37 |
It can be clearly found from Table 2 that, in comparison, the model accuracy of the machine model was poor, MAPET=8.13%, MAPEP=9.84%, and there was a certain deviation between the model and the actual system. This was because, in the process of denitration, there were many factors that affect the efficiency of denitration, and the factors that could not be accurately quantified (such as catalyst activity and reactor flow field distribution, etc.) were not introduced into the mechanism model so that the mechanism model produced a larger calculation error. At the same time, because the denitration reaction is very complicated and the machine model contains a large number of unknown parameters, it is difficult to identify the optimal parameter set, which also affected the accuracy of the mechanism model, leading to increase model calculation errors. The calculation accuracy of the AIWPAO-LSSVM model was significantly better than that of the mechanism model, with MAPET=4.21% and MAPEP=4.37%, indicating that the model has a better fitting and generalization capabilities, and can more accurately describe the operation of the SCR denitration system status.
4. Conclusions
In order to solve the problem that the NOx concentration is difficult to accurately measure due to the cross-sensitivity between the nitrogen oxygen sensor and NH3, this paper established a data model of the outlet NOx concentration of the SCR denitration system to predict the outlet NOx. Firstly, a variable adjustment experiment was carried out on the relevant variables affecting the outlet NOx concentration at the actual work site. The experimental results showed that the influence of the selected variables in this paper on the outlet NOx concentration was basically in line with the theoretical analysis. Secondly, on the basis of the experimental results, the input and output of the built model were determined. Then, according to the obtained experimental data, a data model of NOx concentration at the outlet of the SCR denitrification system was established by using a least squares support vector machine optimized by an adaptive inertial weighted particle swarm optimization algorithm. Finally, by comparing the established model with the traditional mechanism model, The experimental results showed that the model built in this paper has higher fitting ability and prediction accuracy than the mechanism model. It could more accurately reflect the dynamic characteristics of NOx concentration at the outlet of the flue gas denitration system of the alkali recovery furnace.












