1. 서 론
인쇄용지에 더 많은 양의 탄산칼슘을 넣기 위해 제지산업에서는 많은 노력을 기울여 왔다. 인쇄용지에 사용되는 탄산칼슘 중에서 중탄(GCC, grounded calcium carbonate)은 가격이 화학펄프가격에 비해 현저히 낮으며, 백색도를 높이고, 불투명도의 향상에 기여함으로써 현재 많은 제지공장에서 사용하고 있다.1-3) 최근에는 제지산업에 사용되는 에너지 가격 자체도 중요하지만 탄소배출량에 대한 규제가 점점 더 가속화되어서 탄소배출량을 억제하는 면에서도 에너지 사용량의 감소가 절실한 형편이다. 이러한 문제들을 해결할 수 있는 한 가지 방법이 목재펄프 대신에 탄산칼슘을 더 많이 사용하는 고충전 인쇄용지의 개발이 될 수 있다.
본 연구에서는 Seo 등4)이 개발한 하이브리드 탄산칼슘 (hybrid calcium carbonate. HCC)를 적용하여 고충전지에 적합한 탄산칼슘을 만들고자 하였다. 즉, 탄산칼슘의 선응집(pre-flocculation)의 원리를 이용하고, in-situ 합성방식을 접목하여 탄산칼슘을 추가적으로 붙이는 hybrid calcium carbonate (HCC)를 제조하였다. 선응집의 경우 와류의 세기와 와류가 적용되는 시간에 따라 그 크기가 변할 수 있으며, 장시간 보관해야 하는 경우 크기의 안정성에 문제가 생길 수 있다.5-8) 더 나아가 GCC를 이용하여 선응집으로 만들어지는 종이의 밀도가 높아짐으로 stiffness가 낮아지는 경향이 있다. HCC는 그 제조방법에 있어서, GCC와 칼슘화합물의 혼합물에 이온성 폴리머를 이용하여 선응집체를 만든 다음, 다시 이산화탄소를 불어넣음으로써 GCC 사이에 탄산칼슘을 합성시켜, 이들이 GCC 간에 약간의 결합을 형성함으로 GCC만을 이용하여 제조한 선응집체보다 단단하고 안정된 응집체를 만든다는 것이다.9) Jung 등9)은 HCC의 사용으로 샘플종이의 인장강도가 높아지며, 벌크와 휨강성이 높아지는 현상을 발표한 바 있다. 또한 post hybrid calcium carbonate (pHCC)도 개발하였는데, 이는 먼저 GCC를 폴리머로 선응집시킨 후에 산화칼슘과 같은 칼슘화합물을 넣고, 이산화탄소를 불어넣어 응집체를 제조한 경우이다.10)
본 연구에서는 기존의 연구에서 HCC와 pHCC에 GCC만을 넣어 제조하였다면 경탄(precipitated calcium carbonate. PCC)을 GCC 대신에 사용하는 경우에 발생하는 변화를 알아보고자 하였다. PCC는 단독으로 사용하였을 때에는 GCC에 비해 벌크와 평활도를 높이지만 인장강도를 크게 낮추는 특성으로 알려져 있다. 하지만 HCC에 적용되는 경우 종이의 물리적 특성의 변화가 다양하게 형성될 것으로 기대하였다. 다양해진 종이의 물리적 특성은 다양한 특성의 종이제조에 사용될 수 있는 가능성을 제시하고 있다. 또한 선응집 충전제나 HCC 등은 최소의 와류 하에서 보관시간이 지남에 따라 그 형태가 변화하는 것으로 알려졌다. 이러한 형태의 변화가 종이의 특성에 미치는 역할을 알아보고자 하였다.9)
2. 재료 및 방법
2.1 재료
탄산칼슘 공급회사인 Omya Korea Inc.로부터 직경 2.0~2.8 μm인 인쇄용지용 GCC를 분양받아 사용하였으며 공급자로부터 평균직경 2.0 μm로 통보받았다. PCC는 Hankuk Paper Manufacturing Co. Ltd.에서 분양받아 사용하였으며, 평균 직경이 2.0 μm인 것으로 알려왔다. 산화칼슘은 Korea Showa Chemicals Co.에서 구입하여 사용하였다. 수초지 제조 시 보류제로는 양이온성 PAM(분자량 500-700만, 전하밀도 +5 meq./g, CIBA Chemical)을 지료 전건중량에 대해 0.1% 사용하였다. 또 선응집을 위해서는 두 가지의 고분자를 사용하였는데 그중에서 상기 언급한 보류향상제의 동일한 양이온성 PAM과 음이온성 고분자로는 음이온성 PAM (-3.0~-5.0 meq/g, 분자량 50만. Hercules, USA)을 사용하였다.
2.2 HCC 제조
HCC의 제조를 위해서 GCC와 산화칼슘, 그리고 PCC와 산화칼슘 혼합물로 선응집체를 만들었다. GCC로 HCC를 제조하기 위해 GCC 50.0 g과 산화칼슘 28.1 g을 혼합하여 78.1 g을 1리터의 물에 넣어 반응기에 투입하였다. 이후 고형분 대비 0.04%의 음이온성 PAM (Perform SP7200. -3.0~-5.0 meq/g, 분자량 50만, Hercules, USA)를 첨가하고 반응기에 장착된 교반기를 이용하여 2000 rpm으로 약 1분간 교반하였고, 다시 탄산칼슘 함량 대비 0.03%의 양이온성 PAM을 첨가하고 2000 rpm으로 약 1분간 교반한 다음 이를 선응집체로 이용하였다. 선응집체가 형성된 후에 이산화탄소를 첨가하여 350 rpm으로 교반하는 가운데 혼합물의 pH가 안정적으로 7.0 이르도록 처리하였다. 이때 GCC 사이에 산화칼슘의 반응에 의해 탄산칼슘이 50 g 형성되는데, 이들은 GCC에 의해 생성된 HCC50-G로 명명하였다.
PCC로 HCC를 제조하기 위해서는 PCC 50 g에 산화칼슘 28.1 g을 혼합하였고, 상기와 같이 이 두 가지 성분의 선응집을 실시하였으며, 이어서 이산화탄소를 첨가하여 반응을 진행하였다. 이때에 산화칼슘에 의해 생성된 탄산칼슘이 50 g이었고, 이와 같이 PCC에 의해 생성된 충전제를 HCC50-P로 명명하였다.
2.3 pHCC 제조
Post HCC (pHCC)는 HCC 공정과 동일하지만 선응집체를 GCC와 PCC에만 실시하였으며 GCC와 PCC의 각각의 선응집체가 만들어진 이후에 HCC의 제조공정과 같은 양의 산화칼슘을 첨가하고, 이산화탄소를 주입하였다. 이 경우 새로 형성되는 탄산칼슘이 주로 GCC와 PCC 선응집체의 바깥쪽에 형성될 것으로 예상되었으며, 각각 pHCC50-G, pHCC30-G, pHCC50-P와 pHCC30-P로 명명되었다.
2.4 선응집체의 제조
HCC와 pHCC의 특성을 비교하기 위해 GCC와 PCC를 사용하여 수초지를 제조하였으며, 또한 이들의 선응집체를 제조하여 수초지 제조에 사용하였다. 충전물에 선응집 기술을 적용하기 위해 GCC와 PCC를 각각 농도 10%로 하여 반응기에 투입하여 선응집을 시켰다. 탄산칼슘 투입 후 탄산칼슘 함량 대비 0.04%의 음이온성고분자(Perform SP7200. -3.0~-5.0 meq/g, 분자량 50만, Hercules,USA)를 첨가하고 반응기에 장착된 교반기를 이용하여 2000 rpm으로 약 1분간 교반하였고, 다시 탄산칼슘 함량 대비 0.03%의 상기 양이온성 PAM을 첨가하고 2000 rpm으로 약 1분간 교반한 다음 이를 선응집 충전제로 이용하였다.
2.5 탄산칼슘의 입도 측정 및 초지 특성 분석
이들의 직경은 FlowCAM® dynamic imaging particle analyzer (Benchtop B3 Series, Fluid Imaging Technologies, USA)를 사용하여 측정하였으며 volume moment mean (D[4,3])을 측정하여 비교하였다.11) 만일 HCC와 pHCC가 일정기간 저장 후에도 같은 물성을 보이게 되는 경우, 이들을 제조한 후에 따로 저장하였다가 필요한 때에 꺼내 쓰더라도 문제가 없을 것으로 판단되었으며 이러한 경우를 예상하여 충전제의 침강을 방지하는 수준에서 100 rpm으로 교반하며 48시간 유지하였고, 24시간과 48시간 이후의 특성을 수초지를 제조하여 평가하였다. 수초지는 60 g/m2의 평량으로 제작하였고, 회분함량은 30%가 되도록 조절하였다. 펄프는 침엽수 표백 크라프트 펄프(수종: Hemlock, Douglas fir, Cedar 혼합. Canada) 20%와 활엽수 표백 크라프트 펄프(수종: Aspen, Poplar 혼합. Canada) 80%를 혼합하여 여수도 500 mL CSF에 이르도록 밸리비터로 고해하여 사용하였다. 제작된 수초지의 밀도와 벌크(TAPPI T410 om-98, T411 om-97), 열단장(TAPPI T494 om-96), 휨강성(TAPPI T566 om-97), 평활도(TAPPI T479 cm-99), 백색도(TAPPI T452 om-98), 회분(TAPPI T413 om-93)은 표준방법에 의해 측정하였다.
3. 결과 및 고찰
3.1 충전제의 형태
Fig. 1은 본 연구에 사용된 평균직경이 약 2 μm인 GCC와 PCC의 모습을 보이고 있다. 또한 Fig. 2는 GCC를 이용한 HCC와 pHCC의 모습을 보이고 있다. pHCC50-G의 경우는 HCC50-G에 비해 표면에 GCC의 형태가 보이지 않는 것을 볼 수 있는데, 그것은 새로 생성된 PCC 들이 주로 표면에 존재하기 때문으로 판단된다. 하지만 pHCC30-G는 HCC50-G와 구별이 어려울 정도로 유사한 것을 볼 수 있었다.

Fig. 1.
SEM images of GCC and PCC (The average size of both fillers were told as 2.0 μm by the suppliers).

Fig. 2.
Morphologies of HCC and pHCC. Suffixes of 30 and 50 means the amount of the newly formed PCCs attached to the pre-flocculated GCC. ‘-G’ means GCC.
Fig. 3에서는 충전제들의 크기를 비교하고 있다. GCC 보다는 PCC로 제조한 HCC와 pHCC의 크기가 더 큰 것을 볼 수 있다. 특히 선응집(pre-floc)의 경우 시간이 지남에 따라 그 크기가 빠르게 작아지며, HCC의 경우도 pHCC보다 크기 %로 비교해 보면 더 빠르게 저하되는 것을 보이고 있었다. GCC 와 PCC 를 비교하는 경우, GCC가 시간이 지남에 따라 더 빠르게 작아지는 것을 볼 수 있었다. 이는 GCC 의 경우 Fig. 1에서 보는 바와 같이 매우 작은 크기의 탄산칼슘이 많이 분포하기 때문에 이들이 저장 중에 침전되지 않도록 가해진 와류에 의해 더 쉽게 플록에서 떨어져나가기 때문인 것으로 짐작된다. pHCC들의 경우는 GCC나 PCC 모두 48시간의 보관 중에 크기의 변화가 매우 작은 것으로 나타났다. 즉 보관 중의 와류 속에서도 pHCC의 크기의 안정성이 더 큰 것으로 판단되었다.
3.2 물리적 특성
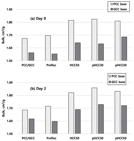
GCC와 PCC는 그 자체의 평균 크기가 유사할지라도 종이에서 나타나는 결과는 매우 다르다. Fig. 4는 평균 크기가 유사한 두 가지 충전제에서 가장 크게 나타나는 특징으로서 벌크의 차이를 볼 수 있다. 즉 PCC는 모두 GCC로 제조된 종이보다 모두 현저히 벌크가 큰 것을 볼 수 있다. 또 한 가지는 GCC, PCC, 이들의 선응집체 모두 HCC와 pHCC와 비교하여 벌크가 현저히 차이가 나는 것이다. 이러한 경향은 48시간동안 저장한 후에도 동일하게 나타남을 볼 수 있었다.

Fig. 4.
Comparison of bulk property of handsheets from HCC and pHCCs after preparation and after 48 hrs.
수초지로서 평활도를 비교하는 것은 공장에서 칼렌다링 후에 나타나는 결과를 대표할 수는 없지만 충전제들이 고르게 분포하며, 충전제의 크기에 비해 현저히 높은 평활도를 보임을 알 수 있다. 즉 GCC나 PCC에 비해 그 크기가 현저히 크지만 오히려 평활도가 높다는 점은 HCC나 pHCC가 압착공정에서 어느 정도 변형이 되어 높은 평활도를 나타내는 것으로 판단된다. Jung과 Seo는 GCC의 경우 본 실험에 사용된 2 μm 크기보다 훨씬 큰 10 μm 크기의 GCC를 사용한 경우 현저히 낮은 평활도를 발표한 바 있다.9) 본 연구에 사용된 HCC나 pHCC는 그 크기가 15-30 μm에 이르므로 변형되지 않고는 높은 평활도를 설명할 수 없게 된다. PCC로 제조한 충전제를 사용할 때, 제조한 후 바로 사용하는 경우 GCC로 제조한 충전제들보다 수초지에 약간 높은 평활도를 제공하였다(Fig. 5(a)). 하지만 48시간 보관 후에는 PCC를 사용하여 제조한 HCC와 pHCC 수초지의 평활도가 GCC를 사용한 것보다 떨어지는 현상이 발생하였다. 현재로서는 HCC와 pHCC를 보관시에 평활도의 저하를 예상해야 될 것으로 보인다.

Fig. 5.
Comparison of Bekk smoothness property of handsheets from HCC and pHCCs after preparation and after 48 hrs.
PCC와 GCC로 만들어진 종이는 백색도 차이가 분명하다. Fig. 6(a)에서 GCC와 PCC로 제조된 종이의 백색도 차이를 보이고 있다. GCC의 경우 86%에 미치지 못했지만 PCC를 사용한 경우 88%를 넘고 있다. 선응집의 경우 가장 낮은 백색도를 보였으며, pHCC가 HCC보다 높은 백색도를 보였다. 이는 pHCC의 경우 새로 화학반응에 의해 제조된 PCC가 GCC 플록의 외부에 주로 존재하기 때문으로 판단되었다. Fig. 6(b)에서는 기존 제품의 PCC를 플록제조에 사용한 것으로서 HCC는 PCC와 산화칼슘을 혼합하여 플록을 제조한 것에 이산화탄소를 반응시킨 것이고, pHCC는 기존제품의 PCC플록을 먼저 제조하고, 산화칼슘을 나중에 넣은 후에 이산화탄소를 반응시킨 것이다. pHCC에서는 백색도가 매우 높은 충전제들이 생성되었다. 이는 역시 새로 생성된 PCC가 충전제 플록의 바깥쪽에 주로 분포하기 때문으로 판단된다. PCC로 제조된 선응집체(Prefloc-P)도 PCC를 그대로 사용한 것 (PCC)에 비해 백색도가 낮은 것을 볼 수 있었다. Fig. 6(b)에서도 여전히 pHCC는 HCC보다 백색도가 높았다. pHCC의 백색도 개선효과를 효율적으로 사용하기 위해서는 Fig. 6(a)에서 본 바와 같이 GCC플록을 사용한 pHCC 제조가 백색도 개선효과가 가장 효과적인 것으로 판단되었다.
3.3 강도적 특성
Fig. 7에 나타난 바와 같이 pHCC와 HCC를 첨가한 수초지의 열단장은 선응집 충전제를 사용한 수초지의 열단장과 유사하였다. 또한 48시간 저장 후의 충전제를 투입한 수초지의 열단장에는 변화가 없었다. Fig. 3에 나타난 바와 같이 충전제의 크기가 시간이 경과함에 따라 변화하였지만 열단장에는 큰 변화가 없었다. 아울러 PCC 기반의 탄산칼슘이 충전된 수초지의 열단장이 GCC 기반의 탄산칼슘이 충전된 수초지의 열단장보다 매우 낮았다. 이는 Fig. 4에 나타난 바와 같이 벌크가 증가함에 따라 나타난 결과로 판단된다. PCC를 이용하여 제조한 HCC와 pHCC를 첨가한 수초지의 열단장 역시 GCC만으로 제조한 수초지의 열단장보다 낮았다. 결국 PCC를 사용하는 경우 HCC나 pHCC를 적용하여도 열단장의 경우에는 GCC만을 사용한 것보다 저하되는 것을 극복하기 어려운 것으로 판단되었다.

Fig. 7.
Comparison of breaking length property of handsheets from HCC and pHCCs after preparation and after 48 hrs.
HCC와 pHCC의 우수성은 높은 벌크를 제공함에도 불구하고 높은 열단장 값을 나타낸다는 점이다. 그 이유는 Fig. 2에서 짐작할 수 있는데, HCC나 pHCC의 경우 충전제 주변에 작은 크기의 충전제들이 존재하지 않는 점이다. 작은 크기의 충전제들은 더 효과적으로 목재섬유간의 수소결합을 방해함으로써 인장강도를 줄일 수 있다.12-14)
휨강성은 주로 종이의 벌크에 영향을 받는다(Fig. 8). PCC의 경우 GCC에 비해 벌크가 매우 높지만(Fig. 4 참조) 휨강성은 GCC에 비해 크게 개선되지 아니하였다. 48시간 후에 사용한 PCC의 경우에는 오히려 휨강성이 GCC에 비해 저하되는 모습을 볼 수 있었다. 이는 PCC의 경우 열단장이 매우 심하게 저하되어서 그러한 결과가 도출되었다고 판단하였다(Fig. 7 참조). 반면에 HCC와 pHCC의 경우에는 제조후 바로 사용하거나 48시간 후에 사용하거나 휨강성에는 큰 변화가 없었으며 오히려 시간이 지난 후에 휨강성이 약간 개선되는 효과를 나타내었다. 이는 종이의 벌크가 약간 높아지는 효과에 기인하는 것으로 판단되었다(Fig. 4 참조).
4. 결 론
본 연구에서는 HCC와 pHCC의 제조에 있어서 산화칼슘과 같이 사용되는 충전제로서 GCC를 사용하는 것이 일반적이지만 GCC를 PCC로 대체함에 따라 유발되는 종이의 물성변화를 조사하였다. 본 연구 결과 HCC와 pHCC 기술은 GCC나 PCC 자체를 단독으로 사용하거나 그들의 선응집을 만들어 사용하는 경우들에 비하여 벌크, 열단장, 휨강성 향상 효과는 뚜렷하게 나타났으며, 이러한 효과는 이러한 충전제들을 48시간 보관 후에 사용하여도 여전히 동일하게 나타났다. PCC를 GCC 대신에 사용하는 경우 벌크는 크게 향상되었으나 열단장이 크게 저하됨으로써 휨강성에도 큰 효과를 나타내지 못하였다. 다만 백색도를 PCC가 높이는 효과가 있었다. pHCC는 HCC에 비해 크기의 안정성이 더 우수하였으며, 종이의 물리적, 강도적 성질의 개선에 유사한 효과를 나타내었다. 특히 pHCC는 백색도의 증가에 매우 유리한 측면이 있으므로 백색도가 중요한 경우 pHCC의 사용이 더 유리할 것으로 판단되었다.





