1. 서 론
최근 플라스틱으로 인한 환경오염을 줄이기 위하여 친환경 소재인 천연섬유와 플라스틱의 복합체를 제조하고자 하는 연구가 다양하게 진행되고 있다.1-3) 섬유의 형태적 특성4), 화학적 특성5,6)과 함께 복합체 제조 시 형성된 플라스틱과의 접착력 등이 복합체의 품질과 제조효율 등에 영향하는 것으로 보고된 바 있는데7,8) 셀룰로오스가 보유한 친수성은 플라스틱 복합체의 충전제로서 활용에 심각한 걸림돌이 되고 있다.9) 극성의 섬유표면 친수성기는 복합체 내의 비극성 플라스틱 고분자와 균일한 혼합을 방해함으로서 플라스틱 복합체의 균일성 및 강도를 저하시키고 제품의 사출 작업성을 저해한다. 따라서 Hasani 등10)은 epoxyproyl trimethylammonium chloride를 이용한 cationic functionalization 방법으로 섬유의 친수성을 제어하고자 하였으며 Sassi와 Chanzy11)는 셀룰로오스의 acetylation법을 제안하였다. Yuan 등12)은 heat annealing을 통한 alkylenyl succinic anhydride 유도체화 방법을 이용하여 섬유표면을 개질하였다. 상기한 방법들은 반응 후 섬유의 친수성기를 제어하기에 매우 유효하나 용매 치환과정이 복잡하고 환경에 대한 유해성이 높다.9)
본 연구에 사용된 기상 그라프트 반응은 Samain13)이 chromatogenic chemistry라 명명한 기술에 근거한 방법으로서 고온에서 염화지방산을 기화시켜 염화지방산의 친수성 말단부분과 셀룰로오스의 수산기 간 에스테르 결합을 유도하고 염화지방산의 소수성 탄화수소 사슬 부분을 섬유표면에 도입하는 처리이다. 따라서 복합체 제조에 가장 큰 단점으로 작용하는 셀룰로오스 섬유의 친수성을 제어함으로써 셀룰로오스와 플라스틱의 상용성을 높일 수 있는 표면개질방법이라고 할 수 있다. 또한 염화지방산의 기상 그라프트 반응은 단시간 내에 발생하고 용매가 필요 없기 때문에 친환경적으로 셀룰로오스 섬유와 플라스틱의 복합소재 제조가 가능하다.
실험실 조건의 기상 그라프트 반응효율에 영향을 주는 주요인자는 염화지방산, 반응온도, 반응시간 등의 처리조건과 반응에 직접적으로 사용된 섬유의 특성 등이다. 염화지방산은 펄프섬유표면의 수산기와 만나 에스테르 결합을 이루어 수소를 알킬체인으로 치환하는 역할을 한다. 이러한 염화지방산의 그라프트 반응은 기화된 염화지방산이 셀룰로오스의 수산기와 만날 때 이루어지는 바, 만일 염화지방산이 공기 중의 수분과 반응할 때에는 염산과 염화지방산이 형성되는 부반응을 피할 수 없다. 아울러 전술한 부반응으로 형성되는 염산은 기존의 에스테르 결합을 끊어내는 촉매로 작용하여 궁극적으로 기상 그라프트 반응을 통한 수소의 알킬기 치환효율을 저하시키는 원인이 된다. 따라서 에스테르 결합형성 이외의 전술한 부반응을 억제하는 것이 기상 그라프트 반응효율을 높이는 데 결정적이라 하겠다. 또한 전술한 주요인자 중 섬유의 특성은 펄프제조방식과 사용된 수종에 따라 영향을 받는데 펄프화 방법은 크게 기계적인 방법과 화학적인 방법으로 구분된다. 펄프화 방법에 따라 섬유의 크기와 형태가 달라지며 셀룰로오스, 헤미셀룰로오스, 리그닌, 추출물 등의 성분비율 차이가 발생한다. 또한 사용된 종이로부터 섬유를 회수하여 재생하는 탈묵펄프는 반복적인 재사용으로 인해 섬유의 hornification, 수산기의 감소 등이 발생한다. 펄프 종류 외에도 섬유의 크기나 미세분의 양 등은 면적의 크기, 섬유 간 공극 등의 차이를 유발하며 화학반응의 영향인자로서 작용할 수 있다.
따라서 펄프섬유가 지닌 다양한 특성이 기상 그라프트 반응을 통한 섬유 소수화에 영향을 미칠 것으로 판단되는 바, 본 연구에서는 대표적으로 사용되는 펄프 4종을 선정하여 펄프 종류별 특성이 기상 그라프트 반응에 미치는 영향을 평가하고자 하였다. 또한 펄프의 형태학적인 특징이 미치는 영향을 파악하고자 각각의 섬유에 대한 기본특성을 측정하였으며 기상 그라프트 반응 후 염화지방산의 화학적 구조변화와 반응 정도를 분석함으로써 기상 그라프트 반응효율을 분석하고자 하였다.
2. 재료 및 방법
2.1 실험재료
2.1.1 펄 프
각 펄프의 특성에 따른 기상 그라프트 반응의 차이를 평가하기 위해 국내에서 일반적으로 사용되는 softwood bleached kraft pulp(Sw-BKP), hardwood bleached kraft pulp(Hw-BKP), bleached chemi thermomechanical pulp(BCTMP), de-inked pulp(DIP) 등 4종의 펄프를 선정하였으며 각 펄프는 국내 J사로부터 분양받아 사용하였다. 또한 각 펄프별 기상 그라프트 효율을 분석한 후 섬유장이 비교적 넓은 범위로 분포하고 있는 BCTMP를 3단계로 분급하여 각 크기에 따른 기상 그라프트 효율을 분석하고자 하였다.
2.1.2 시 약
기상 그라프트 반응을 위해 사용된 palmitoyl chloride와 petroleum ether, 반응 후의 염화지방산에 대한 정량분석 및 검량선 작성을 위한 내부표준물질제조 및 전처리에 사용된 pyridine, N,O-Bis(trimethylsilyl)trifluoroacetamide(BSTFA), methyl tertiary butyl ether(MTBE)는 Sigma Aldrich사에서 구매하였다. 전처리 과정에 사용된 ethanol, acetone, sodium hydroxide 등은 Daejung사에서 구입하여 사용하였다.
2.2 실험방법
각 펄프를 이용하여 기상 그라프트 반응을 실시하였으며 소수화를 파악하기 위해 물을 이용한 육안관찰과 기상 그라프트 반응 후 염화지방산의 반응 효율를 파악하기 위한 ATR-IR 및 GC/FID 분석을 실시하였다.
2.2.1 섬유특성 분석
펄프의 섬유특성이 기상 그라프트 반응효율에 미치는 영향을 파악하고자 각각의 펄프를 fluff 펄프로 제조한 후 L&W사의 섬유장분석기를 사용하여 섬유길이, 섬유폭, 미세분 함량 및 fibril area에 대한 측정을 실시하였다. Fluff 펄프는 5 g당 30초의 가동시간을 기준으로 제조하였으며 Sanplatec사의 Wonder blender(RT-02)를 이용하였다.
2.2.2 기상 그라프트 반응
기상 그라프트 반응은 palmitoyl chloride를 petroleum ether에 용해하여 2%로 제조한 후 용액 내에 여과지(Whatman No. 2)를 침지하고 상온에서 petroleum ether를 휘발시켜 여과지 상에 염화지방산을 전이하였다. 이후 105℃ 건조기에서 전건된 각각의 fluff 펄프 10 g을 두 장의 여과지 사이에 위치시키고 150℃ 조건으로 진공 건조기에서 5분간 염화지방산과 섬유 간 반응을 실시하였다.
2.2.3 기상 그라프트 반응효율 분석
기상 그라프트 처리에 따른 염화지방산의 반응을 통해 섬유 내의 작용기 변화를 확인하고자 Bruker사의 ATR-IR(Alpha-P model)을 이용하여 분석하였다. 또한 각 섬유의 반응 후 미반응 염화지방산 및 반응 염화지방산의 정량을 위하여 에탄올과 아세톤을 이용해 미반응 염화지방산을 추출하였으며, 반응 염화지방산 분석을 위해 미반응 염화지방산이 추출된 시료를 알칼리 용액으로 가수분해하고 MTBE를 이용해 추출하였다. 모든 추출된 시료는 질소 가스를 이용하여 건고 후 BSTFA, prydine를 첨가하여 silylation하고 Agilent사의 GC/FID(6890N)를 이용하여 정량분석하였다.
3. 결과 및 고찰
3.1 펄프 종류에 따른 기상 그라프트 반응효율 분석
Table 1은 기상 그라프트 반응에 사용한 펄프 종류별 섬유장 분석결과이다. Sw-BKP의 섬유길이는 2.395 mm로 측정되었으며 침엽수에 비해 단섬유인 활엽수로 제조된 Hw-BKP가 가장 짧은 섬유길이를 지닌 것으로 분석되었다. BCTMP의 미세분 비율은 57.2%로 절반 이상이 미세분으로 구성되어 있었으며, 폐지를 원료로 제조한 DIP는 38.9%, 천연펄프인 Hw-BKP는 22.1%, Sw-BKP는 14.4%로 분석되었다. BCTMP는 화학펄프와 달리 기계적인 힘을 이용해 제조하기 때문에 섬유폭이 크고 미세분 함량이 매우 높은 특징을 나타냈으며, DIP는 반복적인 재사용으로 섬유의 단리와 절단이 발생함에 따라 상대적으로 짧은 섬유길이와 높은 미세분 함량이 측정된 것으로 판단된다.
Table 1
Results from fiber analysis of four pulp fibers
| Length (mm) | Width (μm) | Fines (%) | Fibril area (%) | |
|---|---|---|---|---|
| Hw-BKP | 0.688 | 18.4 | 22.1 | 0.9 |
| Sw-BKP | 2.395 | 31.0 | 14.4 | 0.5 |
| BCTMP | 2.395 | 38.7 | 57.2 | 1.3 |
| DIP | 0.905 | 24.7 | 38.9 | 2.4 |
각 펄프를 기상 그라프트 처리 후 에스테르화 반응에 따른 표면의 소수화를 관찰하기 위해 이미지 촬영을 실시하였으며 결과를 Fig. 1에 나타냈다. 전체적으로 수분이 침투하지 않고 섬유 표면에 물방울 형태를 유지하는 것을 확인할 수 있었으며 펄프종류에 관계없이 섬유의 소수화가 원만히 진행된 것으로 나타났다. 염화지방산은 자체적으로 소수성을 지니기 때문에 셀룰로오스와 결합하지 않고 표면에 존재하는 것만으로도 섬유의 소수성에 영향한다. 그러나 결합하지 않고 표면에 존재하는 염화지방산은 섬유와의 에스테르 결합형성 외의 부반응을 일으키며 결과적으로 시간이 경과함에 따라 섬유의 소수성을 저하시키는 원인으로 작용한다. 따라서 섬유의 소수성을 일정하게 유지하기 위해서는 기상 그라프트 반응 시 미반응 염화지방산의 양을 최소화하여 반응효율을 높여야 한다.
기상 그라프트 처리 시 셀룰로오스의 수산기는 염화지방산과 에스테르 결합을 형성하며 수소를 알킬체인으로 치환하기 때문에 에스테르 결합에 사용된 수산기가 감소하고 C=O stretch가 증가하게 된다. 따라서 ATR-IR 분석을 통해 1,735 cm-1의 C=O stretch의 증가를 확인하고자 하였으며 2,920 cm-1에서 나타나는 methylene group과의 비율을 통해 각 펄프별 변화를 비교하였다. Fig. 2는 펄프별 기상 그라프트 전·후의 IR spectrum을 나타낸 그래프이며 Fig. 3은 C=O stretch의 변화를 분석한 결과이다. 펄프 종류에 따라 정도의 차이는 있으나 기상 그라프트 반응 후 C=O stretch가 증가하는 경향을 나타냈으며 상대적으로 미세분이 다량 존재하는 BCTMP, DIP에 비해 Hw-BKP, Sw-BKP에서 큰 변화를 확인할 수 있었다.

Fig. 3
Effect of gas grafting treatment on C=O stretching vibration in four kinds of pulp grafted by palmitoyl chloride.
ATR 분석을 통해 기상 그라프트 반응에 따른 작용기의 변화를 확인한 후 펄프와 반응한 염화지방산을 정량적으로 측정하기 위하여 GC/FID 분석을 실시하였다. 미반응 염화지방산은 최초 기상 그라프트 반응에 사용된 형태인 염화지방산과 대기 중의 수분과 반응을 통해 말단의 염소가 치환된 형태인 지방산으로 구분하여 분석하였다.
각각의 펄프로부터 검출된 미반응 및 반응 염화지방산의 정량적 분석 결과를 Table 2에 나타냈으며 기상 그라프트 반응효율을 확인하고자 검출된 전체 염화지방산 중 미반응 및 반응 염화지방산의 비율을 Fig. 4에 표시하였다. 미반응 염화지방산에 대한 분석 결과, 염화지방산은 지방산보다 소량 검출되었고 Hw-BKP의 미반응 염화지방산이 가장 많이 검출되었으며 DIP, BCTMP, Sw-BKP 순으로 분석되었다. 반응 지방산은 BCTMP에서 11.11 mg/g으로 가장 많은 양이 검출되었으며 DIP, Sw-BKP, 그리고 Hw-BKP순으로 분석되었다. 기상 그라프트 반응에 소요된 전체 염화지방산의 양은 DIP에서 25.81 mg/g으로 가장 높게 검출되었으며 Sw-BKP가 14.28 mg/g으로 반응에 사용한 펄프 중 최소량을 나타냈다.
Table 2
Chemical analysis results of four kinds of pulp grafted by palmitoyl chloride

Fig. 4
Ratios of non-reacted and reacted fatty acids in four kinds of pulp grafted by palmitoyl chloride.
정량분석 결과에서 비교적 적은 양의 반응 염화지방산이 검출되었던 Sw-BKP의 경우 전체 염화지방산 중 반응 염화지방산의 비율이 66.0%로 가장 높게 분석되었으며 다른 펄프 종류에 비해 효율적인 기상 그라프트 반응을 유도하는 것으로 평가되었다. DIP의 경우 검출된 반응 염화지방산의 양이 BCTMP 다음으로 높게 나타났으나 전체 염화지방산 중 반응 염화지방산의 비율이 약 41%로 낮은 반응효율을 보였으며, 각 펄프 중에서 가장 비효율적인 반응을 유도한 것은 Hw-BKP로 나타났다. 펄프의 기본특성 중 섬유 길이가 기상 그라프트 반응효율과 가장 높은 연관성을 지니는 것으로 분석되었으며 섬유길이가 길수록 반응효율이 증가하는 경향을 나타냈다. 상대적으로 섬유장이 짧은 Hw-BKP와 DIP는 Sw-BKP와 BCTMP와 비교하였을 때, 비표면적이 큰 만큼 더 많은 양의 기화된 염화지방산이 기상 그라프트 반응에 소요되는 것으로 추정되며 DIP는 펄프 내에 잔존하는 잉크 미립자와 같은 오염물에 의해 기상 그라프트 반응효율이 감소한 것으로 판단된다. 섬유장의 분포 범위가 넓은 BCTMP의 경우 기상 그라프트 반응에 있어서 반응 염화지방산의 비율이 53.84%로 Sw-BKP 다음으로 높은 반응 효율성을 나타냈으며, 섬유와의 반응성 측면에서는 가장 우수한 특성을 가지고 있어서 다른 펄프보다 그라프트 반응에 적합한 것으로 판단된다.
3.2 BCTMP 분급 크기에 따른 기상 그라프트 반응효율 분석
섬유장의 범위가 다른 펄프에 비해 넓은 BCTMP를 분급하고 각각의 분급된 섬유 특성에 따른 기상 그라프트 반응효율을 확인하고자 하였다. 30-200 mesh의 스크린을 이용하여 BCTMP를 3단계로 분급하였으며 분급된 BCTMP의 섬유장을 분석하여 Table 3에 나타냈다. 스크린 분급크기에 따라 셀룰로오스 섬유 길이는 일정하게 감소하고 미세분은 증가하였으며 분급크기별 섬유폭의 변화는 미미하였다.
Table 3
Basic characteristics of fractionated BCTMP
| BCTMP sample | Length (mm) | Width (μm) | Fines (%) | Fibril area (%) |
|---|---|---|---|---|
| A | 2.439 | 41.7 | 27.0 | 1.3 |
| B | 1.256 | 38.6 | 35.5 | 1.4 |
| C | 0.354 | 40.7 | 77.1 | 0.8 |
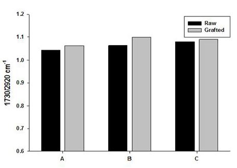
Fig. 5는 분급된 BCTMP의 기상 그라프팅 전·후 IR spectrum을 나타낸 그래프이며, Fig. 6은 C=O stretch의 변화를 분석한 결과이다. 스크린 분급 크기에 따라 정도의 차이는 있으나 기상 그라프트 반응에 따라 C=O stretch가 증가하였으며, 평균섬유길이가 가장 짧고 미세분 함량이 높은 C시료는 C=O stretching vibration의 변화가 미미한 것으로 분석되었다.
분급된 BCTMP를 기상 그라프트 처리 후 검출된 염화지방산의 정량분석결과를 Table 4에 나타냈다. 섬유길이가 짧아지고 미세분의 비율이 증가할수록 전체 염화지방산의 검출량은 증가하였으며 특히 평균섬유길이가 0.35 ㎜이하인 C 시료에서 미반응 염화지방산의 검출량이 급증하였다. 또한 반응 염화지방산은 섬유장이 길고 미세분이 적은 A 시료에서 많이 검출되었으며 섬유길이가 짧아지고 미세분이 증가할수록 미반응 염화지방산은 증가하는 반면 반응 염화지방산은 감소하는 경향을 보였다. 이는 앞선 펄프 종류별 기상 그라프트 반응의 사례와 동일한 경향인 바, 섬유장과 미세분이 기상 그라프트 반응에 영향하는 주요인자임을 의미하며, 상대적으로 미세분함량이 증가할수록 염화지방산이 미세분과 주도적으로 반응함에 따라 많은 양의 염화지방산이 소모되고 부반응이 조장됨으로 인해 미반응 염화지방산의 양이 증가한 것으로 추정된다.
Table 4
Chemical analysis results of fractionated BCTMP grafted by palmitoyl chloride
Fig. 7은 분석결과 검출된 총 염화지방산 대비 반응 및 미반응 염화지방산의 비율을 나타낸 결과이다. 섬유장이 감소하고 미세분이 증가할수록 반응 염화지방산의 비율은 감소하였으며 미반응 염화지방산의 비율이 증가하여 전체적인 염화지방산의 기상 그라프트 반응효율이 저하되는 경향을 나타냈다.

Fig. 7
Ratios of non-reacted and reacted fatty acids in fractionated BCTMP grafted by palmitoyl chloride.
상기 결과를 기반으로 Fig. 8에 펄프의 미세분 비율에 따른 염화지방산의 기상 그라프트 반응과정을 모식도로 나타냈다. 섬유길이가 길어질수록 펄프를 구성하는 섬유 사이 공간이 커지고 기화된 염화지방산의 확산 범위가 증가하여 펄프 층의 표면뿐만 아니라 내부까지 도달함에 따라 섬유의 수산기와 반응할 수 있는 확률도 증가하는 것으로 판단된다. 반면에 섬유장이 짧고 미세분 함량이 높은 경우 미세분이 염화지방산과 우선적으로 반응함과 동시에 기화된 염화지방산의 확산범위가 축소되어 섬유와 반응할 수 있는 확률이 감소하고 기상 그라프트 반응효율이 저하되는 것으로 보인다. 종이제조 시 미세분은 섬유보다 현저히 높은 비표면적으로 인해 공정에 투입된 기능성 첨가제와 우선적으로 반응하며 첨가제의 효율과 종이 품질을 저하시킨다. 기상 그라프트 처리를 통한 섬유와 염화지방산의 에스테르화 반응에 있어서도 미세분의 높은 반응성이 섬유와의 반응을 방해하는 것으로 추정된다.
4. 결 론
본 연구에서는 기상 그라프트 처리를 통해 fluff 펄프와 염화지방산을 반응시키고 각 섬유의 기본 특성이 기상 그라프트 반응효율에 미치는 영향을 평가하고자 시료 내의 작용기 변화와 처리 후 시료의 미반응 및 반응 염화지방산의 함량을 분석하였다.
염화지방산의 기상 그라프트 반응에 따라 펄프 종류나 분급 크기에 관계없이 표면의 소수화가 진행되어 물방울의 침투 또는 흡수가 발생하지 않았으며 섬유 표면에 물방울 형태를 그대로 유지하는 것으로 확인할 수 있었다.
정량분석 결과, Sw-BKP의 반응 염화지방산은 BCT-MP, DIP보다 소량으로 분석되었으나 미반응 염화지방산이 소량 검출됨에 따라 기상 그라프트 반응효율측면에서 가장 우수한 것으로 분석되었다. 또한 상대적으로 섬유장이 짧은 펄프일수록 기상 그라프트 반응에 소요되는 염화지방산의 양이 증가하였으며 이로 인해 미반응 염화지방산이 다량으로 형성되는 경향을 나타냈다. 분급을 통해 섬유특성을 달리한 BCTMP에 대해 기상 그라프트 반응을 실시한 결과, 섬유길이가 짧아질수록 미반응 염화지방산 및 전체 염화지방산의 양이 급증하는 결과를 나타냈다. 전체적으로 섬유장이 길고 미세분이 적을수록 기상 그라프트 반응효율이 증가하는 바, 반응효율의 증가를 위해서는 미세분에 대한 제어와 함께 일정 수준 이상의 섬유길이를 지닌 펄프를 사용하는 것이 유리할 것으로 사료된다.







