1. 서 론
자연에서 가장 풍부하게 존재하는 셀룰로오스는 1,4-βglycoside 결합을 통해 이루어진 선형의 천연 고분자 물질로서 강도가 우수하며 열과 화학적인 안정성이 높으며 내구성과 유연성이 우수하며 반영구적인 공급과 생분해성으로 인한 자원의 재순환이 가능하다고 평가받고 있다.1-3) 셀룰로오스의 이러한 장점으로 다양한 분야에서 여러 활용방안으로 수많은 연구가 진행되고 있는데 셀룰로오스의 분자들은 반데르발스결합에 의해 서로 연결되어 있으며 이들은 수 마이크로미터 수준의 길이와 수 - 수십 나노미터 수준의 폭을 지니는 마이크로 혹은 나노피브릴 셀룰로오스로 불린다.4-7) 목질계 펄프 섬유를 기반으로 다양한 처리를 통해 마이크로에서 나노 수준의 크기를 지니게 제조할 수 있는데 크게 기계적 처리방법으로 제조한 셀룰로오스 나노피브릴 혹은 나노섬유(cellulose nanofibril; CNF)와 화학적 처리방법으로 제조한 셀룰로오스 나노크리스탈(cellulose nanocrystal, CNC) 두 가지로 분류되며 각각의 제조방법에 대한 다양한 연구가 활발히 진행 중이다.8-11) 다양한 기계적, 화학적 처리를 통해 제조된 CNF와 CNC는 섬유폭이 마이크로 수준에서 나노 수준까지 감소되었기 때문에 기존보다 종횡비와 비표면적이 커지며 우수한 강도와 투과성을 지니는 특성이 나타난다.12,13) 이로 인해 복합체의 강도향상제와 배리어 코팅 및 분리막 등 여러 산업 군에서 우수한 기대치를 지니는 고분자 물질로 연구가 진행 중이다.14-16)
그렇다면 목질계 기반 셀룰로오스 섬유를 가장 많이 생산하고 소비하는 펄프·제지 산업에서 셀룰로오스 마이크로/나노섬유를 어떻게 적용할 수 있는지에 대한 의문이 제기된다. CNF를 제조하기 위해서는 펄프 섬유를 슬러리 형태로 만들어 기계적 처리를 통해 섬유를 미분화 시킨다. 이렇게 제조한 CNF를 활용하기 위해서는 현탁액 상태로 이용하거나 탈수 및 건조공정을 거쳐 미세한 섬유를 획득하여 사용하는 방법이 있는데17) 이 중 제지공정에 적용을 시도하기 위해서는 현탁액 상태의 CNF를 원료에 투입하는 방법과 표면층에 도포하는 방법 등이 있다.18,19) 하지만 CNF는 펄프 섬유에 비해 비표면적이 월등히 높아 함유하는 수분의 양이 높기 때문에 시트의 수분을 건조하기가 매우 어렵다. 탈수성이 저하되면 건조에너지 소비량이 높아지고 이로 인한 원가상승과 생산성 저하 등의 문제를 야기한다.20) 이를 극복하기 위해서는 슬러지 상태의 CNF의 탈수성을 개선하는 방향이 필요하다고 판단된다.
본 연구에서는 제지공정에서 CNF의 내첨처리를 적용하기 위해 최적의 탈수조건을 찾기 위한 기초연구로 펄프의 종류와 다양한 처리조건을 적용한 CNF를 제조하여 각각의 탈수성이 어느 정도의 수준을 보이는지 파악하고자 가압탈수장치를 이용하여 탈수속도를 계산하여 비교하였으며, CNF의 기본적인 물리적 특성과 SEM 이미지 분석을 통한 처리정도에 대한 CNF의 특성 변화를 파악하였다.
2. 재료 및 방법
2.1 공시재료
셀룰로오스 나노섬유를 제조하기 위해 M사에서 분양받은 침엽수 표백크라프트펄프(SwBKP)와 활엽수 표백크라프트펄프(HwBKP)를 사용하였다. 제조된 셀룰로오스 나노섬유의 용매치환을 위해 에틸알코올(C2H5OH, 95.0%, DAEJUNG, Korea), 아세톤(CH3COCH3, 99.9%, Fisher, USA), n-헥산(C6H14, 95.0%, DAEJUNG, Korea)을 사용하였다.
2.2 실험방법
2.2.1 셀룰로오스 나노섬유 제조 및 특성 분석
셀룰로오스 나노섬유를 제조하기 위해 목질계 펄프를 실험실용 Valley beater를 이용하여 다양한 조건으로 고해를 진행하였다. 펄프별로 미고해 조건을 포함하여 SwBKP는 450 mL CSF, 120 mL CSF 조건으로 고해를 실시하였으며 HwBKP는 450 mL CSF, 350 mL CSF 조건으로 각각 세 가지 수준으로 고해를 실시하였다. 고해한 지료의 농도를 1%로 조절한 뒤 그라인더(Super Masscolloider, Masuko Sangyo Co., Ltd, Japan)를 이용하여 운전속도 1,500 rpm, 스톤간격은 -150 μm의 조건으로 셀룰로오스 나노섬유를 제조하였다. 그라인더에 총 9회까지 통과시켰으며 1, 3, 5, 7, 9회 처리한 셀룰로오스 나노섬유를 채취하여 실험에 사용하였다. 이 때 처리 횟수에 따라 섬유폭이 마이크로에서 나노 수준을 나타냈으나 섬유의 명칭을 셀룰로오스 나노섬유로 통일하였다.
펄프 원료와 그라인더 처리 횟수에 따른 셀룰로오스 나노섬유의 특성의 변화를 분석하기 위해 저전단 점도계(DV-IP, Brookfield Engineering Laboratories, USA)를 이용하여 점도를 측정하였고 입도분석기(1090 LD, CILAS, France)를 이용하여 평균 입도를 측정하였고 제타전위측정기(Nano ZS, Malvern, UK)를 이용하여 상온에서 제타전위를 측정하였다.
2.2.2 셀룰로오스 나노섬유의 SEM 이미지 분석
펄프 원료와 그라인더 처리 횟수에 따라 제조한 셀룰로오스 나노섬유의 형태와 섬유폭을 관찰하기 위해 FESEM(JSM-7610F, JEOL, Japan) 사진을 촬영하였다. SEM 측정용 시료는 피브릴이 건조 시 응집되는 현상을 최소화하기 위해 진공여과장치를 이용하여 시트를 제조 후 에틸 알코올과 아세톤과 n-헥산 순서로 용매치환을 실시하였다.
2.2.3 셀룰로오스 나노섬유의 자체 탈수성 측정
SwBKP와 HwBKP를 원료로 제조한 내첨용 셀룰로오스 나노섬유의 자체 탈수성을 측정하기 위해 가압탈수장치(Pressure dehydration tester, Quro, Korea)를 사용하였고 Fig. 1에 도시하였다. Fig. 1의 (a)는 가압탈수 장치로 기기의 작동과 하중을 조절하는 컨트롤 박스와 시료를 담는 용기, 시료에 압력을 가하는 피스톤, 탈수되어 나온 물의 양을 측정하는 저울로 구성되어 있다. Fig. 1의 (b)는 용기의 밑면으로 천공판 형태로 구성되어있으며 압력이 가해진 실린더에 의해 용기 내의 시료가 탈수가 되며 천공판 위로 패드가 제조되도록 제작되었다. 탈수성 평가에 사용한 시료는 1% 농도를 가지는 셀룰로오스 나노섬유를 증류수를 이용해 0.5%로 희석한 후 초음파세척기로 5분간 분산처리를 실시하여 제조하였으며 시료의 양은 패드의 평량이 80 g/m2이 되도록 선정하였다. 400 mesh 와이어와 여과지(Whatman No. 1)를 용기 내에 차례로 깔고 시료를 담아 하중 3,000 N, 압력 7 bar의 조건으로 10분간 탈수를 진행하였다. 탈수성 평가방법은 Fig. 2를 이용하여 탈수시간에 따른 탈수량으로 곡선을 얻은 후 최대 탈수량과 최대 탈수까지 걸린 시간을 분석하여 탈수속도(drainage rate)를 계산하였다.

Fig. 1.
(a) Pressure dehydration tester and (b) perforation plate.

Fig. 2.
Evaluation of the drainage rate of cellulose nanofibril slurry.
3. 결과 및 고찰
3.1 셀룰로오스 나노섬유의 특성
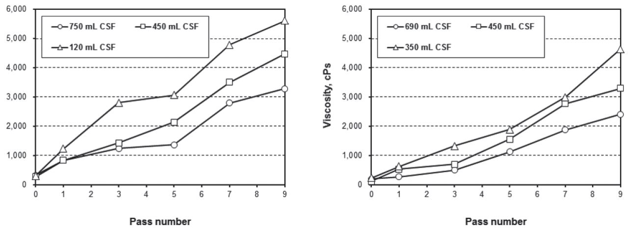
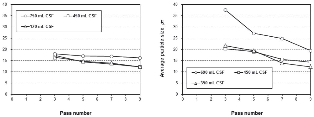
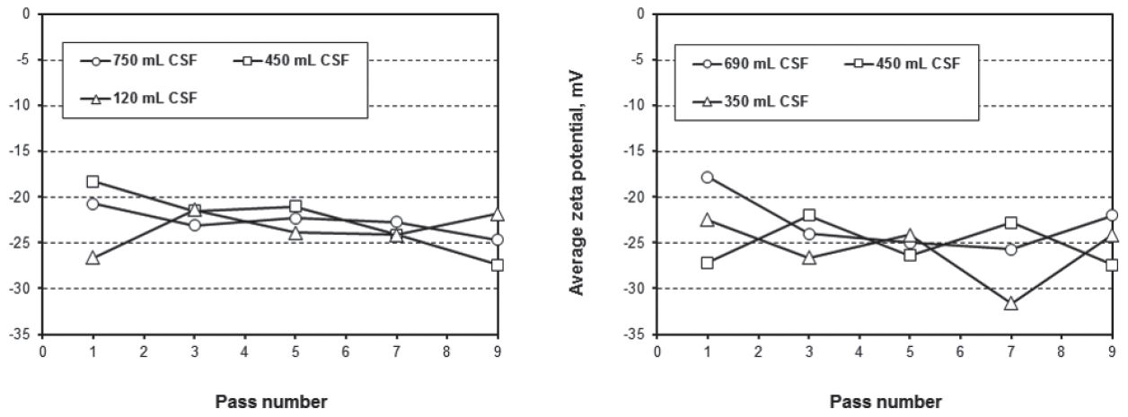
펄프 원료와 처리 횟수에 따라 내첨용 셀룰로오스 나노섬유의 특성이 변화하는 것을 확인하기 위한 특성 평가를 실시하였는데 그 중 육안상의 변화가 쉽게 나타나며 측정이 비교적 간단한 점도를 측정하여 Fig. 3에 도시하였다. 펄프의 종류에 관계없이 여수도가 낮을수록, 그라인더 처리횟수가 높을수록 점도는 향상되는 결과를 나타냈으며 특히 나노화가 진행됨에 따라 직선적으로 점도가 증가하였다. 펄프의 원료로 점도를 비교하면 SwBKP가 HwBKP보다 높은 점도를 나타냈다. 이러한 결과는 그라인더 처리가 진행될수록 섬유의 단섬유화 및 피브릴이 증대되고 이는 섬유의 비표면적의 증가로 인해 기계적 처리로 제조한 셀룰로오스 나노섬유의 점도가 향상되는 것으로 판단된다. 또한 그라인딩에 의해 SwBKP가 HwBKP에 비해 피브릴화가 더욱 많이 진행되기 때문이라고 판단된다. Fig. 4에는 셀룰로오스 나노섬유의 평균입도를 나타냈다. 평균입도 수치를 셀룰로오스 나노섬유의 직접적인 크기로 판단하기는 어려움이 있으나 원료의 고해 수준과 그라인더 처리 횟수에 따른 평균적인 크기변화의 양상을 간접적으로 파악할 수 있다고 판단된다. Control과 그라인더 1회 처리 조건은 크기가 평균입도를 분석하기에 충분히 미분화 되지 않아 측정이 어려워 그라인더 3회 처리 조건의 결과부터 나타냈다. 펄프의 종류에 관계없이 여수도가 낮을수록, 그라인더 처리횟수가 높을수록 평균입도는 감소하는 결과를 나타냈다. Fig. 5에는 셀룰로오스 나노섬유의 제타전위를 도시했는데 제타전위의 차이가 크지 않고 전반적으로 -30 mV - -20 mV 수준의 음이온성을 나타냈다.

Fig. 3.
Viscosity of cellulose nanofibrils made from SwBKP (left) and HwBKP (right) as a function of freeness and pass number.

Fig. 4.
Average particle size of cellulose nanofibrils made from SwBKP (left) and HwBKP (right) as a function of freeness and pass number.

Fig. 5.
Average zeta potential of cellulose nanofibrils made from SwBKP (left) and HwBKP (right) as a function of freeness and pass number.
3.2 셀룰로오스 나노섬유의 SEM 이미지
Figs. 6-11는 SwBKP와 HwBKP를 원료로 제조한 셀룰로오스 나노섬유로 시트를 제작한 후 표면과 섬유폭의 크기를 FE-SEM으로 촬영한 이미지를 도시하였다. 표면의 형태를 살펴보면 그라인더 처리횟수가 늘어날수록 피브릴 간의 결합이 증대되어 필름의 형상으로 결합이 나타나 저배율에서는 장섬유의 형태는 찾아보기 어려웠으며 섬유의 폭을 측정하기 위해서는 고배율 촬영이 필수적이었다. 섬유폭을 살펴보면 그라인더의 처리횟수가 1회 통과한 조건은 수 마이크로미터 수준의 섬유폭을 지니는 섬유에서 그라인더 처리를 통해 발생한 나노 수준의 크기를 지니는 피브릴들이 발생하여 섬유 간에 결합을 이루는 형태가 모든 조건에서 나타났는데 고해 처리에 따라 섬유폭의 크기와 나노 수준의 피브릴의 크기 차이가 드러났다. 기계적 처리방법인 그라인더로 제조하였기 때문에 섬유의 길이와 폭은 균일하지는 않았지만 그라인더 처리횟수가 5회로 증가할수록 평균적으로 100 nm 이하의 섬유의 폭을 지니는 섬유의 분포가 나타났으며 9회 처리 시 평균적으로 50 nm 이하의 섬유 폭이 나타났다. FE-SEM 이미지 사진으로는 고해 처리 수준에 따라 섬유폭의 차이를 크게 규명하지는 못하였지만 그라인더 처리횟수에 따른 섬유폭의 감소 경향과 피브릴 간의 결합으로 인한 표면의 형태를 파악할 수 있었다.

Fig. 6.
SEM images of cellulose nanofibrils made from SwBKP at 750 mLCSF as a function of the pass number of grinding (left: pass number 1, middle: pass number 5, right: pass number 9).

Fig. 7.
SEM images of cellulose nanofibrils made from SwBKP at 450 mLCSF as a function of the pass number of grinding (left: pass number 1, middle: pass number 5, right: pass number 9).

Fig. 8.
SEM images of cellulose nanofibrils made from SwBKP at 120 mLCSF as a function of the pass number of grinding (left: pass number 1, middle: pass number 5, right: pass number 9).

Fig. 9.
SEM images of cellulose nanofibrils made from HwBKP at 690 mLCSF as a function of the pass number of grinding (left: pass number 1, middle: pass number 5, right: pass number 9).

Fig. 10.
SEM images of cellulose nanofibrils made from HwBKP at 450 mLCSF as a function of the pass number of grinding (left: pass number 1, middle: pass number 5, right: pass number 9).

Fig. 11.
SEM images of cellulose nanofibrils made from HwBKP at 350 mLCSF as a function of the pass number of grinding (left: pass number 1, middle: pass number 5, right: pass number 9).
3.3 셀룰로오스 나노섬유의 자체 탈수성 평가
SwBKP로 제조된 셀룰로오스 나노섬유의 단위시간 당 탈수된 양의 곡선을 Fig. 12에 도시하였다. 여수도가 낮을수록, 그라인더 처리횟수가 증가할수록 동일 시간에서의 탈수량이 줄어들었으며 Fig. 2에 의거해 탈수속도를 계산하여 Fig. 13에 도시하였다. 탈수속도는 여수도에 따라 큰 차이를 보이지 않지만 패스횟수가 3회 이상으로 증가할 때 모든 고해 조건에서 탈수속도가 저하되는 것이 관찰되었다. HwBKP로 제조된 셀룰로오스 나노섬유의 단위시간 당 탈수된 양의 곡선을 Fig. 14에 도시하였다. SwBKP와 마찬가지로 여수도가 낮을수록, 그라인더 처리횟수가 증가할수록 동일 시간에서의 탈수량이 줄어들었으며 탈수속도를 계산하여 Fig. 15에 도시하였다. HwBKP로 제조한 셀룰로오스 나노섬유가 SwBKP에 비해 탈수속도가 비교적 빠른 결과를 나타냈다. 앞서 셀룰로오스 나노섬유의 특성에서 나타난 결과와 연관 지어 평가를 해보면 평균입도는 HwBKP가 SwBKP보다 더 낮은 수치를 지녔지만 탈수속도는 더 빠르게 나타났다. 점도를 비교해 보면 SwBKP가 동일하거나 비슷한 수준으로 기계적 처리했을 때 HwBKP보다 높은 점도를 나타났기 때문에 점도가 더 높은 SwBKP로 제조한 셀룰로오스 나노섬유가 HwBKP로 제조한 셀룰로오스 나노섬유보다 낮은 탈수속도를 나타냈다. 결과적으로 HwBKP로 제조한 셀룰로오스 나노섬유가 SwBKP로 제조한 셀룰로오스 나노섬유보다 탈수속도가 빠르게 나타났으며 특성 비교시 평균입도 보다 점도의 영향이 탈수성을 비교하는데 더욱 적합한 방법이라 사료된다.

Fig. 12.
Drainage curve of cellulose nanofibrils made from SwBKP as a function of freeness and pass number (left: 750 mL CSF, middle: 450 mL CSF, right: 120 mL CSF).

Fig. 13.
Drainage curve of cellulose nanofibrils made from SwBKP as a function of freeness and pass number.

Fig. 14.
Drainage curve of cellulose nanofibrils made from HwBKP as a function of freeness and pass number (left: 690 mL CSF, middle: 450 mL CSF, right: 350 mL CSF).

Fig. 15.
Drainage curve of cellulose nanofibrils made from HwBKP as a function of freeness and pass number.
4. 결 론
본 연구에서는 펄프의 종류와 기계적 처리조건을 달리하여 셀룰로오스 나노섬유를 제조하여 특성의 변화와 탈수성을 평가하였다. 기계적 처리는 1차적으로 고해 처리전 해리만 진행한 조건과 펄프별로 각기 다른 조건으로 고해를 실시하였으며 이 후 그라인더를 이용하여 처리 횟수를 달리하여 제조한 뒤 점도와 입도 등의 특성과 셀룰로오스 나노섬유 자체의 탈수성을 가압탈수장치를 이용하여 탈수시간을 도출하였다. 섬유의 기계적 처리가 많아질수록 단섬유화 및 비표면적의 확대로 인해 이러한 결과가 도출되었다고 여겨지며 이를 확인하기 위해 SEM 촬영을 통해 셀룰로오스 나노섬유의 형태와 섬유 폭을 확인하였다. 그라인더 처리횟수가 늘어날수록 섬유 폭은 수 마이크로미터 수준에서 50 nm 이하의 수준으로 감소하는 것을 확인하였고 미세한 피브릴의 결합으로 필름형태가 형성되어 장섬유의 관찰은 어려웠으며 섬유 폭의 크기를 촬영하기 위해서는 고배율 촬영이 필수적이었다. 또한 펄프의 종류에 관계없이 여수도가 낮을수록, 그라인더 처리횟수가 높을수록 점도는 상승하며 평균입도는 감소하며 탈수성은 감소하였다.
결론적으로 섬유폭과 탈수속도의 상관관계는 매우 밀접한 연관이 있으며 셀룰로오스 나노섬유를 제지공정에 적용시 탈수속도를 고려하였을 때 HwBKP로 제조한 CNF를 적용하는 것이 더욱 적합하다고 판단된다. 그리고 CNF의 특성과 탈수속도를 비교하였을 때 비슷한 기계적 처리조건에서 평균입도가 비슷하더라도 점도가 더욱 높은 SwBKP로 제조한 CNF의 탈수속도는 낮았다. CNF의 명확한 크기를 파악하는 것이 어렵기 때문에 점도를 기준으로 탈수속도에 부합하는 CNF를 선정하는 것이 바람직하다고 판단된다. 또한 최적의 투입량을 선정하기 위해서는 탈수속도 뿐만 아니라 강도적인 측면도 고려해야 하므로 공정에서 필요로 하는 제품의 강도와 건조 속도 등을 고려한 조건을 도출하는 추가적인 연구가 필요하다고 사료된다.
사 사
이 논문은 2016년도 산업통상자원부 및 산업기술평가관리원(KEIT) 산업기술혁신산업(글로벌전문기술개발사업(섬유생활스트림))의 지원에 의한 연구임(과제번호 10067241).
Literature Cited
A. F. Turbak, F. W. Snyder and K. R. Sandberg, J. Appl. Polym. Sci.: Applied Polymer Symposia,
Microfibrillated cellulose, a new cellulose product: Properties, uses and commercial potential, Proceedings of 9th Cellulose Conference,
37; 815-827 (1983)
Turbak, A. F., Snyder, F. W., and Sandberg, K. R., Microfibrillated cellulose, a new cellulose product: Properties, uses and commercial potential, Proceedings of 9th Cellulose Conference, J. Appl. Polym. Sci.: Applied Polymer Symposia 37:815-827 (1983).
F. W. Herrick, R. L. Casebier, J. K. Hamilton, 이름 성 and K. R. Sandberg, J. Appl. Polym. Sci.: Appl. Polym. Symp.,
Microfibrillated cellulose: morphology and accessibility,
37; 797-813 (1983)
Herrick, F. W., Casebier, R. L., Hamilton, J. K., and Sandberg, K. R., Microfibrillated cellulose: morphology and accessibility, J. Appl. Polym. Sci.: Appl. Polym. Symp. 37:797-813 (1983).
G. H. D. Tonoli, E. M. Teixeira, A. C. Correa, J. M. Marconcini, L. A. Caixeta, M. A. Pereirada-Silva and L. H. C. Mattoso, Carbohydrate Polymers,
Cellulose micro/nanofibres from Eucalyptus kraft pulp: Preparation and properties,
89(1); 80-88 (2012)
Tonoli, G. H. D., Teixeira, E. M., Correa, A. C., Marconcini, J. M., Caixeta, L. A., Pereirada-Silva, M. A., and Mattoso, L. H. C., Cellulose micro/nanofibres from Eucalyptus kraft pulp: Preparation and properties, Carbohydrate Polymers 89(1):80-88 (2012).
10.1016/j.carbpol.2012.02.052I. Siró and D. Plackett, Cellulose,
Microfibrillated cellulose and new nanocomposite materials: A review,
17(3); 459-494 (2010)
Siró, I. and Plackett, D., Microfibrillated cellulose and new nanocomposite materials: A review, Cellulose 17(3):459-494 (2010).
R. J. Moon, A. Martini, J. Nairn, J. Simonsen and J. Youngblood, Chemical Society Reviews,
Cellulose nanomaterials review: structure, properties and nanocomposites,
40(7); 3941-3994 (2011)
Moon, R. J., Martini, A., Nairn, J., Simonsen, J., and Youngblood, J., Cellulose nanomaterials review: structure, properties and nanocomposites, Chemical Society Reviews 40(7): 3941-3994 (2011).
10.1039/c0cs00108bD. Klemm, D. Schumannan, F. Kramaer, N. Heßler, M. Hornung, H. P. Schmauder and S. Marsch, J. Appl. Polym. Sci.,
Nanocelluloses as innovative polymers in research and application,
205(1); 49-96 (2006)
Klemm, D., Schumannan, D., Kramaer, F., Heßler, N., Hornung, M., Schmauder, H. P., and Marsch, S., Nanocelluloses as innovative polymers in research and application, J. Appl. Polym. Sci. 205(1):49-96 (2006).
C. Salas, T. Nypelo, C. Rodriguez-Abreu, C. Carrillo and O. J. Rojas, Journal of Current Opinion in Colloid & Interface Science,
Nanocellulose properties and applications in colloids and interfaces,
19(5); 383-396 (2014)
Salas, C., Nypelo, T., Rodriguez-Abreu, C., Carrillo, C., and Rojas, O. J., Nanocellulose properties and applications in colloids and interfaces, Journal of Current Opinion in Colloid & Interface Science 19(5):383-396 (2014).
D. Klemm, F. Kramer, S. Moritz, T. Lindström, M. Ankerfors, D. Gray and A. Dorris, Journal of Angewandte Chemie Intermational Edition,
Nanocelluloses: A new family of nature- based materials,
50(24); 5438-5466 (2011)
Klemm, D., Kramer, F., Moritz, S., Lindström, T., Ankerfors, M., Gray, D., and Dorris, A., Nanocelluloses: A new family of nature- based materials, Journal of Angewandte Chemie Intermational Edition 50(24):5438- 5466 (2011).
10.1002/anie.201001273H. P. S. A. Khalil, Y. Davoudpour, Md. N. Islam, A. Mustapha, K. Sudesh, R. Dungani and M. Jawaid, Carbohydrate Polymers,
Production and modification of nanofibrillated cellulose using various mechanical process: A review,
99(1); 649-665 (2014)
Khalil, H. P. S. A., Davoudpour, Y., Islam, Md. N., Mustapha, A., Sudesh, K., Dungani, R., and Jawaid, M., Production and modification of nanofibrillated cellulose using various mechanical process: A review, Carbohydrate Polymers 99(1):649-665 (2014).
Y. Habibi, L. A. Lucia and O. Rojas, Chem. Rev.,
Cellulose nanocrystals: Chemistry, self-assembly, and applications,
110(6); 3479-3500 (2010)
Habibi, Y., Lucia, L. A., and Rojas, O., Cellulose nanocrystals: Chemistry, self-assembly, and applications, Chem. Rev. 110(6):3479- 3500 (2010).
10.1021/cr900339wT. Saito and A. Isogai, Carbohydrate Polymer,
Ion-exchange behavior of carboxylate groups in fibrous cellulose oxidized by the TEMPO-mediated system,
61(2); 183-190 (2005)
Saito, T. and Isogai, A., Ion-exchange behavior of carboxylate groups in fibrous cellulose oxidized by the TEMPO-mediated system, Carbohydrate Polymer 61(2):183-190 (2005).
10.1016/j.carbpol.2005.04.009C. Hii, Ø. W. Gregersen, G. Chinga-Carrasco and Ø. Eriksen, Nordic Pulp and Paper Research J.,
The effect of MFC on the pressability and paper properties of TMP and GCC based sheets,
27(2); 388-396 (2012)
Hii, C., Gregersen, Ø. W., Chinga-Carrasco, G., and Eriksen, Ø., The effect of MFC on the pressability and paper properties of TMP and GCC based sheets, Nordic Pulp and Paper Research J. 27(2):388-396 (2012).
10.3183/npprj-2012-27-02-p388-396E. Bahar, N. Ucar, A. Onen, Y. Wang, M. Oksuz, O. Ayaz, M. Ucar and A. Demir, Journal of Applied Polymer Science,
Thermal and mechanical properties of polypropylene nanocomposite materials reinforced with cellulose nano whiskers,
125(4); 2882-2889 (2012)
Bahar, E., Ucar, N., Onen, A., Wang, Y., Oksuz, M., Ayaz, O., Ucar, M., and Demir, A., Thermal and mechanical properties of polypropylene nanocomposite materials reinforced with cellulose nano whiskers, Journal of Applied Polymer Science 125(4): 2882-2889 (2012).
10.1002/app.36445H. Fukuzumi, T. Saito, T. Iwata, Y. Kumamoto and A. Isogai, Biomacromolecules,
Transparent and high gas barrier films of cellulose nanofibers prepared by TEMPO-mediated oxidation,
10(1); 162-165 (2009)
Fukuzumi, H., Saito, T., Iwata, T., Kumamoto, Y., and Isogai, A., Transparent and high gas barrier films of cellulose nanofibers prepared by TEMPO-mediated oxidation, Biomacromolecules 10(1):162-165 (2009).
10.1021/bm801065uY. Okahisa, A. Yoshida, S. Miyaguchi and H. Yano, Composite Science Technology,
Optically transparent wood-cellulose nanocomposite as a base substrate for flexible organic light-emitting diode displays,
69(11-12); 1958-1961 (2009)
Okahisa, Y., Yoshida, A., Miyaguchi, S., and Yano, H., Optically transparent wood-cellulose nanocomposite as a base substrate for flexible organic light-emitting diode displays, Composite Science Technology 69(11-12): 1958-1961 (2009).
10.1016/j.compscitech.2009.04.017C. Aulin and G. Strom, Industrial & Engineering Chemistry Research,
Multilayered alkyd resin/ nanocellulose coatings for use in renewable packaging solutions with high level of moisture resistance,
52(7); 2582-2589 (2013)
Aulin, C., Strom, G., Multilayered alkyd resin/ nanocellulose coatings for use in renewable packaging solutions with high level of moisture resistance, Industrial & Engineering Chemistry Research, 52(7):2582-2589 (2013).
Y. Peng, Y. Han and D. J. Gardner, Wood and Fiber Science,
Spray-drying cellulose nanofibrils: Effect of drying process parameters on particle morphology and size distribution,
44(4); 1-14 (2012)
Peng, Y., Han, Y., and Gardner, D. J., Spray-drying cellulose nanofibrils: Effect of drying process parameters on particle morphology and size distribution, Wood and Fiber Science 44(4):1-14 (2012).
M. Ankerfors, T. Lindstrom and D. Soderberg, Nordic Pulp & Paper Research Journal,
The use of microfibrillated cellulose in fine paper manufacturing-Results from a pilot-scale papermaking trial,
29(3); 476-483 (2014)
Ankerfors, M., Lindstrom, T., and Soderberg, D., The use of microfibrillated cellulose in fine paper manufacturing-Results from a pilot-scale papermaking trial, Nordic Pulp & Paper Research Journal 29(3):476-483 (2014).
F. Brodin, Ø. W. Gregersen and K. Syverud, Nordic Pulp & Paper Research Journal,
Cellulose nanofibres: Challenges and possibilities as paper additive or coating material,
29(1); 156-166 (2014)
Brodin, F., Gregersen, Ø. W., and Syverud, K., Cellulose nanofibres: Challenges and possibilities as paper additive or coating material, Nordic Pulp & Paper Research Journal 29(1): 156-166 (2014).
M. I. Voronova, A. G. Zakharov, O. Y. Kuznetsov and O. V. Surov, Materials Letters,
The effect of drying technique of nanocellulose dispersions on properties of dried materials,
68(1); 164-167 (2012)
Voronova, M. I., Zakharov, A. G., Kuznetsov, O. Y. and Surov, O. V., The effect of drying technique of nanocellulose dispersions on properties of dried materials, Materials Letters 68(1):164-167 (2012).
10.1016/j.matlet.2011.09.115