1. 서 론
폐지는 현재 우리나라 제지산업의 주원료로서 가장 많이 사용되고 있다. 국제 유가가 상승하고 온실가스 배출 및 산림 보호 등의 환경문제가 중요시 되고 있는 요즘 폐지의 재활용은 더욱 많은 주목을 받고 있다. 친환경 순환자원인 폐지 1톤을 재활용하게 되면 산림 약 2.8mz3을 보호할 수 있으며 온실가스 약 1.07379 tCO2를 저감하는 효과를 얻을 수 있다.1) Moberg 등은 virgin pulp를 폐지로 대체하면 약 28~70%의 에너지를 절약할 수 있다고 하였다.2)
최근 폐지의 국내 재활용률은 약 87%에 이른다.3) 폐지는 수입에 의존하는 펄프에 비하여 원가 절감 측면에서 매우 유리하다. 또한 폐지를 사용하여 원가 절감 및 환경 보호 측면에서 많은 이점을 얻을 수 있기에4) 폐지의 재활용은 국내 제지 산업의 경쟁력의 원천이 될 수 있다. 이러한 이점들 때문에 세계 각국들은 폐지 재활용률을 늘리기 위하며 많은 노력을 하고 있다. 또한 이러한 완성된 제품의 품질은 폐지의 품질과 직접적인 연관이 있기 때문에 저급한 폐지 보다 품질이 좋은 폐지를 조성하기 위해 노력하고 있다.5)
현재 제지 공장에 공급이 되는 일반적인 폐지는 압축 베일 형태로 유통된다.67) 압축 베일 형태의 폐지는 한 가지 지종으로 이루어져 있지 않고 여러 종류의 폐지가 혼합된 상태이며, 비록 압축 베일의 표면만 본다면 하나의 지종으로 이루어 진 것처럼 보일 수 있으나 그 속은 여러 지종들이 섞여있는 경우가 많다. 이처럼 하나의 지종으로 이루어지지 못한 압축 베일의 지종별 혼합비는 폐지의 품질에 큰 영향을 미칠 것으로 여겨진다. 즉, 재활용 종이의 요구 물성에 따라 적합한 종류의 폐지와 그렇지 못한 종류의 폐지가 있을 것으로 추측된다. 예를 들어 수입 OCC를 기반으로 한 과거의 산업용지 생산 업체의 경우 신문지와 같은 인쇄용지가 폐지에 섞이면 섞일수록 강도 저하의 원인이 된다는 인식이 있었는데 국산 OCC를 기반으로 한 국산 골판지 원지 생산업체의 경우는 재생 골판지 원지의 품질이 조악한 이유로 오히려 폐신문지가 원료로 더 적합하다는 주장이 있다. 따라서 폐지의 경제적 재활용을 위하여 서로 다른 종류의 폐지가 혼합됨에 따른 재생지의 물성 및 생산 효율 변화를 가늠하여 혼합정도에 따른 폐지의 가치를 정하는 기준이 절실히 요구된다.
본 연구에서는 실제 다양한 폐지가 혼합된 상태로 유통되는 골판지 폐지, 신문지 폐지 및 잡지 폐지가 서로 혼합됨에 따른 골판지 원지, 신문지의 품질 및 생산 공정 변화를 살피려 한 것이 아니라, 현재 우리나라에서 생산되고 있는 골판지 원지로 구성된 폐골판지와 역시 우리나라에서 생산된 폐신문지, 폐잡지 등이 서로 혼합되어 재활용됨에 따른 각각의 재생지 품질 및 초지 공정 변화를 살피려 하였다.
이를 위하여 국내 주요업체의 최대 주력 생산지종인 골판지 원지 1종과 신문지 및 pigment coating 지 1종을 각각 선택하여 공시 재료로 삼았다. 그리고 폐골판지, 폐신문지 및 폐잡지를 대표하는 골판지 원지, 신문지 coating지의 혼합 비율을 다르게 하여 이에 따른 종이 물성 및 초지 공정 변화를 분석하고자 하였으며 이러한 결과를 토대로 하여 폐지의 혼합 비율 별 폐지 등급 제정에 참고하고자 하였다.
2. 재료 및 방법
2.1 공시재료
본 연구의 목적 상 실제 폐골판지, 폐신문지 및 코팅지를 인쇄한 폐잡지를 혼합하고 그 혼합 비율에 따른 재생지의 물성을 파악해야 하나 폐지의 품질이 균일하지 못한 이유로 실험 오차가 발생할 것을 대비하여 경기도 안산 소재 D사에서 분양받은 평량 180 g/m2, 회분함량 15%의 골판지 원지로 폐골판지를 대체하였고 전라북도 전주 소재 J사에서 분양받은 신문지 원지(평량 45 g/m2, 회분함량 10%)로 폐신문지를 대체하였다. 폐잡지는 울산광역시 소재 H사의 coated paper(도공지)로 대체하였는데 그 평량은 150 g/m2이고 회분함량이 45%에 달하였다.
2.2 실험방법
2.2.1 지료조성
폐신문지와 폐골판지는 Helico type의 rotor가 장착된 실험실용 pulper를 이용하여 펄핑하였다. 펄핑 농도는 5%로 조정하였으며 450 rpm에서 15분간 해리하였다. 폐골판지와 달리 저농도 처리로 coating flake가 완전히 해리되지 못하는 폐잡지의 경우 먼저 펄핑 농도 15%로 AMC사의 FORMAX 450H high consistency laboratory pulpler를 이용하여 45℃에서 30분간 펄핑 하고 지료를 5%로 희석하여 다시 helico type의 pulper에서 15분간 450 rpm으로 펄핑하는 과정을 통해서 해리하였다. 결국 폐잡지의 코팅층이 완전히 분해되도록 하기 위하여 두 번의 펄핑을 실시한 셈이다.
펄핑이 끝난 폐신문지와 폐골판지는 각각의 여수도 조절을 위하여 지료 농도 1%로 희석을 하여 실험실용 Valley beater로 10분간 고해하였다. Beating 후 폐신문지와 폐골판지, 펄핑 후의 폐잡지의 여수도 및 미세분 함량은 Table 1에 나타내었다.
Table 1
Characteristic of stock preparation
| Recovered paper | CSF (mL) | Fines (%) |
|---|---|---|
| ONP | 223 | 33.74 |
| OCC | 322 | 32.70 |
| CP | 476 | 37.15 |
펄핑 및 beating이 끝난 폐신문지, 폐골판지와 폐잡지는 각각 0.3%로 희석하여 아래 Table 2의 조건으로 혼합하였다.
2.2.2 수초지 제작 및 종이 물성 분석
종이 품질 및 초지 공정을 분석하기 위하여 RDA (retention and drainage analyzer)를 이용하여 초지하였다. 이때 평량은 150 g/m2으로 조정하였다. 보류 향상을 위해 양이온성 PAM과 micro particle로 Bentonite를 투입하였는데 양이온성 PAM은 전건 펄프 대비 150 ppm, bentonite는 1,000 ppm을 투입하였다.
보류특성을 확인하기 위하여 RDA의 탈수 백수를 채취하여 그 탁도를 측정하였다. 지료의 탈수도는 RDA 초지 시 습지필에 적용된 진공의 해압 정도를 나타내는 FAP(Final air permeability)를 이용하여 평가 비교하였다. 각 혼합 비율별로 RDA 초지하여 얻은 종이의 회분은 TAPPI Test Methods T211 om-02에 의거하여 측정하였다. 초지된 종이는 항온항습실(온도 23 ± 1℃, 상대습도 50 ± 2%)에서 24시간 이상 조습 처리한 후 물성 분석을 실시하였다. TAPPI Test Methods에 의거하여 인장강도, 인열강도, 파열강도, 압축강도 등을 측정하였다. 종이의 지합은 OpTest Equipment Inc.의 Micro-Scanner를 이용하여 측정하였으며 광학적 특성은 L&W 사의 Elrepho Spectrophotometer를 이용하여 측정하였다.
3. 결과 및 고찰
3.1 폐신문지, 폐골판지와 폐잡지의 혼합 비율이 초지 공정에 미치는 영향
Fig. 1은 폐골판지를 대표한 골판지 원지와 폐신문지를 대표한 신문 원지에 폐잡지를 대표하는 coating지를 배합함에 따른 RDA 초지 여액의 탁도와 여수도, final air permeability 및 회분 변화를 나타낸 그래프이다. 기본적으로 신문 원지를 해리하여 초지한 경우보다 골판지 원지를 해리하여 초지할 때 보류도가 미흡함을 알 수 있는데, 이것은 골판지 원지의 회분함량이 신문 원지보다 높기 때문에 빚어진 결과로 여겨진다. 즉, 보류되기 어려운 회분함량이 높은 만큼 RDA 탈수 여액이 높은 탁도를 보였으며 회분함량이 높은 coating지의 배합비가 증가할수록 보류가 어려움을 확인하였다.

Fig. 1.
Effect of varied mixing ratios of three kinds of recovered papers on turbidity, canadian standard freeness, final air permeability and ash content.
여수도에 관한 그래프를 보면 섬유를 대신하여 회분이 늘어나는 만큼 마치 탈수성이 개선된 듯 한 결과를 보이나, 이것은 앞에서 확인된 바와 같이 회분의 보류가 미흡하고 섬유 자체가 줄어들었기 때문으로 해석되었다.
상기한 이유로 습지필의 통기성을 나타내는 final air permeability 값이 회분증가에 따라 낮아지는 경향을 보인 것으로 해석되었다.8)
동일한 평량의 종이를 생산한다는 전제 조건 하에서 RDA의 FAP 값이 낮을수록 습지필의 통기도가 우수하며 wet-end 및 압착탈수 부에서 탈수가 용이하다는 예상이 가능하다. 그러나 폐잡지의 배합 비율이 늘어남에 따라 고형분 중 섬유의 비율이 줄어들고 회분의 보류가 불량한 이유로 RDA 초지 평량과 FAP가 함께 낮아진다면 탈수가 개선되었다는 해석이 불가하다.
결국 폐잡지가 폐골판지와 폐신문지에 배합되는 만큼 골판지 원지와 신문원지의 생산효율은 보류도 저하로 인하여 불량해질 것으로 판단된다.
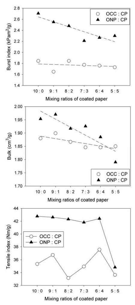
3.2 폐신문지, 폐골판지와 폐잡지의 혼합 비율이 종이품질에 미치는 영향
Fig. 2는 폐잡지 배합에 따른 종이의 강도적 특성을 나타낸 그래프이다. 상대적으로 회분이 높은 폐잡지가 신문원지와 골판지 원지에 혼입될수록 종이의 강도가 약해지는 것을 확인하였다. 종이의 강도는 회분함량과 밀접한 관련이 있다. 종이 내의 충전제가 증가하게 되면 섬유와 섬유간 결합을 방해하여 종이 강도가 저하된다.9) 약 45%의 회분을 갖는 코팅지의 혼합 비율이 증가함에 따라 초지된 종이 내의 회분율이 증가되어 종이 강도가 저하한 것으로 여겨진다.
유의해야 할 부분은 골판지 원지를 해리한 지료보다 신문원지를 해리한 경우에 인장, 파열 강도가 더 우수하다는 점과 신문원지의 경우에 폐잡지의 배합비율이 50%이상일 때 인장강도 저하가 더 현저히 일어난다는 사실이다.
기본적으로 회분함량이 신문원지보다 높은 골판지 원지가 낮은 재생지 강도를 초래하였다고 이해할 수 있으나, 산업용지인 골판지 원지가 인쇄용지인 신문원지보다 강도적으로 취약하다는 결과는 매우 특이한 것으로서, 거듭된 재활용 처리를 겪은 폐지로 구성되는 국산 골판지 원지의 현재 품질을 보여주는 사례라 하겠다.
즉, 북미나 북유럽의 경우처럼 UKP를 배합하는 골판지 원지가 아니라 100% 저급 혼합 폐지를 원료로 하는 testliner의 경우 신문원지보다 강도가 취약함을 의미하는 결과이다.
일반적으로 종이 내 충전제의 함량이 증가하면 종이의 벌크는 감소하게 된다. 이는 종이 내의 섬유와 섬유 사이에 크기가 작은 충전제가 위치하게 되며 이로 인해서 밀도가 증가하기 때문이다.10) 폐신문지와 폐골판지에 폐잡지의 배합 비율이 증가하게 되면 종이 내의 회분의 함량이 증가하고 회분의 증가에 따라서 종이의 벌크가 감소하는 것을 확인하였다.
Fig. 3은 배합 비율이 광학적 특성에 미치는 영향에 대하여 나타내었다. 폐신문지와 폐골판지 모두 폐잡지의 배합비율이 증가함에 따라서 Hunter L*값이 상승하는 것을 확인하였다. 폐잡지의 배합 비율이 높아짐에 따라서 충전제의 함량이 증가하고 또한 폐잡지내에 포함되어 있던 BKP가 지료에 유입되어 Hunter L*값이 상승된 것으로 해석된다. Hunter a*값과 백색도의 변화 역시 위와 같은 경향으로 이해된다. ERIC(Effective residual ink concentration)은 잔존 잉크의 농도로서 종이의 탈묵 정도를 나타내는 지표이다. 폐신문지의 경우 인쇄가 되지 않은 신문지 원지를 사용하여 낮은 ERIC 값에서 시작하였고 탈묵 공정을 거치지 않고 만들어지는 폐골판지는 높은 ERIC 값을 갖는 것을 확인할 수 있었다. 이 두 지종 모두 폐잡지의 배합 비율이 높아짐에 따라서 ERIC 값이 감소하는 것을 확인하였다. 폐잡지 역시 인쇄가 되지 않은 코팅지를 이용하였기 때문에 낮은 ERIC 값을 갖으며 또한 코팅지 제조 시 사용되는 펄프 역시 BKP로 DIP를 사용하는 경우 보다 초기 ERIC 값이 낮다. 따라서 폐잡지가 증가함에 따라서 종이의 ERIC 값이 감소하는 것으로 보인다.
coating 층에 인쇄잉크가 적용된 잡지 등의 인쇄 폐지는 섬유위에 잉크가 전이된 인쇄 백상지 폐지 보다 탈 잉크 처리가 용이한데 이러한 측면에서 전술한 폐잡지 혼입에 따른 신문원지의 백색도 향상을 기대할 수 있다.
3.3 폐신문지와 폐골판지의 혼합 비율이 초지 공정에 미치는 영향
Fig. 4는 폐신문지에 폐골판지가 혼합됨에 따른 여수도의 변화, 탁도 그리고 final air permeability를 나타낸 그래프이다. 폐신문지에 비하여 회분함량이 높고 기본적으로 높은 여수도를 갖는 폐골판지의 혼합 비율이 증가하면 여수도가 증가하는 것을 확인하였다. 폐신문지에 폐골판지가 혼입되어도 탁도에는 큰 영향을 미치지 않았다.

Fig. 4.
Effect of mixing ratios of various recovered papers on canadian standard freeness, turbidity and final air permeability.
폐신문지와 폐골판지의 혼합 비율별로 RDA 초지 시 FAP 값 변화를 측정한 결과를 살펴보면 폐골판지의 혼합 비율이 증가할수록 FAP 값이 감소하는 것으로 보아 탈수성이 개선됨을 확인하였다. 이는 여수도가 증가하는 경향과 비례하는 결과로서 기본적으로 높은 여수도를 갖으며 충전제의 함량이 높은 폐골판지의 혼합 비율이 증가할 때 FAP 값이 감소하였다고 해석된다.
3.4 폐신문지와 폐골판지의 혼합 비율이 종이품질에 미치는 영향
Fig. 5에는 폐신문지와 폐골판지의 혼합 비율에 따른 종이 강도 변화와 회분함량을 나타내었다. 인장강도와 파열강도, 압축강도 모두 폐골판지의 혼합 비율이 높아질수록 저하되는 것을 확인하였다. 폐신문지보다 상대적으로 높은 여수도와 많은 회분을 갖는 폐골판지의 배합 비율이 높아질수록 초지한 종이의 강도가 저하되는 것으로 여겨진다.
그 원인으로서 폐골판지의 배합 비율에 따른 회분 증가 결과를 들 수 있다. Fig. 6는 벌크의 변화를 나타낸 그래프이다. 벌크 값이 큰 차이는 보이지 않았으나 회분의 함량이 높은 폐골판지의 비율이 높아질수록 벌크가 감소하는 경향을 확인하였다. 이는 전술한 바와 같이 종이 내의 회분함량이 증가하며 섬유와 섬유사이 공간에 회분이 존재하며 종이의 밀도가 높아졌기 때문에 일어난 현상으로 이해된다.
Fig. 7에는 폐신문지와 폐골판지의 혼합 비율의 변화에 따른 종이의 광학적 특성 변화를 나타내었다. 폐골판지의 혼합 비율이 증가할수록 종이의 Hunter L*값과 백색도가 저하되는 경향을 확인하였다. 이때 Hunter b*값과 ERIC값은 증가하는 경향을 보였는데 이것은 폐신문지의 경우 정상적인 탈묵 과정을 거친 신문지 원지를 사용한 반면, 폐골판지의 경우에는 따로 탈묵공정이 없으며, 색상이 짙은 yellow에 가까워 혼합 비율에 따라서 광학적 특성이 변화하는 것으로 해석된다. 골판지 원지가 신문원지에 혼합됨에 따른 백색도 저하, Hunter b*값의 증가는 신문지의 탈묵, 표백 등 조성공정에서 제어할 수 없는 문제점으로서 신문원지의 품질 저하와 밀접히 연관되어 있다. 따라서 신문지 재활용 공정에 혼입되는 골판지 폐지는 최대한 줄여야 한다고 여겨진다.
4. 결 론
본 연구에서는 다양한 이종 폐지의 혼합 비율에 따른 종이 품질 및 초지 공정 변화에 대해 분석하였다. 폐신문지와 폐골판지에 회분함량이 높은 폐잡지가 혼입됨에 따라서 섬유 비율이 낮아지며 여수도가 증가하고 보류도가 저하되는 경향을 확인하였으며 또한 보류가 불량해지며 종이 강도가 약해지는 경향도 확인하였다. 폐골판지에 폐잡지를 혼합하는 경우 폐잡지 내의 무기안료 및 BKP가 종이 광학적 특성에 긍정적인 영향을 미치나 회분 함량이 높아져서 강도에 큰 문제가 생기게 된다. 폐신문지에 폐잡지를 혼합하는 경우 지료의 백색도가 향상되고 색상이 밝아지는 장점이 있으며 폐잡지에서 오는 미분화된 코팅 안료가 기포의 안정성을 향상시켜 탈묵 효율을 개선할 수 있으나11) 회분의 함량이 높아지면 강도 및 최종수율이 낮아지는 단점을 초래할 수 있다. 또한 미분화된 코팅 안료로 인하여 마이크로 점착성 이물질 관련 오염이 생길 수 있다.12)
폐신문지에 폐골판지를 혼합하는 경우 폐골판지의 회분 함량이 높기 때문에 폐골판지 비율이 높아질수록 종이 강도가 저하되고 벌크가 낮아지며 상대적으로 저급한 폐골판지로 부터 기인한 마이크로 점착성 이물질 관련 오염이 우려된다. 하지만 반대로 폐골판지에 폐신문지를 혼합하는 경우는 탈수저항이 조금 늘어나는 것 이외의 악영향은 없기 때문에 종이 품질 및 초지 공정을 향상시킬 수 있을 것으로 사료된다.







