1. 서 론
2. 재료 및 방법
2.1 공시재료
2.2 실험방법
3. 결과 및 고찰
3.1 CMC/GO 복합체의 유변학적 특성
3.2 CMC/GO 복합 비즈의 화학적 특성 분석
3.3 CMC/GO 복합 비즈의 물리적 특성 분석
3.4 MB 흡착 특성 분석
3.5 MB 흡착 등온선 분석
3.6 MB 흡착 동역학 분석
4. 결 론
1. 서 론
염료(dyes)는 섬유, 제지, 도료, 화장품, 의약품 등 다양한 산업 공정에서 사용되는 착색 물질로, 대부분 복잡한 방향족 구조와 높은 화학적 안정성을 지니기 때문에 수계에서의 분해와 제거가 매우 어렵다[1,2,3]. 이러한 특성으로 인해 합성 염료를 포함한 폐수는 수계에서 쉽게 분해되지 않으며, 높은 독성으로 인해 수생 생태계와 인체 건강에 심각한 위해를 초래하는 주요 환경오염원으로 인식되고 있다[4]. 대표적 양이온성 염료인 메틸렌 블루(methylene blue, MB; C16H18N3SCl)는 높은 수용성, 독성, 생분해 저항성으로 인해 생태계에 장기간 잔류하며, 수계에 미량 존재하더라도 생태계에 악영향을 미친다[5]. 이 같은 염료 제거를 위해 화학적 침전, 응집, 용매추출, 막분리, 촉매분해, 역삼투, 흡착 등의 공정이 활용되어 왔다. 화학적 침전과 응집 공정은 금속염이나 응집제를 이용해 염료를 분리하는 기술로 보고되어 왔고 막분리와 역삼투 역시 섬유·염색폐수에서 높은 염료 제거 효율을 보여 온 기술이다[6]. Bożęcka 등[7]은 분리 공정이 순수한 물의 회수와 농축액 분리를 동시에 수행할 수 있음을 제시하였으나 이 같은 공정들은 공통적으로 슬러지 발생, 높은 운영 및 유지 비용, 막 오염에 따른 수명 단축, 농축 폐액 처리의 어려움 등 여러 한계가 지적되어 왔다. 특히 용해성 유기 염료의 경우, 처리 효율이 운전 조건 변화에 크게 영향을 받기 때문에 기존 공정만으로는 충분한 경제성과 환경성을 확보하기 어렵다는 점이 보고되었다.
반면, 공정이 단순하고 다양한 조건에서 높은 제거 효율을 달성할 수 있는 흡착법(adsorption)은 염료 처리 기술 중 가장 유망한 대안으로 주목받고 있다[8,9,10]. 활성탄, 제올라이트 등 기존 흡착제는 산업 현장에서 널리 사용될 만큼 적용성이 높지만, 제조 비용이 높고 특정 염료에 대한 제거 효율이 제한적이라는 한계를 지닌다[11,12,13]. 이러한 한계를 보완하기 위해 염료와의 선택적 상호작용을 유도할 수 있는 극성 관능기를 효과적으로 도입할 수 있으면서도 지속가능한 흡착 소재의 개발이 주목받고 있다[14,15]. 카르복시메틸셀룰로오스(carboxymethyl cellulose, CMC)는 셀룰로오스 사슬의 자유 수산기(–OH)를 카르복시메틸기(–CH2COO⁻)로 치환하여 제조된 셀룰로오스 유도 음이온성 고분자로, 이로 인해 우수한 정전기적 상호작용 및 수소결합 능력을 나타낸다[16,17]. 그러나 CMC 단독 사용만으로는 기계적 안정성과 흡착용량, 흡착 속도를 향상시키는 데는 한계가 있어 이를 개선할 수 있는 기능성 물질과의 복합화가 필요하다[17,18]. 산화 그래핀(graphene oxide, GO)은 높은 비표면적과 다양한 산소 함유 작용기(–OH, –O–, –COOH 등)를 지닌 이차원 소재로, 우수한 수분산성과 π–π 상호작용, 정전기적 인력, 수소결합 등을 동시에 제공할 수 있다. 이러한 특성은 GO를 CMC와의 복합화가 용이하게 하여 구조적 보강 뿐만 아니라 양이온성 염료의 선택적 흡착을 효과적으로 유도할 수 있다[19,20].
CMC/GO 계열 복합체를 활용한 양이온성 염료 흡착 연구는 주로 비즈, 에어로겔 형태의 흡착제를 중심으로 보고되어 왔다. Zhu 등[21]은 단일 공정으로 합성한 CMC/GO 복합 에어로겔이 높은 비표면적과 다공성 구조를 바탕으로 최대 245 mg/g 수준의 MB 흡착용량과 반복 재사용 후에도 유지되는 높은 제거 효율을 나타낸다고 보고함으로써 CMC/GO 에어로겔의 우수한 선택적 염료 흡착 성능을 입증하였다. 최근 Kweon 등[22]은 에피클로로히드린(epichlorohydrin, ECH)으로 가교된 CMC/GO 에어로겔을 제조하고, GO 함량(1–5 wt%)과 입자 크기(1–500 nm)를 체계적으로 조절하여 구조, 흡착 특성 간 상관관계를 분석한 결과, 적정 GO 함량과 입자 크기에서 500 mg/g 이상의 MB 최대 흡착용량과 우수한 재사용성을 확보할 수 있음을 보고하였다. 이러한 선행 연구들은 CMC/GO 복합체가 구조 설계에 따라 염료 흡착 성능을 크게 향상시킬 수 있음을 보여주지만, 연속 공정 적용을 위한 안정한 비즈 형태 제어와 제조 공정 단순화 측면에서는 여전히 추가적인 연구가 요구된다.
이에 본 연구에서는 CMC수용액에 GO를 분산시켜 복합 하이드로겔을 형성한 후, 이를 염화 알루미늄(AlCl3) 용액에 적하하여 CMC/GO 복합 비즈를 제조하였다. 제조된 하이드로겔의 유변학적 특성 및 비즈의 형태학적·물리화학적 특성을 체계적으로 분석하였으며, MB를 표준 오염물질로 설정하여 농도 및 시간 변화에 따른 흡착 성능과 흡착 동역학을 평가하였다. 본 연구를 통해 CMC/GO 복합 비즈의 구조적·화학적 특성이 양이온성 염료 제거에 미치는 영향을 규명하고, 수처리용 지속가능한 흡착 소재로서의 적용 가능성을 제시하고자 한다.
2. 재료 및 방법
2.1 공시재료
CMC (average molecular weight ≈ 700,000 g/mol, degree of substitution 0.9), Aluminum chloride (AlCl3, 99%), NaOH (50%)는 Sigma-Aldrich (St. Louis, MO, USA)에서 구입하였다. 염산(HCl, 10%)은 Deoksan Pure Chemical (Ansan, Korea)에서 구입하였다. GO (particle size <10 nm)는 NGF Korea (Ansan, Korea)에서 제공받았으며, 양이온성 염료 흡착 실험에 사용된 MB (0.1%)는 Daejung Chemical & Metals (Siheung, Korea)에서 구입하였다.
2.2 실험방법
2.2.1 CMC/GO 복합 비즈 제조
Fig. 1은 CMC/GO 복합 비즈의 제조 과정을 모식적으로 나타낸 것이다. 2 wt% CMC 용액을 증류수에 용해시킨 후 완전히 용해될 때까지 교반하였다. 이후 전건 CMC 중량 대비 0, 10, 20, 30 wt%의 GO를 첨가한 후, 고속 전단 균질기(Ultra-Turrax T25 basic, IKA Labortechnik, Germany)를 24,000 rpm에서 5분 이상 균질화 하였다. CMC와 같은 점도가 높은 고분자 수용액에서의 고속 전단 균질화 공정은 단순 교반에 비해 GO의 박리와 재응집 억제를 효과적으로 유도하여, CMC 매트릭스 내 GO의 균일한 분산과 안정적인 CMC/GO 복합 하이드로겔 제조에 기여한다. 제조된 하이드로겔은 내경 0.34 mm의 바늘이 장착된 주사기 펌프(Legato® 100, kdScientific, Korea)를 사용하여 0.5 µL/min의 속도로 15 cm 높이에서 3 wt% AlCl3 용액에 적하하여 CMC및 GO의 카르복실기(–COO⁻) 및 GO의 산소 함유 작용기가 Al3+ 이온 간의 이온적 가교결합(ionic crosslinking)에 의해 비즈 형태로 고정화 되었다[23]. 비즈는 AlCl3 용액에 2시간 동안 반응시킨 후 증류수로 세척하였으며, 이후 -80°C에서 2시간 동안 예비 동결한 뒤 동결건조기(FDL-1000, Tokyo Rikakikai Co., Ltd., Tokyo, Japan)를 이용하여 -80°C, 5 Pa 조건에서 24시간 동안 동결 건조하였다. 최종적으로 제조된 비즈는 GO 함량에 따라 GO0, GO10, GO20, GO30으로 명명하였으며, 세부 조성은 Table 1에 제시하였다.
Table 1.
Fabrication conditions for CMC/GO composite beads
| Sample code | CMC (wt%) | GO content (wt% based on CMC) | AlCl3 soultion (%) |
| GO 0 | 2 | 0 | 3 |
| GO10 | 10 | ||
| GO20 | 20 | ||
| GO30 | 30 |
2.2.2 CMC/GO 복합 비즈 특성 분석
CMC/GO 복합 하이드로겔의 점탄성 특성은 직경 40 mm의 평행판이 장착된 응력 제어 레오미터(HR 20, TA Instruments, USA)를 사용하여 평가하였다. 시료 미끄럼 및 가장자리 효과를 최소화하고, 전단 영역 내에서 균일한 변형을 유도하여 점탄성 특성을 보다 정밀하게 평가하기 위해 평행판 간 간격은 10 µm로 설정하였다. 하이드로겔 시료는 기포 발생을 최소화하기 위해 조심스럽게 로딩하고, 판 직경에 맞게 다듬었다. 동적 진동 시험은 25°C에서 수행되었으며, 선형 점탄성 영역 내의 일정한 변형률 조건에서 0.1–100 rad/s의 주파수 범위에 걸쳐 저장 탄성률(G′)과 손실 탄성률(G″)을 측정했다. 비즈의 작용기 분석은 ATR-FTIR 분광기(Nicolet iS50, Thermo Fisher Scientific, USA)를 이용하여 수행하였고, 4,000–600 cm-1의 파수 범위에서 해상도 4 cm-1 조건으로 진행하였다. 각 시료는 32회 스캔을 10회 반복하여 스펙트럼을 획득하였다. 비즈의 미세구조는 가속 전압 5 kV에서 전자현미경(FE-SEM, JSM-7401F, JEOL Ltd., Japan)을 사용하여 분석하였으며, 촬영 전 샘플 표면에 30초 간 백금 스퍼터 코팅을 실시하였다. 또한, 표면 원소 분석은 EDX (energy-dispersive X-ray spectroscopy)를 이용하여 6 kV조사 조건에서 수행하였다. 열적 안정성은 열중량분석기(TGA 8000, PerkinElmer, USA)를 이용해 약 1 g의 시료를 20 mL/min의 질소 유량 하에서 40–700°C까지 가열하여 평가하였다. TGA 측정으로부터 얻은 질량 변화 데이터를 미분하여 차등 열중량 곡선(DTG)을 생성하였으며, 평활화(smoothing)는 R 소프트웨어(R Core Team)의 내장 알고리즘을 이용해 수행하였다.
2.2.3 염료 흡착 실험
제조된 CMC/GO 복합 비드의 흡착 성능은 다양한 초기 농도로 설정된 MB 수용액을 이용하여 평가하였다. 각 비즈 시료는 0.01 g으로 정량하여 이를 25 mL의 MB 용액에 침지하였으며, 용액의 pH는 0.1 M HCl 및 NaOH 용액을 사용하여 pH 6으로 조정하였다. 흡착 실험은 25°C, 150 rpm조건의 진탕 배양기에서 수행되었다. 반응 후 용액 내 잔류 MB 농도는 UV-Vis 분광 광도계(GENESYS™ 150 UV-Vis, Thermo Fisher Scientific, Waltham, MA, USA)를 사용하여 661 nm [24]에서 측정하였다. MB의 농도 변화는 흡착 전후의 흡광도 값으로 계산하였다. 제거 효율(R%) 및 평형 흡착 용량(qe)은 Eqs. (1)과 (2)를 사용하여 산출하였다[25].
여기서, 은 초기 염료 농도(mg/L), 는 평형 상태의 염료 농도(mg/L), 는 염료 용액의 부피(L), 은 흡착제의 질량(g)을 의미한다. 은 MB의 제거 효율(%)을 나타내며, 는 평형 시 흡착제의 단위 질량당 흡착 용량(mg/g)을 나타낸다.
2.2.4 흡착 등온선 및 동역학 분석
CMC/GO 복합 비즈의 흡착 특성은 5–100 ppm로 조절된 MB 용액을 사용하여 평가하였다. 흡착 실험은 0.01 g의 비즈를 25 mL의 염료 용액에 첨가한 뒤, 0.1 M HCl 및 NaOH 용액을 이용하여 pH를 6으로 조정하여 수행하였으며, 혼합물은 25°C에서 150 rpm조건으로 4시간 동안 교반하였다. 반응 종료 후 잔류 염료 농도를 측정하여 제거 효율(R%)을 계산했다. 흡착 메커니즘을 규명하기 위해 Langmuir 및 Freundlich 등온선 모델을 적용함으로써 CMC/GO 복합 비즈 표면에서 발생하는 MB의 단층 및 다층 흡착 거동에 대한 과학적 근거를 제시하고자 하였다[26]. 균질한 표면에서 단층 흡착을 가정하는 Langmuir 모델은 Eq. (3)과 같이 표현된다[26].
여기서, (mg/L)는 MB의 평형 농도, (mg/g)는 평형 흡착 용량, (mg/g)은 최대 단층 흡착 용량, (L/mg)은 Langmuir 상수를 의미한다. 대 의 선형 플롯으로부터 기울기와 절편을 이용해 산출하였다. 한편, 표면의 이질성과 흡착 친화도 분포를 고려하는 Freundlich 모델은 Eq. (4)와 같이 표현된다[26].
여기서, (mg/g)는 흡착 친화성을 나타내는 Freundlich 상수이며, 은 표면의 이질성을 반영하는 지수이다. 두 매개변수는 대 의 선형 플롯에서 기울기와 절편을 통해 산출하였다. 또한 각 모델의 상관계수(R2)를 비교하여 등온식의 적합도를 평가하였다.
CMC/GO 복합 비즈에 대한 MB의 흡착 속도 및 메커니즘을 규명하기 위해 흡착 동역학 실험을 수행하였다. 동역학 평가는 0.02 g의 비즈를 50 ppm MB 용액 50 mL에 첨가한 후, 1–240분 범위에서 반응시간을 조절하여 진행하였다. 얻어진 흡착 데이터를 유사 1차(pseudo-first-order, PFO) 모델과 유사 2차(pseudo-second-order, PSO) 모델에 적용하여 분석하였다.
PFO 모델은 흡착 속도가 잔여 흡착 부위의 수에 비례한다는 가정에 기반하며, 이에 따른 흡착 거동은 Eq. (5)와 같이 표현된다[27].
PSO 모델은 흡착 속도가 잔여 흡착 부위의 제곱에 비례한다고 가정하며, 이에 따른 흡착 거동은 Eq. (6)과 같이 표현된다[27].
여기서, (mg/g)는 시간 t에서의 흡착 용량, (mg/g)는 평형 흡착 용량, (min)는 접촉 시간, 및 (min-1)는 각각 PFO 및 PSO 모델의 속도 상수를 의미한다.
동역학 매개변수는 PFO 모델의 경우 대 , PSO 모델의 경우 대 의 선형 플롯으로부터 기울기 및 절편을 이용해 산출하였다. 또한 각 모델의 상관계수(R2)를 비교하여 CMC/GO 복합 비즈의 MB 흡착 거동을 평가하였다.
3. 결과 및 고찰
3.1 CMC/GO 복합체의 유변학적 특성
GO 함량 변화 따른 CMC/GO 복합 하이드로겔의 유변학적 특성을 평가한 결과, 전단 점도, 저장 탄성률(G′), 손실 탄성률(G″) 그리고 tan δ 값이 GO 농도에 따라 변화하였다. Fig. 2a에 나타난 바와 같이 GO 함량이 증가할수록 저전단 영역에서의 점도는 감소하였으며, 모든 시료에서 전단 속도 증가에 따라 점도가 감소하는 전단 희석(shear-thinning) 거동을 보였다. 이러한 현상은 GO가 갖는 음전하에 의해 하이드로겔 내부의 정전기적 반발력이 증가하여 CMC 네트워크가 부분적으로 이완(relaxation)되면서 흐름 저항이 감소한 결과로 해석된다[28,29]. Fig. 2b의 G′와 G″는 각각 GO투입량에 따른 하이드로겔의 탄성 및 점성 거동을 나타낸다. 모든 조건에서 전단력 증가에 따라 G′과 G″가 함께 증가하는 전형적인 점탄성 네트워크의 특성이 관찰되었으며, 전 주파수 영역에서 G′이 G″보다 우세하게 나타나 고체 특성이 우세함을 확인할 수 있었다[30]. 또한 Fig. 2c에 제시된 tan δ 값(G″/G′)은 복합체의 점성–탄성 비율을 정량적으로 나타내며, tan δ < 1은 탄성 우세, tan δ > 1은 점성이 우세한 거동을 의미한다. 전 주파수 영역에서 가장 낮은 tan δ 값을 나타낸 GO20 조건은 가장 안정적이고 치밀한 네트워크 구조를 형성한 것으로 판단된다. 반면 GO30 시료는 GO 함량 증가로 인해 GO 시트 간 응집 및 과도한 부하가 발생하여 tan δ값이 상대적으로 증가하였고, 이는 복합체의 점성이 상대적으로 지배적인 특성을 나타냄을 의미한다. 따라서 GO의 적절한 도입은 CMC 네트워크의 구조적 무결성과 점탄성 균형을 향상시키지만, GO가 CMC 대비 20% 이상 첨가될 경우 네트워크 연속성을 저해 시키는 것으로 사료된다.
3.2 CMC/GO 복합 비즈의 화학적 특성 분석
ATR-FTIR 분석 결과를 Fig. 3에 나타냈다. CMC의 특성 피크는 3,500–3,300 cm-1 영역의 O–H 신축 진동, 2,900 cm-1의 C–H 신축 진동[5,22], 1,600 cm-1의 –COO⁻ 대칭 신축 진동, 1,420 cm-1의 O–H 굽힘 진동, 1,320 cm-1의 C–H 굽힘 진동, 그리고 약 1,055 cm-1의 C–O 신축 진동으로 확인되었으며, 이는 셀룰로오스 골격의 C–O–C 및 C–O 결합에 기인한 일반적인 셀룰로오스 계열 고분자의 진동 특성과 일치한다[5,22,31]. GO가 도입된 복합 비즈에서는 셀룰로오스 및 CMC의 기본 피크는 유지하면서 GO 투입에 따른 피크 강도 및 형태 변화가 관찰되었다. 1,720 cm-1 피크는 GO의 –COOH 및 C=O 결합에 기인한 것이며, 1,227 cm-1 근처의 피크는 카르복실산 유래 C–O 진동에 해당하므로 CMC 고분자 네트워크에 GO의 도입이 효과적임을 명확히 나타낸다[22,32,33,34]. 한편, GO 도입 시 O–H 신축 밴드의 피크 면적이 증가하는 경향이 관찰되었는데, 이는 GO가 하이드로겔 매트릭스 내에서 균일하게 분산되며 CMC 사슬과 수소결합 또는 정전기적 상호작용을 형성한 결과로 해석된다. 이러한 상호작용은 복합체 내 결함 형성을 억제하고 구조적 안정성을 향상시키는 것으로 판단된다[5,22,34]. 따라서 ATR-FTIR 분석을 통해 CMC와 GO 간의 상호작용이 존재하고 GO 도입이 비즈의 구조 및 화학적 특성에 영향하는 것을 확인하였다.
3.3 CMC/GO 복합 비즈의 물리적 특성 분석
CMC/GO 복합 비즈의 동결 건조 전후 형상은 Fig. 4에 제시하였다. Fig. 4a와 b에 나타나듯이 제조된 비즈는 펌프를 이용한 하이드로겔 적하 공정에서 중력과 용액의 표면장력 간 상호작용에 의해 타원형 형태로 제조되었다[35]. 동결 건조 전 직경은 비즈의 가장 긴 축(major axis)으로 측정 하였을 때 약 3–4 mm였으나 수분 증발에 따라 건조 후 직경이 2–3 mm 수준으로 감소하였다. 이는 하이드로겔 내부의 자유수 및 결합수가 제거되면서 네트워크가 수축하는 일반적인 동결건조 거동으로 볼 수 있다. GO 함량이 증가함에 따라 비즈의 크기는 점차 감소하는 경향을 보였는데, 이는 GO 도입으로 하이드로겔의 점탄성 특성과 네트워크가 치밀해짐에 따라 적하 과정 중 액적 분리가 빠르게 일어나기 때문에 나타난 결과로 판단된다[35]. 또한 Fig. 4c와 d에 나타난 바와 같이 건조된 비즈의 표면에는 미세한 주름이 관찰되었으며, 이는 동결 과정에서 형성된 얼음 결정이 승화되며 남긴 미세 구조적 흔적으로 해석된다.
Fig. 5는 CMC/GO 복합 비즈의 SEM 이미지와 이에 대응하는 EDX 원소 맵핑 결과를 나타낸 것이다. 두 시료 모두에서 C와 O가 주요 구성 원소로 확인되었으며, Al 원소가 검출되어 AlCl3 가교 과정에서 Al3+ 이온이 CMC/GO 비즈 구조 내로 성공적으로 도입되었음을 확인할 수 있었다. 또한 EDX 원소 맵핑에서 나타난 Al 신호는 관찰 영역 전반에 걸쳐 비교적 균일하게 분포하는 양상을 보였는데, 이는 Al3+가 비즈 표면 근방에서 CMC의 카르복실레이트기와 효과적으로 가교 결합하여 고르게 분포하고 있음을 시사한다.
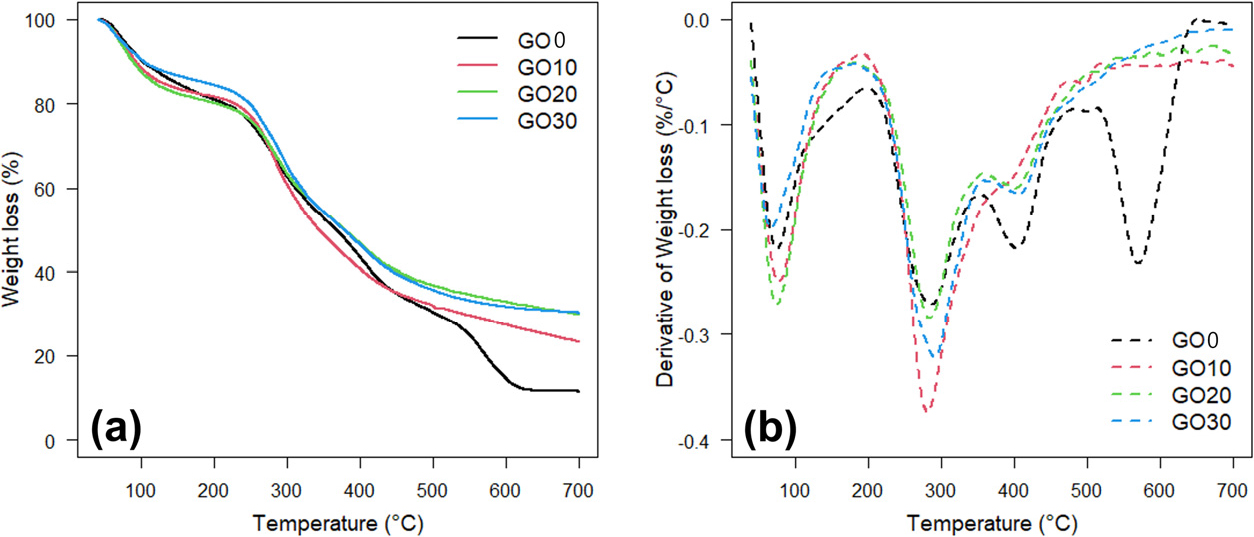
Fig. 6a는 CMC/GO 복합 비즈의 열안정성 분석 결과이다. 모든 시료는 700°C까지 네 구간의 중량 감소 단계를 나타냈다. 첫 번째 단계(~100°C)는 시료 내 자유수 및 잔류 수분의 증발에 기인한다[36,37]. 두 번째 단계(약 150–250°C)는 GO 표면에 존재하는 불안정한 산소 함유 작용기(–OH, –COOH, epoxy 등)의 열적 탈리 및 분해에 의해 발생하는 질량 감소로 해석된다[36,37,38]. 세 번째 단계(약 350°C 부근)는 CMC 매트릭스의 주요 열분해 영역으로, 탈수 반응 및 고분자 사슬 절단에 의해 급격한 중량 감소가 나타나며, 이에 대응하는 DTG 최대 피크가 Fig. 6b에서 확인된다[36,39]. 마지막 단계(~700°C)에서는 탄소질 구조가 서서히 열분해 되며 완만한 중량 감소가 진행된다. Table 2에서 확인되듯 잔류 중량은 GO 함량 증가에 따라 상승하였고, GO0, GO10, GO20, GO30 시료는 각각 11.5%, 23.2%, 29.8%, 30.2%의 잔류량을 나타냈다. 이는 GO가 열적으로 안정한 탄소 기반 구조를 제공하며, 열분해 과정에서 생성되는 탄소질 잔사(char)가 GO와 상호작용하여 보다 안정한 탄화층을 형성하기 때문으로 판단된다[36,37]. 하지만 GO20과 GO30의 잔류량은 각각 29.8%와 30.2%로 GO 투입량에 선형적으로 비례하지 않았다. 이러한 비선형 거동은 GO가 과량 첨가될 경우 시트 간 재적층(restacking)과 응집이 촉진되어, 개별 GO 시트가 제공하는 열차단 효과와 탄소질 잔사(char)의 구조적 보강 효과가 더 이상 효과적으로 발현되지 않기 때문으로 해석된다. 즉, 일정 함량 이상에서는 GO의 분산성이 저하되어 열분해 과정에서 형성되는 탄화층의 연속성과 치밀도가 추가적으로 향상되지 않으며, 이에 따라 열적 차단 및 탄화층 안정화 효과가 포화 거동을 보이는 것으로 판단된다[36,37,38].
Table 2.
Thermogravimetric properties for CMC/GO beads
Fig. 6b의 DTG 곡선에서도 GO 첨가 효과를 명확히 확인할 수 있다. GO0 시료는 약 250°C와 450°C 부근에서 CMC 사슬의 분해 및 잔류 유기물·탄소 구조의 분해에 해당하는 두 개의 주요 피크를 나타냈다. 반면 GO 함량이 증가할수록 주요 분해 온도(Tmax)는 더 높은 온도 영역으로 점진적으로 이동하였으며, 피크 강도 또한 감소하였다. 이는 GO가 CMC 매트릭스 내에서 분해 반응을 지연시키고, 분해 속도를 완화시키는 역할을 수행하고 있음을 의미한다. 이러한 안정화 효과는 GO의 산소함유 작용기와 CMC 사슬 간 수소결합, Al3+ 이온에 의한 이온적 가교결합, 그리고 GO의 2D 구조에 의해 형성된 물리적 네트워크 등이 복합적으로 작용하여 보다 안정한 구조를 부여하기 때문으로 해석된다[37,40]. 종합하면, GO의 도입은 CMC/GO 복합 비즈의 열분해 거동을 지연시키고 잔류 탄화물 생성을 증가시키며, 전반적인 열적 안정성을 크게 향상시키는 것으로 나타났다.
3.4 MB 흡착 특성 분석
Fig. 7은 CMC/GO 복합 비즈의 MB 제거 효율을 나타낸 것이다. Fig. 7a에 나타난 바와 같이 서로 다른 GO20 비즈가 가장 높은 제거 효율을 나타냈다. 반면 GO0 시료는 CMC의 –COO⁻에 의한 제한적인 정전기적 인력만 존재하며, GO가 제공하는 π–π 상호작용, 강한 정전기적 인력, 수소결합 네트워크가 부재하여 가장 낮은 제거 성능을 나타냈다[41,42,43]. 한편 GO30 시료에서는 GO가 과량 투입되면서 GO 간 적층 및 응집이 발생하여 유효 비표면적이 감소하고 접근 가능한 활성 부위가 제한되어 GO20 대비 흡착 효율이 감소한 것으로 판단된다[21,42,44]. MB 농도 변화에 따른 제거 효율(Fig. 7a)을 살펴보면, 저농도에서는 모든 시료가 상대적으로 높은 제거율을 보였으나 농도가 증가함에 따라 제거율이 감소하는 경향을 나타냈다. 이는 MB 농도가 높아질수록 용액 중 이온 부하가 증가하고, 단위 질량의 흡착제가 제공하는 활성 부위가 빠르게 포화되어 상대적으로 낮은 비율의 제거율이 나타나는 전형적인 흡착 특성으로 사료된다[42,45,46]. 이러한 농도 의존성은 다당류 기반 흡착제뿐 아니라 다양한 유·무기 하이브리드 흡착 시스템에서도 보고된 바 있다[45,46].
시간에 따른 MB 제거율 변화를 나타내는 Fig. 7b에서 특히 GO20 시료는 초기 60분 동안 빠르게 제거율이 증가한 후, 점차 증가 속도가 완만해지며 평형 상태에 도달하는 전형적인 흡착 동역학 거동을 보였다. 이는 초기 단계에서 표면 및 기공 내 많은 활성 부위가 MB에 의해 빠르게 점유되며 급속 흡착이 진행되고, 이후 활성 부위가 감소함에 따라 흡착 속도가 제한되는 일반적인 평형 접근 과정으로 해석된다[41,42,43,47]. 약 180–240 분 이후에는 MB 제거율의 유의미한 증가가 관찰되지 않았으며, 이에 따라 본 실험에서 설정한 4시간의 반응 시간은 해당 조건에서 흡착 평형을 충분히 반영하는 것으로 판단된다. 이러한 ‘초기 급속 흡착–후기 완만 흡착’ 거동은 GO 기반 MB 흡착 시스템에서 지속적으로 보고되는 특징과도 일치한다[41,42,43,47].
MB 흡착 후 CMC/GO 복합 비즈의 ATR-FTIR 스펙트럼(Comp-MB)을 Fig. 3에 제시하였다. MB 흡착 이후 3,500–3,300 cm-1 영역의 O–H 신축 진동 밴드는 소폭 저파수 방향으로 이동하며 피크 강도가 감소하는 경향을 나타냈다. 이러한 변화는 CMC와 GO의 수산기 및 산소함유 작용기가 MB와 상호작용하면서 수소결합 환경이 변화한 결과로 해석된다. 또한 피크 강도의 감소와 밴드의 확장은 π–π 상호작용, 정전기적 인력, 수소결합 등의 상호작용이 MB 분자와 CMC/GO 복합체 간에 생성되었음을 시사한다. 이는 복합 비즈가 MB를 효과적으로 흡착할 수 있는 활성 부위를 제공하며, 흡착 과정에서 관능기 환경이 재조정됨을 의미한다.
3.5 MB 흡착 등온선 분석
MB와 CMC/GO 복합 비즈의 흡착 거동을 Langmuir 및 Freundlich 등온식으로 분석한 결과는 Fig. 8에 제시하였다. 각 모델에 대한 상관계수(R2)를 비교한 결과, 모든 시료(GO0, GO10, GO20, GO30)에서 Freundlich 모델이 Langmuir 모델보다 높은 적합도를 보여, CMC/GO 복합 비즈 표면이 이질적인 활성 부위를 갖고 있으며, 단층 흡착과 더불어 부분적인 다층 흡착이 동시에 일어나는 비균질 표면 특성을 반영하는 것으로 판단된다[48]. Table 3에 나타난 바와 같이 Freundlich 모델로부터 얻은 n 값은 1.12–2.29 범위로 모두 1보다 큰 값을 나타냈으며, 이는 MB 흡착이 전반적으로 유리한 조건에서 진행됨을 의미한다[49,50,51]. 특히 GO20 시료의 KF 값은 18.02로, GO0 (1.12), GO10 (1.39), GO30 (1.39)과 비교하여 가장 큰 값을 나타내어, GO20 복합 비즈가 MB에 대해 가장 우수한 친화성과 흡착 능력을 보유하고 있음을 의미한다[52]. 또한 GO20 시료는 Langmuir 등온식에서도 R2 = 0.9634로 상대적으로 높은 값을 나타냈으며, 이는 GO20이 Freundlich 모델뿐 아니라 Langmuir 모델에도 잘 부합함을 의미한다. 이러한 결과는 GO20의 표면에 비교적 균질한 흡착 자리가 존재하며, 단일층 흡착 거동이 일정 부분 지배적이지만 동시에 이질성 기반 다층 흡착도 병행되어 나타나는 복합적 표면 특성을 반영함을 시사한다[53,54]. 이러한 성능은 GO20 조성에서 GO가 CMC 매트릭스 내에 과도한 적층 없이 균일하게 분산되어 –COO⁻/–OH 작용기 및 GO의 π-면이 효과적으로 노출되고, Al3+ 기반 이온적 가교에 의해 3차원 네트워크 구조가 안정화되어 나타난 결과로 해석된다[55,56]. 즉, GO20 시료는 화학적 활성점(–COO⁻, –OH, π-면)의 밀도와 다양성, 그리고 물리적 확산 경로가 MB 흡착 거동에 있어 최적의 균형을 이루는 조성으로 판단된다. GO30 시료는 GO의 과도한 첨가로 인해 시트 간 재적층과 응집이 일어나 활성 부위가 일부 차폐되며, MB 분자가 접근할 수 있는 표면 영역이 감소하여 Langmuir 모델 적합도가 낮아진 것으로 판단된다[41,43,57].
Table 3.
Characteristic parameters of the isotherm equations
3.6 MB 흡착 동역학 분석
합성 염료 및 중금속 이온과 같은 오염물질의 흡착 동역학 연구는 평형 도달 시간, 흡착 속도, 흡착질 농도 의존성 등의 정보를 제공함으로써 흡착제의 성능 평가 및 공정 설계의 핵심 인자로 간주된다[58,59]. 본 연구에서는 Fig. 9 및 Table 4에 나타난 바와 같이 PFO 및 PSO 모델을 적용하여 CMC/GO 복합 비즈의 MB 흡착 동역학을 분석하였다. 분석 결과, 네 시료 모두에서 PSO 모델의 상관계수(R2)가 PFO 모델보다 일관되게 높게 나타나, MB 흡착 거동이 PFO보다 PSO 모델에 의해 더 적절히 설명됨을 확인할 수 있었다[59,60]. 또한 GO가 도입된 시료(GO10, GO20, GO30)의 경우 PSO 모델을 통해 계산된 평형 흡착량(qe)이 실험적으로 얻어진 qe-exp와 잘 일치한 반면, PFO 모델에서는 두 값 간의 차이가 상대적으로 크게 나타났다. 이는 PSO 모델이 전자 공유 또는 전자교환을 포함하는 화학적 흡착 기전을 가정한다는 점을 고려할 때, MB 흡착 과정에 화학적 상호작용이 중요한 역할을 한다는 점을 알 수 있다[59,60,61]. 특히 GO가 포함된 CMC/GO 비즈에서는 GO의 방향족 구조에 기인한 π–π 상호작용, 표면 산소함유 작용기에 의한 정전기적 인력, 그리고 CMC의 음이온성 작용기와의 결합이 MB 흡착에 주요하게 기여하는 인자로 작용한다. 이러한 결과는 MB 및 유사 양이온 염료 시스템에서 보고된 선행 연구 결과와도 일치하는 바[61,62], PSO 모델의 높은 적합도와 qe-exp및 qe간의 일치성은 CMC/GO 복합 비즈에서 MB 흡착이 주로 화학적 흡착 메커니즘에 의해 지배되고 있음을 뒷받침한다.
Table 4.
Characteristic parameters of the kinetic equations
4. 결 론
본 연구에서는 CMC와 GO를 이용하여 수용액의 MB 제어를 위한 복합 비즈를 제조하고, 이들의 구조적·물리화학적 특성 및 흡착 성능을 체계적으로 평가하였다. 양이온으로 구성된 수용액에 CMC와 GO 구성된 용액을 적하하여 후처리나 복잡한 화학적 가교 과정 없이 구조적으로 안정적인 비즈를 제조하였다. 이렇게 제조된 CMC/GO 복합 비즈는 GO 함량 증가에 따라 CMC/GO 복합체의 열적 안정성이 향상되었으며, GO의 음전하로 인한 정전기적 반발력 증가로 하이드로겔의 점도는 감소하였으나 점탄성 네트워크 구조를 유지하였다. 특히 GO20 시료는 가장 낮은 tan δ 값을 나타내어 가장 균일한 GO 분산과 우수한 구조적 안정성을 보였으며, MB 제거 효율 역시 가장 높았다. 흡착 등온선 분석 결과, 모든 시료에서 Freundlich 모델(R2 > 0.95)이 Langmuir 모델보다 더 우수한 적합도를 보여, 복합 비즈 표면이 이질적 활성 부위를 갖고 부분적 다층 흡착이 개입됨을 확인하였다. 또한 흡착 동역학 분석에서는 PSO 모델이 높은 적합도(R2 > 0.94)와 실험값과의 양호한 일치성을 나타내어, MB 흡착이 화학적 상호작용에 의해 주로 진행됨을 시사하였다. CMC 고분자 매트릭스에 GO의 투입량과 분산 상태를 적절히 조절하면 비즈의 구조적 안정성, π–π 및 정전기적 상호작용을 향상시킴으로써 수용액의 MB 흡착 제거 효율을 효과적으로 개선시킬 수 있음을 확인하였다. 이러한 결과들은 CMC/GO 복합 비즈가 수처리 공정에 적용 가능한 흡착 소재로 활용될 수 있는 가능성을 보여주는 결과로 판단된다.











