1. 서 론
최근, 생활수준 향상으로 생활폐기물과 사업장 폐기물 발생량 증가로 다양한 유해물질이 해양, 식수, 토양 혹은 대기 등을 통해 직접 또는 간접적으로 환경오염을 가속화시키고 있다. 이러한 유해물질들은 식품뿐 아니라 국민 보건관련 분야인 의약품, 화장품, 생활용품, 의료기기 등의 매체를 통해서 노출되고 있어 인체에 유해한 영향을 미칠 가능성이 점점 높아지고 있다. 특히 중금속은 생물권을 순환하며 먹이연쇄반응을 통해 인간에게 이동하는 것으로 알려져 있다.1)
대표적인 유해중금속인 납(Pb)은 아연정련, 건전지 및 축전지 제조, 인쇄공업, 크레용 및 페인트 안료, 농약, 자동차 배기가스 등에서 발생된다. 납은 과잉으로 섭취된 경우, 아동에게는 기억력감퇴로 학습 및 행동장애를 일으키고 신체발육에 영향을 미치게 되며, 어른은 고혈압과 신경계의 기능을 저해시킨다.2) 카드뮴(Cd)은 아연정련, 카드뮴 축전지, 전기도금 카드뮴합금, 페인트 및 플라스틱 안료, 형광등 제조시설 등에서도 배출된다. 카드뮴의 인체에는 골연화증을 유발하고, 뼈의 관절부의 이상 초래, 신경, 간장, 호흡기, 순환기 계통의 질병을 일으키고, 체내에 흡수된 카드뮴의 농축으로 인해 ‘이따이따이병’을 일으키는 물질로 널리 알려져 있다.3)
이에 전세계적으로 유해중금속의 관리 및 규제 방안들을 제시함과 동시에 대기, 토양, 수질에 노출된 유해중금속을 제거하고자 다양한 기술들을 개발하고 있다. 특히 수질에 있어서 중금속 성분은 생체 내에 축적될 뿐만 아니라 인간생존을 위협하는 주요 원인으로 이러한 유해 중금속의 제거를 위한 방법으로는 응집침전법, 이온교환법, 흡착법을 많이 사용하고 있다.4) 그러나 이러한 방법들은 처리에 필요한 에너지 소모가 많고 유지관리 비용이 많이 들어 비경제적이며, 특정 처리조건을 만족시켜야 처리의 효율을 높일 수 있다는 커다란 단점을 가지고 있다. 또한 재생 시 심각한 2차오염이 발생할 수 있고, 처리 부산물로 다량의 슬러지를 발생시키는 문제점을 가지고 있다.5) 이러한 처리 방법의 문제점을 보완하기 위해 경제성이 있으면서 중금속 제거효율이 우수한 천연 생물소재 이용에 관한 연구가 활발하게 진행 중에 있다.
셀룰로오스는 식물세포벽의 주 구성성분으로 자원양도 풍부하고 환경친화적인 천연소재로 사용되어지고 있다. 구조적으로 β-D-glucose가 1-4 glucopyranoside 단위로 구성된 장쇄 선형 고분자로 많은 수산기를 가지고 있다. Khan과 Wahab은 진한 황산으로 처리된 옥수수대를 이용한 구리 흡착에 관한 연구에서 금속이온을 흡착시켜 제거가 용이한 작용기는 산소를 함유하고 있는 –OH, -COOH, -COO라고 보고하고 있어6) 셀룰로오스가 중금속제거에 효율적인 소재로 활용이 가능할 것으로 생각된다. 그러나 셀룰로오스는 분자 간, 분자사이에 형성된 강한 수소결합에 의해 열에도 녹지 않고, 일반 용매에도 용해되지 않는 특성을 가지고 있어 셀룰로오스 이용에 장해가 되고 있다. 최근, 이러한 셀룰로오스를 lithium chloride(LiCl)/N,N-dimethylaceamide(DMAc)7), N-methyl morpholine-N-oxide (NMMO)8), NaOH/urea9), ionic liquid10)등과 같은 용매들을 활용한 용해법 개발로 새로운 용도로 전개가 기대된다. 그 중 하나가 셀룰로오스를 용해시켜 재생되는 과정에서 형성되는 나노공극과 고비표면적의 다공성 구조가 기존 중금속 흡착제를 대체할 수 있는 소재로 활용할 수 있을 것으로 기대하고 이에 연구들이 수행되고 있다.11,12) 그러나, 재생된 셀룰로오스 겔 형태에 따라 흡착에 의해 중금속 제거율을 비교 평가한 연구는 아직 없다.
본 연구는 경쟁력 있는 유해중금속 저감기술을 확보하기 위해 재생가능하고, 환경 친화적인 소재인 셀룰로오스를 LiOH/urea 수용액을 이용하여 용해시켜 제조한 재생 겔에 대해 형태별 다공성 및 카드뮴, 납 흡착 특성을 검토하였다.
2. 재료 및 방법
2.1 공시재료
본 연구는 순수한 셀룰로오스로 여과지(Whatman No.4)를 이용하였다. 여과지는 해리기로 해리시킨 후 동결건조시켜 120 mesh 스크린을 이용하여 분말로 제조하여 원료로 이용하였다.
2.2 실험방법
2.2.1 LiOH/urea를 이용한 셀룰로오스 용해
셀룰로오스 용해에는 LiOH(lithium hydroxide)/urea/H2O(8:12:80 w/w)를 중량비로 혼합한 수용액을 이용하였다. 용해온도 조건은 LiOH/urea 수용액의 온도를 –10℃로 하였다. 이때 셀룰로오스 농도는 1-3%(w/w)로 조절되었다. 설정된 온도에서 원료와 혼합된 상태에서 10분간 교반하며 용해시켰다. 용해과정에서 발생된 기포를 제거하기 위해 3,500 rpm으로 15분 동안 20±1℃의 온도 조건에서 원심분리를 실시하였다. 이 후 EtOH를 이용해서 재생시켰다. 재생된 겔은 틀에 넣고 흐르는 물에 24시간 동안 방치하여 수세하였다. 이후 ethanol(EtOH)과 tert butyl alcohol(t-BuOH) 치환과정을 거쳐 동결건조하여 재생 셀룰로오스 겔을 제조하였다.
이때 재생 셀룰로오스 겔의 형태에 따른 특성을 비교 검토하기 위해 필름형과 비드형으로 제조하였다. 필름형은 50×50×2 mm3 크기의 유리판 위에 LiOH/urea수용액에 용해된 셀룰로오스용액을 부은 후 EtOH에 담가 제조하였다. 비드형은 스포이드를 이용하여 LiOH/urea수용액에 용해된 셀룰로오스용액을 EtOH에 한 방울씩 떨어뜨려 지름 5 mm 크기로 제조하였다. 비드형은 필름형에서 비표면적이 가장 높은 농도조건으로 제조하였다. 필름형 셀룰로오스 겔(FC: film type cellulose gel)은 재생겔 제조 시 사용된 셀룰로오스 농도에 따라 FC-농도(FC 1%, FC 2%, FC 3%)로 명명하였고, 비드형 셀룰로오스 겔(BC: beads type cellulose gel)은 셀룰로오스 농도 2%로 제조하였기 때문에 BC 2%로 명명하였다.
2.2.2 재생 셀룰로오스 겔의 특성 평가
2.2.2.1 자동질소가스흡착기에 의한 공극 특성 분석
재생 셀룰로오스 겔의 공극특성은 질소가스를 이용한 자동질소가스흡착분석기(BELSORP-mini II, MicrotracBEL Inc., Japan)로 측정하였고, Autosorb software를 이용하여 비표면적, mesopore, micropore를 분석하였다. 비표면적은 BET식(Brunauer–Emmett–Teller equation)을 이용하였으며, 총 세공부피는 상대압력 P/P0=0.99에서 흡착된 총 질소의 부피로부터 계산하였다.13) 평균 세공직경은 Eq. 1을 이용하여 구하였다.
2.2.2.2 유해중금속 흡착 특성
유해중금속에 대한 재생 셀룰로오스 겔의 흡착 특성 분석에는 카드뮴과 납을 이용하였다. 중금속을 이용한 인공폐수의 농도는 10, 25, 50, 100 ppm로 하였다. 농도별로 설정된 10 ml의 인공폐수와 함께 재생셀룰로오스겔 0.1 g을 투입하고 실온에서 shaking incubator를 이용하여 150 rpm으로 24시간 동안 교반시켰다. 중금속 흡착 후 상등액을 여과지(Whatman No. 2)에 통과시킨 후, ICP(Inductively Coupled Plasma, Teledyne Leeman Labs Co., USA)를 이용하여 중금속 흡착특성을 분석하였다. 이 때 pH를 4-6까지 변화시키면서 흡착에 의한 중금속 제거율을 측정하였다. 중금속흡착에 의한 제거율은 ICP를 이용하여 설정된 인공폐수의 초기농도에서 셀룰로오스 겔 흡착후 인공폐수의 잔류농도로 계산하였다.
2.2.2.3 FT-IR 분석
재생 셀룰로오스 겔에 대한 중금속 흡착 특성을 규명하기 위해 스캔 범위가 800-4,000 cm-1로 설정된 적외선 흡수 스펙트럼(VERTEX 70, Bruker, German)을 이용하여 분석하였다. 측정방법은 ATR(attenuated total reflection)법으로 실시하였다.
3. 결과 및 고찰
3.1 재생 셀룰로오스 겔의 공극특성
Fig. 1은 LiOH/urea 수용액을 이용하여 제조한 재생 셀룰로오스 겔들의 질소가스흡착 등온선을 나타낸 것이다. IUPAC(Intermational Union of Pure and Applied Chemistry)에서는 표준등온흡착선을 6종류로 구분하였다. Type I은 내부표면에 비해 상대적으로 작은 외부표면을 갖는 20 Å 이하의 micropore size로 이루어진 흡착제들에서 나타난다. Type II는 500 Å를 초과하는 macropore size를 갖는 흡착제들이나 비다공성물질들에서 나타난다. Type III은 기체분자들의 흡착거동에서 흔하게 나타나는 것은 아니나, 비다공성 탄소물질에 수증기의 흡착이 대표적인 예로 알려져 있다. Type IV는 모세관 응축현상에 의한 흡·탈착의 hysteresis를 보여주는 mesopore size (20-500 Å)를 갖는 흡착제들에서 나타나며, 산업적으로 널리 사용되는 대부분의 흡착제들이 이에 해당한다. Type V는 기체분자들과의 상호작용이 약한 다공성물질들에서 나타날 수 있다. Type VI은 단계적으로 다층흡착(multi layer adsorption)이 일어남을 보여주는 등온흡착선에서 나타난다.14)
LiOH/urea 수용액으로 용해시켜 제조한 재생 셀룰로오스 겔들의 흡착등온선은 셀룰로오스의 농도와 겔형태에 따른 차이는 없었으며, 상대압력 0.1 이하에서 micropore로 이루어진 부분이 관찰되고, 상대압력 0.8 이상의 부분에서 흡·탈착의 hysteresis를 보여주고 있어 IUPAC 분류 기준으로 볼 때 Type Ⅳ 형태로 나타나고 있는 것으로 판단된다.
다공성 구조의 재료들은 큰 부피의 기공과 넓은 비표면적을 가지고 있다. 이러한 다공성 구조의 평가는 비표면적, 기공의 크기분포, 기공의 부피 등에 대한 특성이 가장 중요하다. Table 1은 질소흡탈착등온선으로부터 구한 재생 셀룰로오스 겔들의 비표면적(SBET, specific surface area), 총 세공부피(Vt, total pore volume), 평균 세공직경(Dp, average pore diameter)을 나타낸 것이다.
Table 1.
Pore attribution of regenerated cellulose gelsPore attribution of regenerated cellulose gels
| SBET (m2g-1) | Vt (cm3g-1) (p/p0=0.99) | Dp (nm) | |
|---|---|---|---|
| FC 1% | 197.96 | 1.7949 | 36.269 |
| FC 2% | 238.95 | 2.7116 | 45.392 |
| FC 2% | 235.21 | 2.1739 | 36.970 |
| BC 2% | 295.26 | 3.1667 | 42.900 |
셀룰로오스로부터 제조된 필름형태 재생 겔(FC 1-3%)들의 비표면적은 셀룰로오스 농도가 2%로 하여 제조하였을 때 238.95 m2g-1로 가장 높게 나타났다. 그러나 같은 농도로 제조한 비드형태의 재생 셀룰로오스 겔(BC 2%) 295.26 m2g-1보다는 낮아 필름형태보다 비드형태가 비표면적이 높은 것을 확인하였다. 총세공부피도 비드형태(3.1667 cm3g-1)의 재생 셀룰로오스가 같은 조건의 농도로 제조된 필름형(2.7116 cm3g-1)보다 큰 것으로 나타났다. 평균 세공직경은 필름형태의 재생셀룰로오스 겔이 가장 큰 것으로 나타났다.
Fig. 2은 재생셀룰로오스 겔들의 세공분포도를 나타낸 것이다. 재생 셀룰로오스 겔들에 대한 세공분포도(PSD, pore size distribution)는 BJH(Barrett, Joyner, and Halendar)법15)을 이용하여 계산하였고, 세공크기별 평균직경에 대한 부피값(dVp/dlog (dp))의 분포를 200 nm 공극크기까지 나타냈다. 필름형 재생셀룰로오스는 셀룰로오스 농도에 따라 다른 세공분포를 보여주었다. 셀룰로오스 농도 2%로 하여 제조한 셀룰로오스 겔(Fig. 2, FC 2%)는 25-100 nm 사이의 공극들이 주로 분포하였다. 셀룰로오스 농도 3%로 하여 제조한 셀룰로오스 겔(Fig. 2, FC 3%)는 50-150 nm 사이의 공극들이 주로 분포하고 있는 것으로 나타났다. 그러나, 셀룰로오스 1%로 하여 제조된 셀룰로오스 겔(Fig. 2, FC 1%)와 비드형 재생셀룰로오스(Fig. 2, BC 2%)은 다양한 공극들이 분포하고 있었으며, 150 nm 이상의 큰 공극들도 존재하는 것으로 나타났다.
3.2 재생 셀룰로오스 겔의 유해중금속 흡착특성
Figs. 3와 4는 재생 셀룰로오스 겔을 이용하여 카드뮴 흡착에 의한 제거율을 나타낸 것이다. 셀룰로오스 농도는 2%로 하여 제조하였다. 전체적으로 인공폐수 농도의 증가에 따라 카드뮴 제거율이 감소되었다. 재생 셀룰로오스 겔의 형태에 따른 카드뮴 제거율은 필름형 겔이 50 ppm이상의 조건에서 카드뮴 제거율이 거의 없는 것으로 나타나, 비드형태가 필름형에 비해 좋은 카드뮴 제거율을 보여주었다. 흡착제에 있어서 pH의 영향은 매우 중요하다. 양이온 중금속의 경우, pH와 중금속 흡착과의 관계는 pH가 증가할수록 흡착량도 증가한다. 또한 pH가 매우 낮은 영역에서는 H+이온이 흡착제의 binding site와 결합하는 능력이 강해져서 중금속과의 경쟁이 일어나, 중금속 이온의 탈착현상으로 흡착이 잘 되지 않으며, pH,가 너무 높으면 metal hydroxide 형태의 침전이 형성되기 때문에 최적의 pH를 찾아야 한다고 언급하고 있다.16) 본 연구에서 pH 조건별 카드뮴 제거율은 비드형태가 pH 5의 조건, 필름형은 pH 6의 조건이 가장 좋은 제거율을 보여주었다.
Figs. 5과 6은 재생 셀룰로오스 겔을 이용하여 납흡착에 의한 제거율을 나타낸 것이다. 비드형 납 제거율(Fig. 5)은 pH의 조건에 관계없이 인공폐수 농도의 증가에 따라 증가하다가 50 ppm 이후의 조건부터 감소하는 것으로 나타났다. 인공폐수 농도 50 ppm의 pH 5조건에서 92% 정도의 가장 높은 납 제거율을 보여주었다. 필름형태 재생 셀룰로오스 겔의 납 제거율(Fig. 6)은 대체적으로 인공폐수 농도의 증가에 따라 감소하는 경향을 보여주었다. 그러나 pH 6의 경우, 인공폐수의 농도가 25 ppm 조건에서 다소 제거율이 높았다가, 감소하는 것으로 나타났다. 재생 셀룰로오스 겔의 형태에 따른 납 제거율은 비드형태가 필름형태에 비해 우수한 것으로 나타났다.
재생 셀룰로오스 겔을 이용한 카드뮴과 납 제거율은 납이 카드뮴에 보다 우수한 제거 효율을 보여주었다. Choi등은 납이 카드뮴에 비해 제거율이 높은 이유를 납의 흡착친화도가 카드뮴에 비해 크기 때문인 것으로 설명하고 있다.16) 따라서 본 실험결과에서도 흡착친화도가 높은 납이 카드뮴에 비해 높은 제거율을 보여주고 있는 것으로 생각된다.
3.3 재생 셀룰로오스 겔의 유해중금속 흡착특성 규명
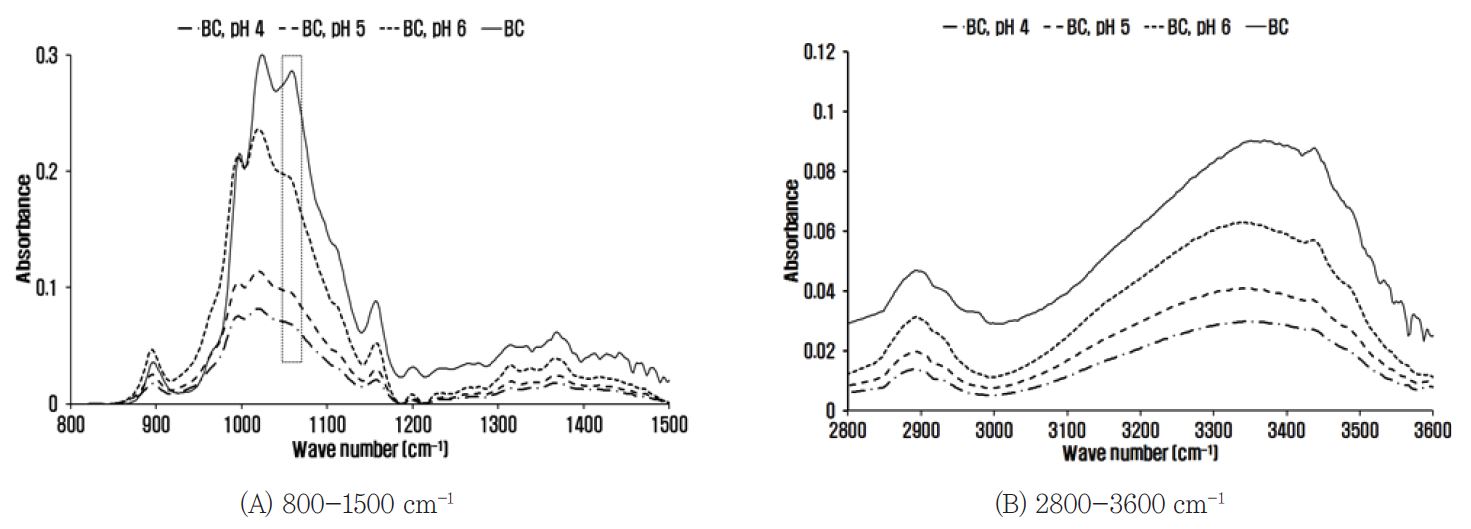
재생 셀룰로오스 겔에 대한 pH 별 중금속 흡착특성 규명은 비드형 셀룰로오스 겔을 인공폐수 25 ppm 조건에서 흡착시킨 것으로 검토하였다. FT-IR 스펙트럼 상에서 3100-3600 cm-1의 범위에서는 강한 수소결합에 의한 OH기의 피크가 나타났고, 2900 cm-1에서 CH2 신축에 기인하는 피크가 나타났다. 1000-1200 cm-1 범위는 셀룰로오스 ether 결합의 C-O 신축진동에 기인하는 피크가 나타나는 것으로 알려져 있다.17) 카드뮴 흡착 전(Fig. 7, CB)와 pH 조건에 따른 카드뮴흡착 후(Fig. 7, CB pH 4, 5, 6)에 대한 FT-IR 스펙트럼을 비교해 보면, 1060 cm-1의 피크가 카드뮴 흡착 후 없어진 것을 확인하였다. 이것은 중금속(Cd, Pb) 흡착과정에서 재생 셀룰로오스 겔의 OH기가 중금속 흡착에 관여하여 피크가 중금속 흡착 후 피크가 없어진 것으로 판단된다. 납 흡착에 따른 재생 셀룰로오스 겔의 FT-IR 스펙트럼도 카드뮴과 같은 결과를 보여주었다(Fig. 8).
4. 결 론
본 연구는 LiOH/urea 수용액을 이용하여 용해시켜 재생한 셀룰로오스 겔에 대한 공극특성 및 납, 카드뮴의 흡착특성을 검토하였다. 재생 셀룰로오스 겔은 셀룰로오스 농도를 2%로 해서 제조한 것이 비표면적이 높게 나타났다. 또한, 비드형태(295.26 m2g-1)로 제조한 것이 필름형태(238.95 m2g-1)제조한 보다 높게 나타났다. 세공분포는 필름형 재생 셀룰로오스 겔들이 50-150 nm 사이에 분포하고 있는 것으로 나타났지만, 비드형 재생 셀룰로오스 겔들에는 150 nm 이상의 큰 공극들도 존재하였다. 재생 셀룰로오스 겔을 이용하여 카드뮴과 납에 대한 흡착특성은 비드형태의 재생 셀룰로오스가 필름형태의 재생 셀룰로오스 겔보다 우수한 제거효율을 보여주었다. pH에 따른 중금속 제거율은 pH 5-6의 조건에서 다소 높은 효율을 보여주었다. 카드뮴과 납에 대한 흡착제거율은 납이 카드뮴에 비해 높게 나타났다. 카드뮴과 납 흡착 전과 후의 재생 셀룰로오스 겔에 대한 FT-IR 스펙트럼 분석으로 재생 셀룰로오스 겔의 중금속 흡착 능력은 셀룰로오스의 관능기와 흡착된 중금속의 상호작용에 기인하고 있는 것으로 나타났다. 따라서 LiOH/urea 수용액으로 셀룰로오스를 용해시켜 유기용매치환과 동결건조를 통해 제조된 재생 셀룰로오스 겔은 중금속 흡착에 비드형태로 제조하는 것이 중금속 제거에 효과적인 것으로 사료된다.










