1. 서 론
바이오 숯(biochar)은 기존의 사용방식에서 벗어나 전 세계적으로 새로운 친환경 재료로 주목받고 있으며1) 바이오 숯의 제조방식은 한국 전통 숯 제조방식과 유사하여 생산 유통되고 있는 전통 숯 역시 바이오 숯으로 간주되어진다. 바이오 숯으로 불리는 여러 종류의 물질들 중에서 그린루프에 사용가능한 재료물질들을 찾고자하는 노력은 바이오 숯이 중금속을 포함한 여러 오염물질들을 제거하는 능력과2) 높은 수분 흡수율을 통하여 단시간에 많은 양의 물을 저장할 수 있는 능력 때문이다.3) 바이오 숯을 그린루프에 적용함으로써 기존의 효과들에 더해 식물생육을 돕는 역할도 같이 하여야하는데, 기존의 연구에 의하면 모래 기반의 상토에 바이오 숯을 추가 한 결과 25%의 물 저장효과를 향상시킬 수 있었고, 바이오 숯의 비율을 증가시킨 결과 유기탄소 함량이 증가하였으며 반대로 질소용탈은 줄여주는 효과가 있음이 증명되었고4) 또 다른 실험에서는 바이오 숯을 그린루프가 조성되어 있는 토양에 7% 추가 혼합함으로써 물의 저장량을 향상시키면서 질소, 질산염, 인산염, 유기탄소의 용탈은 줄여주는 효과가 있는 것으로 보고되었다.5) 바이오 숯을 그린루프에 적용하기 위한 노력들은 꾸준히 진행되고 있으나 아직 기초연구들이 부족하고 국제적 기준이 정해지지 않아 여러 방식의 실험들이 진행되고 있다. 여기에 더해서 최근 기후변화로 인한 도시 내 자연재해의 발생 빈도가 높아지고 국지적 가뭄의 발생이 일어나는 등 물의 부족과 홍수 피해라는 극한 상황이 연이어 반복됨에 따라 도시 내에서의 물관리가 중요한 이슈가 되고 있다.6) 이러한 문제점들을 극복하기 위하여 그린루프 설치를 하나의 해결방안으로 보고 적극적으로 도입하고 있는 실정이며 그린루프 설치를 통해 도시에서 가져올 수 있는 이점으로 공기의 질적 개선, 열섬현상 완화, 에너지 절약, 생태계 복원 등이 있다.7) 또한 그린루프는 상당량의 빗물을 저장하여 단시간에 우수관을 통해 하수처리시설이나 수체(water body)로 흘러들어가는 것을 막는 효과가 있으며8) 도시 홍수 발생의 위험을 줄여주고 빗물을 정화하여 도시의 물 순환의 균형을 잡아주는 역할을 한다.9,10) 이러한 많은 장점에도 불구하고 기존의 건물에 그린루프 설치 시 하중이 제한요인이 되기 때문에 토양 및 식물의 하중을 고려하여 관리 중량형(intensive green roof)보다는 저관리 경량형(extensive green roof) 위주로 보급되고 있다.11) 따라서 가벼우면서도 친환경재료여야하고 수분흡수 능력이 뛰어나면서도 식물생육에 도움을 줄 수 있는 바이오 숯의 종류중 하나인 한국 전통 숯의 기능적 특성을 연구하여 그린루프 재료로 사용 가능한지 알아보고자 본 실험을 수행하게 되었다.
2. 재료 및 방법
2.1 공시재료
본 연구에서 사용한 재료는 목탄의 기능적 분석을 위하여 전국 각지에서 전통방식으로 생산된 숯을 구매하거나 자체 생산하여 실험에 이용하였으며, 이들 목탄 중 낙엽송으로 자체 생산한 기계 숯 한 종류와 전통 흑탄 두 종류, 백탄 세 종류를 구입하여 실험에 사용하였다(Table 1). 실험 재료로 선택된 숯들은 절구로 파쇄 하여 칩의 형태로 만들고 이를 4.75 mm 표준체에 걸러 사용하였다.
Table 1.
Description of the samples12)
2.2 실험방법
2.2.1 인공강우기 제작 및 강우강도 설정
인공강우 실험을 실시하고자 FAO에서 제시하고 있는 인공 강우기 제작에 필요한 요소들을 참고하고12,13) 인공 강우기를 실험에 이용한 사례들을 참조하여 직접 소형 인공강우기를 제작하였으며(Fig. 1) 노즐의 개수, 수압계와 조절밸브를 이용하여 분사량을 조절하면서 반복실험을 통하여 강우량과 강우강도를 산출하였다. 강우량의 정확한 측정을 위하여 인공 강우기의 빗물이 분사되는 아래쪽에 빗물 수집 장치(tipping bucket rain collector, Spectrum Technologies Inc., USA)를 설치하고 수집 장치를 통과하는 인공강우량을 측정하기 위해 로그(Watchdog 1000 Series Micro Stations, Spectrum Technologies Inc., USA)를 연결하였다. 분단위로 강우량을 기록한 로그 데이터를 바탕으로 본 실험에서는 강우 실험을 위한 세 가지 설정을 채택 하였으며 실험재료인 칩 형태의 숯이 강우 실험 중 이탈하는 것을 막기 위해 지름 20 cm의 스테인리스 체에 담아 빗물 수집 장치 안에 넣었다. 인공 강우 실험에 사용된 실험 환경은 10분 강우 실험에서는 40 mm(강우강도 240 mm/h, 노즐 4개, 수압 1.5 bar), 1시간 강우 실험에서는 70 mm (강우강도 70 mm/h, 노즐 4개, 수압 1 bar), 1일 강우 실험에선 715 mm(강우강도 29.8 mm/h, 노즐 2개, 수압 0.5 bar)로 설정하였다.
2.2.2 함수율 측정
일반적인 환경에서의 함수율과 가장 많은 강우량에 노출되었을 때를 비교하기 위해서 실험 시작 직전과 1일 강우 실험을 끝난 직후 두 번에 걸쳐 실시하였으며, 실험에 사용한 숯 여섯 종에 대해 3회 반복하여 측정하고 Eq. 1을 이용하여 계산하였다.
여기서, Mn: 샘플의 함수율,
2.2.3 수분증가량분석
세 차례에 결처 다른 강우 강도와 강우 시간을 적용한 인공 강우 실험 후 증가한 무게를 측정하여 실험전과 후의 무게를 비교하고 각각의 숯이 흡수한 수분 증가량을 산출하여 각각의 숯이 세 가지 다른 강우조건에서 어느 정도의 수분함유 능력을 발휘하는지 Eq. 2를 이용하여 계산하였다.
여기서, Wn: 샘플의 수분증가량,
3. 결과 및 고찰
3.1 함수율 분석
전통 숯 중 흑탄의 함수율은 평균 5.7% 백탄의 함수율은 7.9%로 보고되었으며14) 본 실험에 사용된 흑탄 세 종류의 함수율은 Table 2에서와 같이 기계 숯은 7.2%, 전통 흑탄 두 종류는 4.7%-6.1%로 나타났고, 백탄 세 종류는 9.0%-9.8%로 백탄의 초기 함수율이 상대적으로 높은 것으로 측정되었다. 세 번의 강우 실험 중 하루 동안 715 ㎜의 강우량을 기록한 실험이 가장 오래 동안, 가장 많은 양의 물을 지속적으로 분수하여 숯들이 가장 많은 수분을 함유하게 되었으며 따라서 함수율의 증가폭이 가장 크게 나타났다. 가장 높은 함수율을 보인 것은 MC로 63.4%(8.8배) 증가하였으며, TBC2 역시 54.7%의 함수율을 기록하여 8.9배 증가하였다. 반면 가장 낮은 함수율을 기록한 TBC1도 증가폭은 7.7배로 나타나 함수율은 낮았으나 함수능력은 높은 것으로 판단되었다. 반면 백탄은 함수율 변화에 있어서 초기 값과 실험 후 값이 숯의 종류에 상관없이 서로 비슷한 수치를 보여주고 있으며 증가폭도 4.8배에서 5.3배 사이로 균일한 수치를 보여주는 특징을 가지고 있었다. 전체적으로 보아 기계 숯과 흑탄이 함수율과 증가폭이 백탄에 비해 우수한 것으로 판단되며 이는 공극율과 평균세공직경에 정(+)의 상관관계가 있는 것으로 보여 진다. 비표면적은 탄화 온도에 관계된 것으로 탄화온도가 높을수록 높은 비표면적을 가지게 되는데14) 본 실험 결과 비표면적과 총세공용적이 적을수록 함수율의 증가율이 높은 것으로 나타났다. 강우 실험 결과 함수율의 증가에 있어서는 백탄보다 흑탄이 증가폭이 높은 것으로 측정 되었으나 흑탄중 경도가 가장 높았던 TBC1의 경우 함수율이 가장 낮은 것으로 조사되어 흑탄이라도 경도가 높은 경우 최대함수율은 낮을 수 있을 것으로 판단된다. 백탄은 흑탄에 비해 최대 함수율이 낮은 반면 최대 함수율과 증가율의 편차가 크지 않고 균일하게 나타나는 특징을 보였다. 결과를 종합해보면 참나무로 제조된 전통 숯 5종류에 비해 낙엽송으로 제조된 기계 숯이 가장 높은 함수 능력을 가지는 것으로 나타났으며 흑탄이 백탄에 비해 함수 능력에서는 조금 더 나은 것으로 판단된다.
Table 2.
Moisture content analysis and porosimetry analysis
Note. porosity, BET surface area, total pore volume, and average pore diameter were referenced.12)
3.2 수분흡수 능력분석
강우강도에 따른 세 가지 설정에 따라 시행된 실험결과 강우강도가 가장 강했던 10분 실험에서는 Table 3에서와 같이 MC가 60.1% 무게증가로 수분흡수 능력이 가장 높은 것으로 나타났으며 TBC1이 28% 무게증가로 가장 낮아 MC와 두 배 이상의 흡수 능력의 차이가 있는 것으로 나타났고 나머지 숯들은 큰 차이가 나타나지 않았다. 1시간 강우 실험에서는 Table 4에서 보여주는 것과 같이 MC의 경우 10분 실험에서와 거의 유사한 무게변화를 보여주었고, 반면 공극율이 두 번째로 높았던 TBC2가 10분 실험에 비해 20% 이상 무게증가를 보이면서 총 51.8%의 무게가 증가되어 지속적인 강우 발생 시에 더 많은 수분을 함유하는 특성을 가진 것으로 판단된다. 나머지 숯들의 무게 증가폭은 크지 않았으며 경도가 가장 높았던 TBC1과 TWC2의 경우 10분 실험과 1시간 실험에서 가장 낮은 무게 증가를 보여 주었다. 24시간 실험에서는 총 강우량이 715 mm로 가장 많았는데 Table 5에 정리된 측정 결과를 보면, MC의 경우 146.3%의 무게 증가로 숯 무게의 약 1.5배에 달하는 물을 저장하는 것으로 나타났고, TBC2가 78.7%로 두 번째로 높은 무게 증가를 보여주었다. TBC1은 짧은 시간에 수분을 흡수하기보다 시간이 지나면서 점차 흡수량이 증가하는 것으로 나타났으며, TWC1과 TWC3은 시간이 지나고 강우량이 증가하면서 소폭 상승하는 경향을 보여주었고 TWC2의 경우 세 번의 실험 모두에서 유사한 수치의 무게 증가를 보여주어 강우강도와 강우 시간에 관계없이 강우 초기에 수분 흡수량이 최대치에 도달하는 것으로 나타났다.
Table 3.
The amount of adsorbed water after rainfall (10 minute)
| MC | TBC1 | TBC2 | TWC1 | TWC2 | TWC3 | |
|---|---|---|---|---|---|---|
| Weight at start (g) | 106.1 | 199.2 | 145.3 | 184.4 | 229.5 | 209.2 |
| Weight after rainfall (g) | 170.7 | 255.0 | 203.4 | 262.7 | 309.2 | 294.7 |
| Weight gain (%) | 60.1 | 28.0 | 40.0 | 42.5 | 34.7 | 40.9 |
Table 4.
The amount of adsorbed water after rainfall (1 hour)
| MC | TBC1 | TBC2 | TWC1 | TWC2 | TWC3 | |
|---|---|---|---|---|---|---|
| Weight at start (g) | 114.1 | 202.8 | 142 | 172.8 | 236.9 | 191.4 |
| Weight after rainfall (g) | 182.3 | 271.6 | 215.6 | 251.4 | 318 | 277.3 |
| Weight gain (%) | 59.8 | 33.9 | 51.8 | 45.5 | 34.2 | 44.9 |
Table 5.
The amount of adsorbed water after rainfall (1 day)
| MC | TBC1 | TBC2 | TWC1 | TWC2 | TWC3 | |
|---|---|---|---|---|---|---|
| Weight at start (g) | 88.1 | 203.8 | 141.0 | 173.2 | 242.5 | 192.7 |
| Weight after rainfall (g) | 217.0 | 294.1 | 252.0 | 266.1 | 323.7 | 283.7 |
| Weight gain (%) | 146.3 | 44.3 | 78.7 | 53.6 | 33.5 | 47.2 |
강우강도에 따른 수분흡수 능력은 그린루프 재료 물질로 적합한지 판단하는 하나의 근거자료이다. 특히 도시홍수를 방지하기 위해 폭우가 왔을 때 빗물을 흘려보내지 않고 저장할 수 있는 기능은 홍수 예방의 필수 기능 중에 하나로 여겨지며 이번 실험 결과를 토대로 이러한 기능을 가장 잘 수행할 수 있는 숯은 MC로 나타났으며 TBC2 역시 우수한 재료 물질로 선택할 수 있는 것으로 판단된다. 흡수 능력 실험 결과에서도 함수 능력에서와 같이 낙엽송으로 제조된 MC가 가장 우수하였으며 흑탄이 백탄보다 전반적으로 우수한 것으로 판단된다.
3.3 수분증발 능력분석
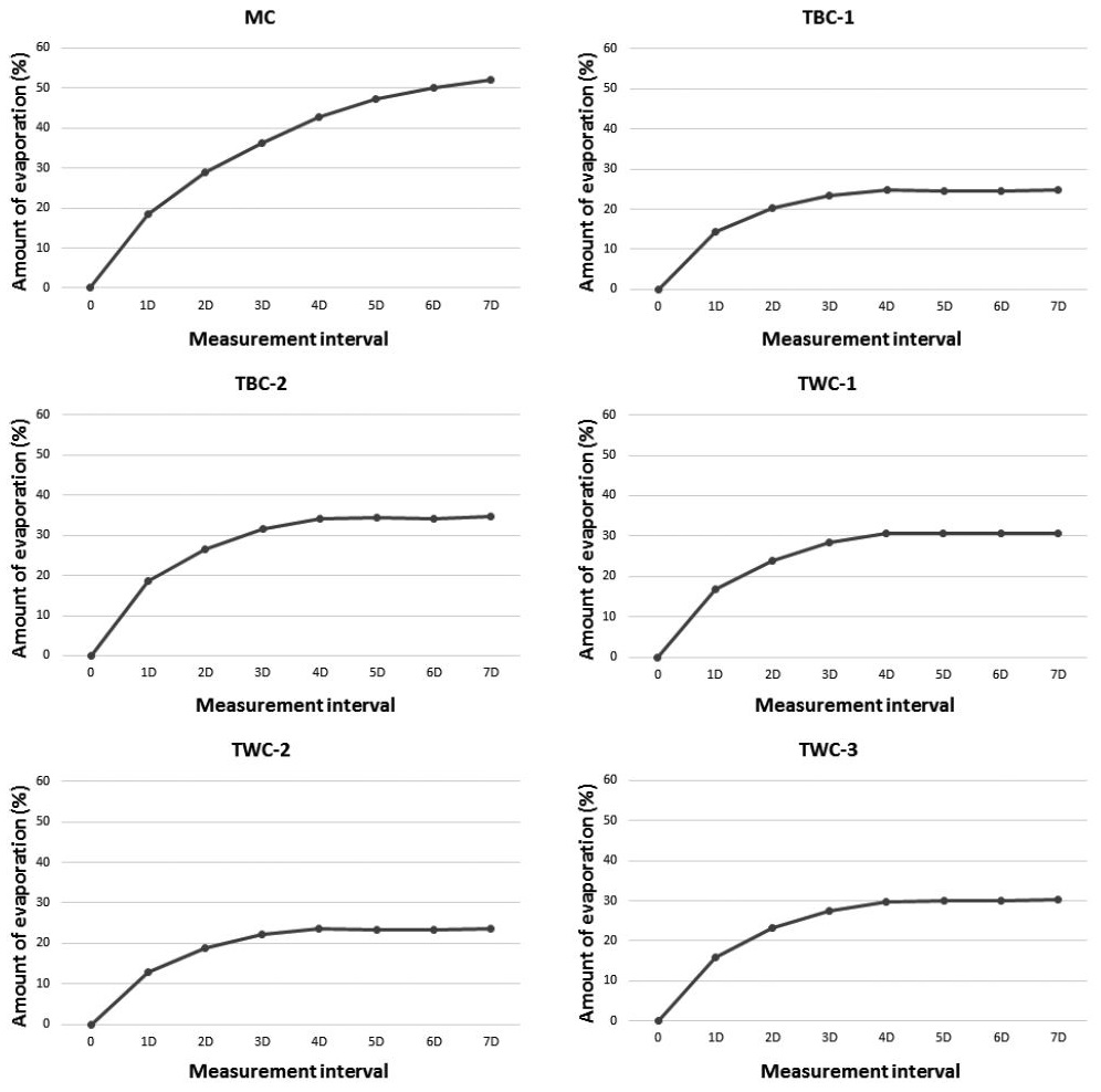
세 조합의 다른 강우 환경의 강우강도와 시간에서 실험된 숯들의 증발량을 측정한 결과 최대 7일이 경과하면 모든 수분을 증발시키고 기존의 무게로 돌아가는 것을 확인하였다(Figs. 2, 3, 4). 10분 강우실험과 1시간 강우실험 이후에 실시된 증발실험은 6종류의 숯 모두에서 비슷한 증발 패턴을 보여주었는데 MC는 10분, 1시간 강우실험 후 첫 24시간동안 약 20%의 수분을 증발시키고 2일째 30% 정도 증발한 후 증발 속도를 늦추면서 6, 7일이 되어서 거의 모든 수분을 증발하는 패턴을 보였고, TBC1은 첫 24시간 동안 약 13-14%의 수분을 TWC2는 13-16%의 수분을 증발시킨 후 3일까지 거의 대부분의 수분을 증발시키고 이후에는 더 이상의 수분 증발이 없거나 극히 적은 것으로 나타났다. TBC2, TWC1, TWC3은 4일까지 증발량이 증가하다 이후 더 이상의 수분 증가가 일어나지 않았다.
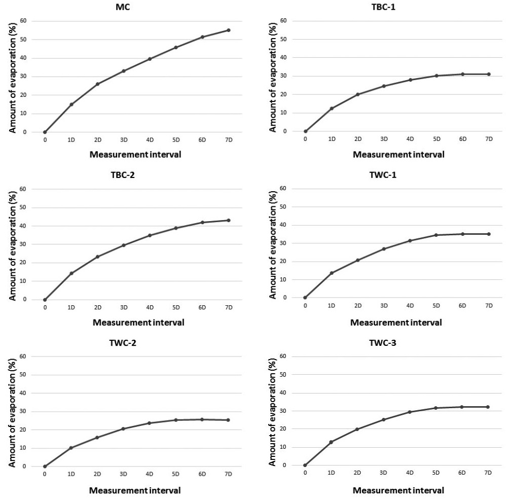
Fig. 4에서 보여주는 것과 같이 1일 강우실험 이후의 증발실험에서는 수분함량이 이전 두 실험에 비해 높아지면서 증발 패턴도 다르게 나타나는 모습을 보여주었다. MC는 초기에 증발량이 많이 발생하다 줄어드는 패턴과 달리 6일까지 비슷한 양의 수분을 증발시키는 일직선에 가까운 패턴을 보였고, TBC1과 TWC2는 5일간 증발량이 증가하는 패턴을 보여 함수량의 증가로 인한 수분 증발 기간이 길어진 것으로 판단된다. TBC2는 앞선 두 실험에서와 달리 함수량이 78.7%까지 상승한 결과 7일간 수분 증발이 이루어 진 것으로 나타났으며 TWC1과 TWC3은 5일간 수분 증발이 발생하다 멈추는 패턴을 보였다. 1일 강우실험의 강우량이 715 mm로 최대치였던 점과 함수율 역시 가장 높았던 점이 전체적인 증발량의 증가와 기간의 연장에 영향을 미쳤던 것으로 판단된다.
4. 결 론
인공강우기를 이용한 실험결과 6종의 바이오 숯 모두 수분을 단시간에 흡수하고 장시간 함유한 상태에서 천천히 증발시키는 특성을 나타내어 그린루프의 재료물질로 사용하기 적합한 것으로 판단되었다. 각각의 숯들의 함수능력에 있어서는 서로 차이가 나는 것을 실험을 통해 확인하였으며 공극률이 높을수록 함수율도 높으며 함수능력도 상대적으로 높은 것으로 나타났다. 하지만 경도가 높은 숯의 경우 비슷한 공극률을 가진 숯들에 비해 함수능력이 낮은 것으로 나타나 그린루프 재료로 사용하는 것에 제약이 있을 수도 있으므로 사용 전에 고려해 보아야 할 것으로 판단된다. 연구결과 흑탄의 함수율과 수분저장능력이 백탄에 비해 우수한 것으로 판단되며 수분 증발능력에 있어서는 뚜렷한 차이를 찾아보기 힘들었다. 결과를 종합해보면 6종의 숯 모두 그린루프의 수분조절 능력을 충실히 수행할 수 있는 기능적 장점이 있음이 증명되었고, 이중에서도 낙엽송으로 제조된 숯(MC)이 최대 146.3% 수분을 저장할 수 있었고 증발기간도 가장 길었으며 다른 종류의 숯들에 비해 무게도 가장 가벼워 단 시간의 집중 강우뿐만 아니라 장마철 가뭄 등에 가장 효과적으로 대처할 수 있는 바이오 숯으로 판단할 수 있었다.






