1. 서 론
2. 재료 및 방법
2.1 공시 재료
2.2 펄프섬유 개질 및 섬유 특성 평가
2.3 수초지 제조 및 기계적 특성 평가
2.4 접힘터짐 저항성 평가
3. 결과 및 고찰
3.1 펄프 종류 및 고해도에 따른 섬유특성 및 기계적 특성의 접힘 터짐 상관성 분석
3.2 펄프 섬유 배합비에 따른 기계적 특성 및 점힘터짐의 상관성 분석
4. 결 론
1. 서 론
원활한 제품 보호와 종이 특유의 질감을 구현하기 위해 상자, 종이팩 등 패키징 용도와 전단지, 연하장, 메모지 등 문구류 등 다양한 분야에서 벌크 특성이 높은 고품질의 고평량지 수요가 증가하고 있다. 지속가능한 환경 유지를 위해 패키징 용지의 사용량을 줄이는 노력이 수행되었으나1), 지속적인 산업 유지와 경제적 순환 구조를 고려할 때, 제품의 재활용을 통한 자원순환 구조를 구축하는 것이 더 많은 가치가 유지된다는 의견이 공감대를 형성2,3) 하여, 종이 기반 패키징 산업은 보다 활성화되고 있다.
패키징 용지의 벌크 특성은 완충, 구조 유지와 같은 효과를 나타내는 주요 품질이다. 또한, 벌크 특성은 판지, 도공지 등 인쇄를 적용한 고품질 패키징 용지에 있어서도 동일한 효과를 기대할 수 있다. 이에, 종이의 벌크 특성을 향상시키고 유지하기 위해, 펄프 제품의 선택, 압착탈수부, 초지속도, 최종 건조도, 캘린더링 등 공정의 제어를 통해 벌크 품질을 조절하고 있다. 조도가 높은 활엽수 펄프를 사용하거나, 섬유의 고해도를 조절하는 방법은 벌크를 향상시키기 위한 기본적인 방법이다. 그러나, 고벌크 종이의 낮은 기계적 특성과 높은 두께특성은 접힘 가공에 의한 접힘 터짐을 유발하는 특성으로 여겨져4), 패키징 용지에서 요구되는 벌크와 접힘 터짐 저항 특성을 동시에 충족하는 방안에 대해 다양한 연구가 진행되어야 한다.
패키징 용지 등 고평량지는 대부분 접힘 가공(Folding process)을 통해 활용 분야별로 사용되며, 이러한 접힘 가공 중 접힘 터짐(Fold crushing) 불량이 발생되어 제지사의 경제성을 떨어트리는 주요 원인이 되고 있다. 접힘 가공 시 발생되는 지필구조의 변화는 극단적인 굽힘 메커니즘으로 발현되며, 이 때, 지필구조의 국부적인 표면 변형이 발생된다. 지필구조에 가해지는 응력은 접힘 방향에 따라 신장응력(외측)과 압축응력(내측)이 동시에 발생된다. 외측의 신장응력에 의해 발생되는 종이 구조의 붕괴는 접힘 터짐의 주요 불량유형으로 여겨지며, 접힘 터짐의 발생 원인을 밝히거나 개선하기 위한 방안을 찾기 위한 노력은 계속되어 왔다. 이러한 노력은 크게 원지와 코팅지 두 가지 측면에서의 고찰이 이루어지고 있으며, 모든 측면에서 접힘 터짐이 발생되는 것으로 보고되었다.5,6) 일반적으로 고평량지의 접힘 터짐은 저급한 원지의 물성, 수분조건 등에도 영향을 받으나7) 동일한 원지 및 수분 조건에서의 종이 물성에 영향을 미치는 펄프 섬유의 배합, 강도 증진제, 무기충진제 첨가량 등과 같은 원질 조성 조건이 큰 영향을 미치는 것으로 알려져 있다.8,9) 실제 도공원지의 침엽수 펄프 혼합비가 증가하거나, 벌크 특성이 높은 기계펄프, 재활용 펄프 혼합비가 높을 때, 접힘 터짐이 완화된다고 보고되었다.10) 또한 지필구조가 섬유간 결합면적의 감소로 인해 섬유결합강도가 낮게 나타날 때, 지필구조의 박리(Delamination)가 발생되어 표면에 가해지는 인장응력이 상쇄되면서 표면부의 접힘 터짐이 완화된다고 보고되었다.11,12) 이와 같이, 원지의 벌크 특성과 접힘 터짐에 대한 각각의 고찰은 다양하게 이루어졌으나, 패키징 용지의 주요한 두 가지 특성을 동시에 충족하기 위한 연구가 진행될 필요가 있다.
본 연구에서는 고평량지에서 사용되는 펄프 섬유의 종류, 배합비, 고해도와 같은 원료 조건의 제어를 통해 벌크 특성을 유지하면서 접힘 터짐을 개선할 수 있는 방안을 모색하였다. 점힙 터짐에 영향을 미치는 기계적 특성(인장강도, 파괴 신장률, 밀도, 내부결합강도)를 평가하고 낮은 함수율과 괘선처리를 진행하지 않은 상태에서 극단적인 접힘 가공을 수행하여 접힘 터짐 저항성을 평가하였다.
2. 재료 및 방법
2.1 공시 재료
펄프 섬유의 특성 및 종류에 따른 접힘터짐 적성을 평가하기 위하여 현장에서 사용되는 4종의 활엽수 펄프와 2종의 침엽수 펄프 제품을 준비하였다. 총 6종의 펄프 제품은 표백펄프 및 표백열화학펄프로 구성되며, 각 펄프의 제조에 사용된 목재칩의 수종은 다음 Table 1과 같다.
Table 1.
Species of raw wood chips and pulping method by pulp types
2.2 펄프섬유 개질 및 섬유 특성 평가
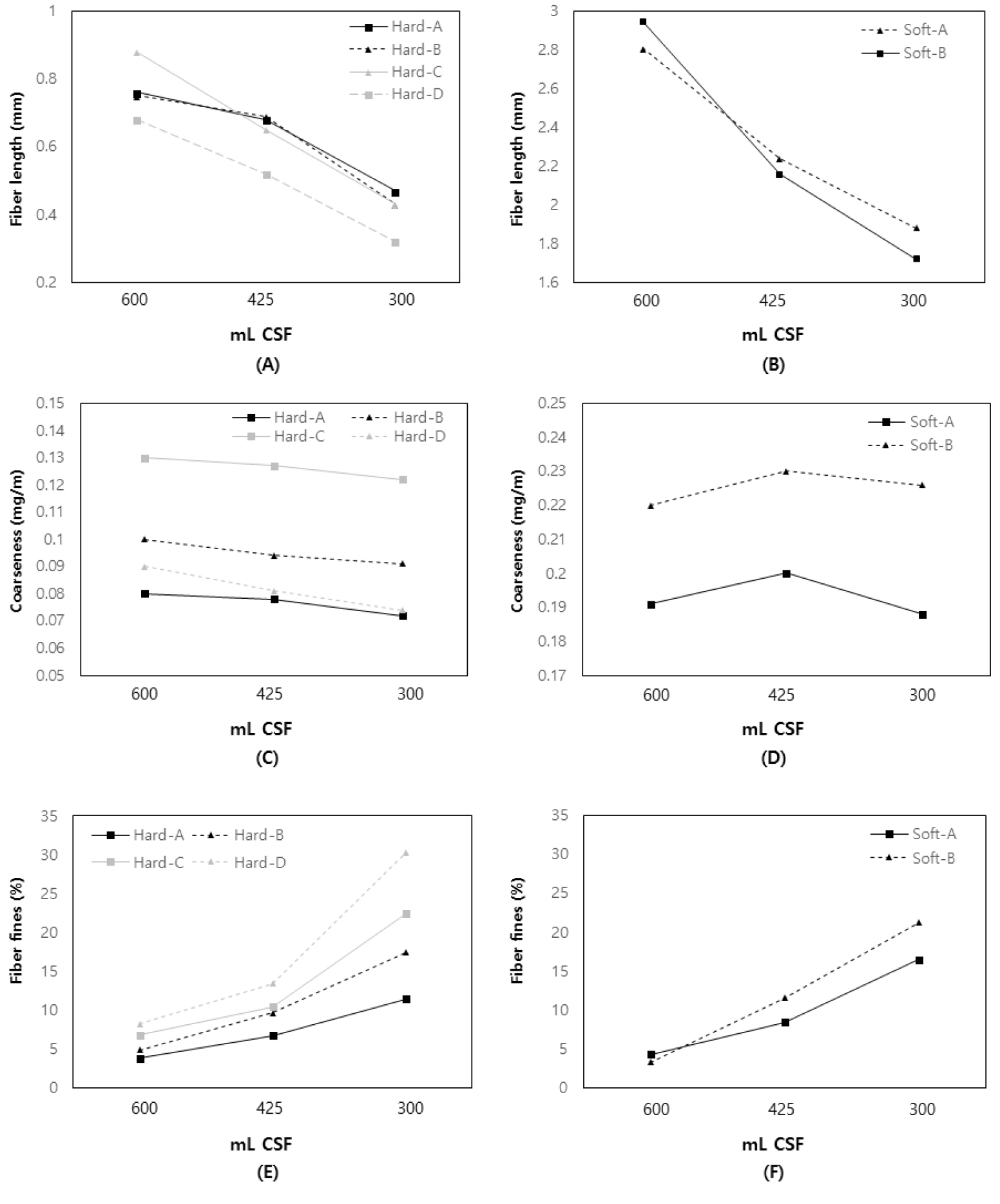
각각의 활엽수 및 침엽수 펄프를 실험실용 Valley beater (Valley beater, Daeil, South korea)를 이용하여 해리 및 고해하여, 600, 425, 300 mL CSF로 조성하였다. 각각의 고해도는 Canadian standard freeness를 통해 평가하였다. 해리 및 고해가 완료된 각각 펄프의 섬유장, 조도 등 섬유의 형태적 특성을 섬유장분석기(Morfi Analyzer, L&W)를 이용하여 분석하였다.
2.3 수초지 제조 및 기계적 특성 평가
고해도를 달리한 활엽수, 침엽수 펄프 지료를 이용하여 각각 수초지를 제조하였으며, 펄프의 배합비에 따른 영향을 평가하기 위해 425 mL CSF 로 조성된 활엽수 펄프와 침엽수 펄프 혼합 비율을 달리하여 수초지를 제조하였다(Table 2). 각각의 수초지는 200 g/m2의 평량으로 제조되었으며, 샘플은 20±5℃ 및 상대습도 50%의 조건에서 24시간 동안 균일하게 조습처리를 진행하였다. 이후, 제조된 각 조건의 고평량지의 기계적 특성을 평가하였다. 두께는 마이크로미터(L&W micrometer, USA)를 통해 측정하고 KS M ISO 534:2022에 의해 밀도 및 벌크로 산출하였다. 또한 KS M ISO 5270:2022에 의거하여 폭 15 mm의 시험편을 인장강도 측정기(L&W tensile tester, USA)를 통해 인장강도와 파괴 신장률을 측정하였다. 내부결합강도는 KS T 1329:2017을 기준으로 Scott bond 측정기(Zwick Roel Z-direction tensile tester, Swiss)를 통해 측정하였다.
Table 2.
Hand-sheet making conditions
2.4 접힘터짐 저항성 평가
접힘 터짐 저항성 평가는 극단적인 접힙응력을 모사하기 위하여 각각의 시험편을 180℃의 건조오븐에서 5분 간 존치하여 함수율 2% 미만으로 조성하고, 각 시험편을 접은 상태로 압력 20 kg/cm2의 롤프레스에 20 m/min의 속도로 통과시켜 접힘 압력을 부여하였다. 이후, 파괴된 정도를 육안적으로 평가하여 접힘터짐 여부를 “Normal”과 “Crushing”으로 구분하였다(Fig. 1).
접힘터짐 정도와 기계적 특성의 상관관계를 확인하기 위해 각 시험편의 기계적 특성(인장강도, 밀도, 파괴 신장률, 내부결합강도)를 변화율(Rate of change)로 환산하여 접힘터짐 여부와 비교분석하였다. 변화율은 다음 식(Eq. 1)을 통해 산출하였다.
R = Rate of change
D = Data value (Density, Tensile strength, Internal bond strength, Breaking length)
Vmin = Minimum value of all condition(total) data
Vmax = Maximum value of all condition(total) data
3. 결과 및 고찰
3.1 펄프 종류 및 고해도에 따른 섬유특성 및 기계적 특성의 접힘 터짐 상관성 분석
3.1.1 펄프 종류별 고해도 증가에 따른 섬유 형태적 특성 변화
고평량지 제조에 사용된 총 6종류의 펄프 섬유 고해도에 따른 섬유 형태적 특성을 평가하였다. 활엽수 펄프는 고해도 증가에 따라 섬유장 및 조도의 감소와 미세분의 증가가 확인되었으며, 활엽수 펄프의 종류에 따라서 각각 특성의 차이는 상이하게 나타났다. 특히 펄프 제품의 종류별 고해도가 증가할수록 미세분 발생율이 큰 차이를 보였다. Hard-A 펄프섬유는 고해도 증가에 따라서 3.8 %에서 11.4%로 7.6 %p 증가한 반면, Hard-B 펄프섬유는 8.3 %에서 21.3%로 약 13 %p 증가하였으며, 이는 Hard-A와 D 펄프섬유의 목재칩 원료가 상이한 결과로 판단된다. 표백크라프트펄핑(Bleached kraft pulping, BKP) 방법보다 표백열화학기계펄핑(Bleached chemi- thermo mechanical pulping, BCTMP) 방법이 미세분의 발생량이 많으며, Eucalyptus와 같이 단일 수종으로 구성된 펄프섬유가 미세분 발생이 적게 나타났다. 목재칩 원료의 수종과 펄프화 방법이 동일한 Hard-A와 B 펄프 섬유에서도 미세분 발생 차이가 관찰되어 목재의 조림 환경이나 펄프화 공정의 제어 조건에 따라 셀룰로오스, 리그닌 등의 성분조성이 상이하여 나타난 결과로 사료된다. 이는 세부적인 고찰이 필요할 것으로 보인다. 침엽수 펄프도 활엽수 펄프와 유사한 경향을 보이며, 수종 차이에 따른 미세분 발생량이 상이하였다. 고해도의 증가에 따라 섬유장의 감소 폭이 크게 나타났으며, 조도도 수종에 따라 큰 차이를 보였다. 결과적으로 목재칩 원료의 수종과 펄프화 방법의 차이는 섬유장, 조도, 미세분 함량에 큰 영향을 보여 지필구조 형성 시, 섬유결합면적 변화, 공극 형성, 섬유자체강도 변화 등 다양한 변수로써 종이의 기계적 특성에 영향을 미칠 것으로 예상된다. 특히, 미세분은 섬유 간 공극에 보류되어 섬유간 결합면적을 증대시켜 인장강도 등 강도특성이 증가되나 파괴 신장률 감소 등을 야기할 것으로 예상되어, 인장강도 및 파괴 신장률, 섬유간 결합강도, 두께 특성에 영향을 받는 접힘터짐과 상관관계를 형성할 것으로 보인다.
3.1.2 펄프 종류별 고해도 증가에 따른 기계적 특성 변화
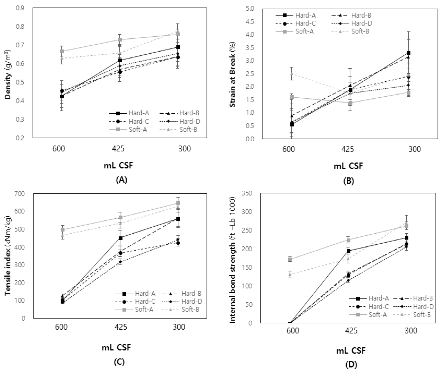
활엽수 및 침엽수 펄프의 종류별 고해도 증가에 따른 밀도, 파괴 신장률, 인장강도, 내부결합강도 특성을 Fig. 3에 나타내었다. 활엽수 펄프는 고해도 증가에 따라 모든 기계적 특성이 증가한 반면, 침엽수 펄프는 파괴 신장률의 감소가 관찰되었다. 이는 높은 인장강도와 내부결합강도를 띄는 지필구조의 인장력에 의한 파괴유형이 취성을 띄어 유연성을 상실한 결과로 판단된다. 활엽수 펄프의 높은 조도와 고해도 증가에 따른 높은 미세분 증가폭(Fig. 2)으로 인해 내부결합강도가 증가하고, 동시에 파괴 신장률이 증가하는 경향은 지필구조 내 공극 형성을 유지하고 섬유간 결합 면적이 증가되면서 상대적으로 유연한 지필구조가 형성된 결과로 판단된다. 활엽수 펄프의 600 - 300 mL CSF 범위에서의 고해도 변화는 기계적 특성의 지속적인 증가를 보여 접힘 터짐에 있어서 양호한 저항성을 보일 것으로 예상되며, 침엽수 펄프는 동일한 평량에서 낮은 두께 특성을 보이나, 과도한 인장강도, 내부결합강도에 의한 지필구조의 낮은 유연성으로 인해 접힘터짐에 취약할 것으로 예상된다.
3.1.3 펄프 종류별 고해도 증가에 따른 접힘터짐 저항성 평가
활엽수 및 침엽수 펄프를 고해처리하여 제조된 시험편을 극단적인 환경에서의 접힘 응력을 부여하여 접힘터짐 저항성을 평가하였다(Fig. 4). 활엽수 펄프는 600 mL CSF의 고해도에서 기계적 특성이 최소값을 보이며, 접힘터짐이 발생(HA-600, HB-600, HC-600, HD-600)되었으나, 고해도 증가에 따라 밀도, 내부결합강도, 인장강도, 파괴 신장률의 균형적인 증가폭을 보이며 접힘터짐이 개선되는 경향을 보였다(Fig. 4A). 반면 침엽수 펄프섬유는 600 mL CSF의 낮은 고해도에서 균형적인 기계적 특성을 보여 접힘터짐 저항성이 양호(SA-600)하였으나, 고해도 증가에 따라, 파괴 신장률이 감소(SA- 425, SB-425)하거나 증가(SA-300, SB-300)하고 밀도, 내부결합강도, 인장강도가 증가하면서 유연성이 낮은 지필구조가 형성되어 접힘터짐이 발생되었다(Fig. 4B). 이는 도공원지가 기준 이상의 물리적 특성을 보유할 경우, 오히려 접힘터짐을 야기한다는 연구8) 결과와 동일하게 나타났다. 또한 침엽수 펄프로 지필구조 형성 시 고해도 증가에 따라 밀도가 증가하여, 고벌크 특성을 유지하면서 접힘터짐을 동시에 개선하기 위해서는 425 mL CSF 이상의 고해처리를 진행한 활엽수 펄프를 배합하는 것이 최선일 것으로 판단된다.
3.2 펄프 섬유 배합비에 따른 기계적 특성 및 점힘터짐의 상관성 분석
3.2.1 펄프 섬유 배합비에 따른 기계적 특성 변화
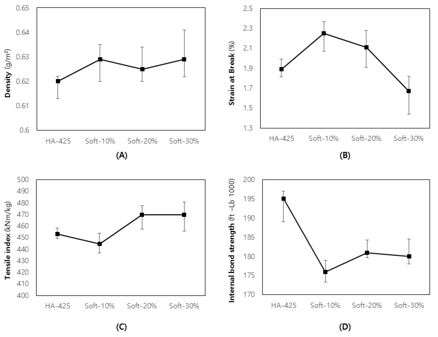
활엽수 펄프 대비 침엽수 펄프를 10, 20, 30% 배합하여 제조된 수초지의 기계적 특성을 Fig. 5에 나타내었다. 침엽수 펄프의 첨가량 증가에 따라 밀도와 인장강도는 소폭 증가하였으며, 내부결합강도는 소폭 감소하였다. 유의한 차이점은 파괴 신장률이 10% 첨가 조건(Soft-10%)에서 증가하고 첨가량 증가에 따라서 감소하는 경향을 나타내었다. 이는 앞서 설명된 지필구조의 낮은 유연성, 높은 취성에 의해 발현되는 유형과는 상이한 현상으로 보인다. 인장강도 및 밀도는 증가하는 반면, 내부결합강도는 감소하는 경향을 보였는데, 이는 침엽수의 긴 섬유장 및 높은 섬유자체강도로 인해 인장강도는 소폭 개선되지만, 지료 내에서 응집체(Floc)를 형성하여 지필구조의 균일성이 감소하면서 나타난 결과로 판단된다. 이러한 특성은 침엽수의 첨가량 증가에 따라 각 값의 표준편차가 증가하였는데, 섬유장이 긴 침엽수 펄프 섬유로 인한 응집체의 형성으로 지합이 불량해 진 결과로 보여, 앞서 확인된 결과를 뒷받침하는 요인으로 작용된다.13) 이후, 침엽수 펄프의 첨가량이 10%를 초과하여 증가함에 따라 내부결합강도가 다시 상승하게 되고, 기계적 특성이 과도하게 높아지면서 파괴 신장률이 감소하는 경향을 보였다. 이를 통해, 침엽수 펄프를 10, 20% 첨가하여 벌크 특성을 유지하면서 인장강도 및 파괴 신장률을 개선하여 최종적으로 접힘터짐 저항성을 증대할 수 있을 것으로 예상된다.
3.2.2 펄프 배합비에 따른 접힘터짐 저항성 평가
활엽수 및 칩엽수 펄프를 배합한 시험편의 기계적 특성을 변화율로 산출하여 접합터짐 여부와 비교평가 하였다(Fig. 6). 침엽수 펄프의 첨가량 증가에 따라 밀도, 인장강도, 내부결합강도의 변화율이 거의 동일하여, 큰 영향을 없는 것으로 확인된다. 그러나 파괴 신장률은 침엽수 펄프의 첨가량에 따라 유의한 차이를 보였는데, Soft-10%, Soft-20% 조건에서는 첨가하지 않은 조건보다 보다 유연한 지필구조를 보이는 것으로 확인된다. 접힙응력을 부여하여 접힙터짐 여부를 확인하였을 때, 모든 조건에서 “Normal”로 구분되었으나, 유사한 밀도, 인장강도, 내부결합강도에서의 파괴 신장률 개선은 보다 가혹한 접힙응력에도 접힘터짐 저항성을 보일 것으로 예상된다. 이에 따라, 고해처리를 진행한 활엽수 펄프에 침엽수 펄프를 첨가하여 사용할 경우, 고평량지의 고벌크 특성을 유지하면서 접힙터짐 저항성을 개선할 수 있는 방법으로 적용할 수 있을 것으로 판단된다.
4. 결 론
고평량지의 고벌크 특성을 유지하면서 접힘 터짐 저항성을 개선하기 위해 6종의 펄프 섬유를 물리적 개질처리(고해)를 진행하고 활엽수 및 침엽수 펄프를 배합하였으며, 각 조건에 따른 기계적 특성과 접힘터짐 저항성의 변화를 비교분석 하였다. 활엽수 펄프와 침엽수 펄프는 원료 목재칩의 수종, 펄프화 방법 등에 따라 고해 적성이 상이하게 나타났다. 고해도 증가에 따라 활엽수 펄프는 기계적 특성이 큰 폭으로 개선되었고, 보다 유연한 지필구조를 형성하여 접힘터짐 저항성이 크게 개선되었으나, 침엽수 펄프는 고해의 적용이 오히려 접힘터짐을 유발할 수 있는 결과를 나타내었다. 적정한 고해를 진행한 활엽수 펄프에 침엽수 펄프를 혼합하여 사용할 경우, 고벌크 특성을 유지하고 동시에 유연한 지필구조를 형성하여 접힘터짐을 더 개선할 수 있었다. 본 연구에서의 결과를 통해 고평량지의 벌크특성과 접힘터짐 저항성을 동시에 개선하는 방안을 확인하였으며, 이를 통해 향후 포장용 고평량 지류제품 제조 시 접힘 가공을 요구하는 지종의 기계적 특성을 개선하기 위한 자료로써 활용이 기대된다.








