1. 서 론
예로부터 능화지, 사경지, 교지 등 기록 문화재에는 염색지가 사용되었으며, 염색지를 사용함으로써 미적 아름다움과 신분 및 계급을 표현하였다. 『산림경제(山林經濟)』, 『증보산림경제(增補山林經濟)』, 『임원경제지(林園經濟志)』, 『규합총서(閨閤叢書)』 등은 황색 염색지의 염료로 사용되었던 괴화, 황벽, 치자 등의 내용과 함께 염색 시 사용되었던 염료에 관한 기록을 찾아볼 수 있으며, 특히 『임원경제지』에는 괴화가 황색 염료로써 사용 빈도가 높다고 기록하고 있다.
괴화는 회화나무의 꽃봉오리를 말린 것으로 천연염색에 활용되며, 아름다운 황색이 얻어질 뿐 아니라 소홍색, 번황색, 선황색, 대홍관 녹색을 얻어낼 수 있는 다색성 염료 및 하염(下染)용의 황색 색소로도 이용된다. 또한 선행연구1)에 따르면, 괴화의 색소 주성분인 루틴(Rutin, gueretuine의 배당체)에서 항균성이 확인되었으며, 이에 따라 항균성을 지닌 염색지를 문화재 보존 처리 과정에서 보수용으로 사용한다면 유물에 긍정적인 영향을 미칠 것으로 판단하여 본 연구의 천연염료로 선정하였다.
한편, 지류문화재 보존처리 시 노화된 지류 유물의 고색을 표현하기 위해 보강지를 염색하거나 전적 문화재의 표지로 사용하기 위해 염색을 하는데, 이 과정에서 천연 염색의 발색을 촉진하게 해주는 보조염제로 매염제를 사용한다. 하지만, 매염제는 처리 농도, 매염 시간 등에 따라 제조된 염색지의 특성이 달라져 지류문화재에 영향을 줄 수 있어 이에 관한 연구가 필요하다. 현재 우리나라에서 전통적으로 사용했던 매염제에 대한 연구로는 Park의 전통 매염제인 철장액을 면과 견직물에 염색하고 그 염색성을 분석한 연구2)와 Seo 등의 잿물을 매염제로 하여 소목에 대한 천연염색을 하여 그 특성을 분석한 연구3) 등이 있으며, 화학 매염제에 대한 연구로는 Jee의 3종의 염료를 4가지 매염제로 염색하여 그 특성을 분석한 연구4)가 있다. 또한 Lee 등은 추출방법과 매염제가 한지에 염색 특성에 미치는 영향에 대해 분석5)하였다. 하지만 현재 피염물이 직물에 집중되어 있고, 천연 매염제와 합성 매염제를 이용하여 염색했을 때 나타나는 특성을 비교·분석한 연구는 미비한 실정이다.
현재 전통적인 매염제는 제조의 어려움이라는 단점과 합성매염제의 경제성과 편리성을 이유의 장점6)으로 전통 매염제의 자리를 합성 매염제가 대체하였다. 최근까지 합성 매염제가 보조염제로 사용되고 있으나 매염 과정에서 사용되는 알루미늄, 주석, 철 등의 합성 매염제는 장기적으로 인체에 영향을 끼치며, 염색 후 배출되는 과정에서 생기는 공해 문제가 대두되고 있어7) 합성 매염제에 대한 대안이 필요할 것으로 보인다.
따라서 본 연구에서는 한지를 피염물로 염색하는 기초 연구자료로서 염색에 사용되는 매염제를 전통과 합성으로 분류한 뒤 매염제 종류에 따른 괴화 염색지의 특성을 분석하였다. 닥 섬유로 제조된 한지를 원지로 사용하였으며, 전통 매염제인 소석회(Slaked-Lime), 철장(Natural iron solution), 회즙(Rice Straw Ash)과 합성 매염제인 명반(Aluminum potassium sulfate), 철(Iron acetate), 구리(Copper(Ⅱ) Sulfate pentahydrate)로 매염 처리 후 괴화 염색을 하였다. 매염제의 종류가 염색지의 특성에 미치는 영향을 분석하기 위해 제조된 염색지의 광학적 특성, 기계적 특성, 물리적 특성, pH 변화를 측정한 뒤 비교·분석하였다.
2. 재료 및 방법
2.1 연구재료
2.1.2 매염제
매염제는 염료와 섬유가 서로 염착될 수 있도록 도와주는 염색보조제로 본 연구에서는 수산화칼륨의 성분을 가진 소석회8)(Slaked-Lime), 초산 철로 이뤄진 철장액7)(Natural iron solution), K+와 Na+ 등의 알칼리이온으로 구성되어 있는 회즙3)(Rice Straw Ash)과 합성 매염제인 명반(Aluminum potassium sulfate, (KAl(SO4)212H2O)), 철(Iron acetate, (Fe(CH3COO)24H2O)), 구리(Copper(Ⅱ) Sulfate pentahydrate, (Cu2SO45H2O))를 3% 수용액으로 제조하여 사용하였다.
2.2 실험방법
2.2.1 염액 추출 및 염색방법
Fig. 1에 나타낸 바와 같이 건조된 중국산 괴화 100 g에 증류수의 양을 1500 mL에서 1000 mL, 500 mL로 줄여가며 30분씩 3번에 걸쳐 끓이고, 총 2000 mL의 괴화 추출액을 만들었다. 추출된 염액은 감압기(aspirator)에 정성여과지를 사용하여 용액의 부유물을 제거하여 사용하였다. 염색방법은 한지를 3% 수용액으로 제조된 매염제(Table 1)에 염액 없이 15분 동안 매염만 진행하는 선매염 방법을 적용하였으며, 매염 후 괴화 추출액에 30분 동안 후염시켰다. 괴화 추출액의 후염과정은 한지의 무게 대비 염액 욕비를 1:80으로 하였으며, 염색을 완료한 색지는 24 h 동안 상온에서 건조하였다.
2.2.2 물리·화학적 특성 분석
2.2.1에 따라 염색 처리한 한지 시료는 실험 전반에 걸쳐 23±1℃, 50±2% RH의 항온항습시설에서 보관하였으며, 물리적 및 화학적 특성 분석을 진행하였다. 또한 매염제에 따른 염색지의 무게 변화를 식(1)에 따라 계산하였다.
염색지의 광학적 특성을 측정하기 위해 분광측색계(Spectroprhotometer, Konica Minolta, CM-2500d, Japan)를 사용하여 CIE Lab 색 공간에 의해 L*, a*, b*를 수치화하고, 다음 식(2)에 의해 색차(∆E*)를 구하였다.
또한 염착량을 확인하기 위해 동일한 기기를 사용하여 410~740 nm의 표면반사율을 측정하고, Kubelka-Munk의 다음 식(3)에 의해 K/S value을 구하였다.
Where,
K : absorbance coefficient of sample
S : scattering coefficient of sample
R : reflectance of sample
투기도 측정기(L&W, air permeance tester, Sweden)를 사용하여 KS M ISO 5636-3에 의거하여 측정하였고, 염색지의 거칠기를 평가하기 위해 공기 누출방식인 Bendtsen tester(L&W, Sweden)을 KS M ISO 8791-2에 의거하여 분석하였으며, 광학적 측정 장비인 OptiTopo(L&W, Sweden)를 이용해 표면 특성을 분석하였다.
염색지의 강도를 측정하기 위한 방법으로 MIT형 내절도 측정기(Tinius Olsen, USA)와 인장강도측정기(L&W Tensile Tester, Sweden)를 각 KS M ISO 5626와 KS M ISO 1924에 의거하여 측정하였다.
염색지의 산성도를 측정하기 위해 냉수추출법인 KS M ISO 6588-1에 의거하여 pH Meter(iSTEK, pH-200L)를 사용해 측정하였다.
3. 결과 및 고찰
3.1 매염처리 염색지의 물리적 특성
3.1.1 매염제에 따른 염색지의 무게 변화
각 시료의 무게 변화를 확인하기 위해 염색 전과 후의 무게변화를 백분율로 나타내 Table 2에 제시하였다. 염색과정을 거친 모든 시료에서 무게가 증가하였으며, 매염과정을 거치지 않은 B의 시료보다 매염과정을 거친 C1~D3시료의 무게 변화가 증가하는 것을 확인하였다. 이러한 결과는 괴화의 주성분인 루틴(Rutin)의 분자구조를 형성하고 있는 하이드록시 그룹이 염색이 진행되는 과정에서 셀룰로오스와 헤미셀룰로오스에 수소결합을 형성하여 무게가 증가함9)과 매염제가 한지에 흡착하며 나타난 변화로 사료된다. 특히, D2의 경우 무게 변화가 가장 큰 것으로 나타났으며, 이는 철장액 매염제가 한지에 가장 많이 잔존함에 따라 나타나는 결과로 예상된다.
3.1.2 염색지의 육안 관찰 및 색차 측정
Table 3은 매염제에 따른 염색지의 색상 변화를 육안 관찰과 CIE Lab 색 공간의 색 좌표인 L*, a*, b*에 따라 값을 나타냈다. 명도를 나타내는 L* value의 경우 원지인 A 시료 값과 유사하거나 더 낮은 값을 나타냈고, 적색과 녹색의 값 방향을 나타내는 a* value의 경우 모두 녹색 값 방향으로 향해 있으며, 황색과 청색의 값 방향을 나타내는 b*는 모두 황색 값의 방향으로 나타났다.
Table 3.
The color change of Hanji according to the type of mordant
유사한 색상 값과 육안 관찰이 확인된 시료는 B, C1, D1, D3 시료와 C2, D2 시료였고, C3 시료는 -a*(녹색)value와 +b*(청색) value 값이 매염제 중 가장 높아 선명한 색상이 나타났다.
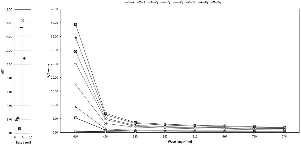
Fig. 2는 각 매염제에 따른 흡광도(410~740 nm)와 B를 기준으로 염색지의 ∆E*를 나타냈다. 먼저 흡광도의 경우 최소 파장인 410 nm부터 파장이 높아질수록 흡광이 서서히 감소하며, 510 nm에서는 거의 차이를 보이지 않았다.
색차 ∆E*의 경우 D3 시료를 제외한 매염제 첨가 염색지에서 육안식별이 가능한 색차 값을 보여주고 있어 한지에 염료와 매염제가 흡착하며 선명한 발색과 시료 간의 색상 차이가 나타난 것으로 사료된다. 또한 금속 매염제인 C2, C3, D2 시료의 경우 ∆E*의 값이 높게 나타났으며, 육안으로도 시료와는 다른 색상으로 인식이 가능하였다.
3.1.3 염색처리에 의한 내절도 변화
염색지의 종류에 따른 강도적 특성은 한지의 발촉방향인 LD(Laid Direction)와 발실방향인 CD(Chain Direction)로 구분하여 측정하였으며, 그 결과를 Fig. 3에 나타냈다. 염색과정을 거친 모든 염색지의 내절도 측정 값이 원지인 A보다 모두 낮은 값을 나타보인다. 이는 매염제와 색소의 영향으로 셀룰로오스의 중합도가 낮아지면 일률적으로 나타나는 현상4)으로 사료된다.
특히, 원지인 A 시료와 가장 큰 차이를 보인 염색지는 C2 시료의 LD 방향, D3 시료의 CD 방향이었다. 반면, 내절도 차이가 가장 작은 염색지는 D2 시료의 LD 방향, C1 시료의 CD 방향이었다. 매염제 분류별 LD 방향의 내절도는 Base paper(A), 전통매염제(D군), 무매염(B), 합성매염제(C군) 순으로 낮았으며, CD 방향은 Base paper(A), 무매염(B), 합성매염제(C군), 전통매염제(D군) 순으로 값이 낮아졌다.
3.1.4 염색처리에 의한 인장강도 변화
내절도와 함께 염색지의 강도적 특성을 알아보기 위헤 인장강도를 측정하였으며, 시료별 인장 특성을 Fig. 4에 나타냈다. 인장강도에 대한 값은 인장지수로 나타냈으며, 원지 A 시료를 기준으로 각 매염제가 사용된 염색지의 강도는 큰 차이를 보이지 않고, 유사한 값을 나타냈다. 이는 직물에 비해 습윤강도가 약한 한지가 매염제와 염료 등으로 침염되며, 물리적 강도가 저하된 것으로 사료된다. 그중 LD 방향의 D3 시료와 CD 방향의 A 시료가 시료 중 가장 높은 값을 나타냈다. 반대로 가장 낮은 값을 보인 시료는 LD 방향의 D2 시료이었고, CD는 B 시료이었다. 매염제 분류별 LD 방향의 인장지수는 무매염(B), 전통매염제(D군), Base paper(A), 합성매염제(C군) 순으로 값이 낮아졌고, CD 방향은 Base paper(A), 합성매염제(C군), 전통매염제(D군), 무매염(B) 순이었다. 내절도와 비교하였을 때 염색과정을 진행했던 모든 시료의 인장강도는 차이가 크지 않지만, 다소 줄어든 것을 확인할 수 있었다. 따라서 괴화염색지의 열화 진행된다면 매염제로 인한 염색지의 강도적 특성에 더 큰 영향을 줄 것이라 사료된다.
3.1.5 염색처리에 의한 투기도 변화
매염제의 투기도 측정 결과, Fig. 5에서와 같이 매염제가 첨가되지 않은 A, B 시료에 비해 매염제가 첨가된 염색지의 공기투기도가 전반적으로 높아진 것을 확인할 수 있었다. 그중 D2 시료의 공기투과도가 원지 A 시료에 비해 356 ml/min 높아져 철장액의 사용이 한지에 영향을 가장 많이 미친 것으로 사료된다. 그에 반해 매염제를 첨가하지 않은 B 시료는 원지인 A 시료보다 더 낮은 투기도를 나타내어 무매염이 공기 투과 저항성이 가장 높은 것으로 보인다. 이러한 결과는 앞의 내절도와 인장강도에서의 결과에서도 볼 수 있듯이 염색과정을 거친 모든 시료의 물성이 저하되어 나타내는 결과로 판단된다. 또한 매염제별 시료에 미치는 영향에 따라 투기도에 대한 차이를 보이는 것으로 사료된다.
3.1.6 염색처리에 의한 Bendtsen 표면거칠기 변화
Fig. 6은 매염제에 따른 표면거칠기를 공기누출 방식인 Bendtsen 투기도 측정기를 사용해 분석한 값을 나타냈다. 그 결과, 매염제를 보조염제로 사용한 시료들의 거칠음도는 무매염(B)의 시료보다 전반적으로 비슷하거나 높아졌으며 특히, D2 시료의 경우, 공기 투과율이 가장 높았던 것에 비해 원지인 A 시료와 유사한 값을 보여주었고, 오히려 투기도가 두 번째로 낮았던 C2 시료의 경우 표면 거칠음도가 두 번째로 높았다. 매염제 분류별 모습은 합성매염제(C군), 전통매염제(D군), 무매염(B), Base paper(A)순으로 투기 특성을 나타냈다.
3.1.7 염색처리에 의한 Optitopo형 표면거칠기 변화
표면의 이미지를 사용해 평균보다 낮은 부분과 높은 부분의 비율을 통해 OSD(optitopo surface deviation)를 산출하는 방식을 사용한 Optitopo 결과를 Fig. 7에 나타냈다. OSD 값을 보았을 때 C2가 가장 거친 정도를, D2가 가장 평활한 표면 특성을 보인다. 매염제 분류별 값은 합성매염제(C군), 무매염(B), 전통매염제(D군), Base paper(A) 순으로 값이 낮아져 원지에서 염색과정을 거친 시료군들의 거칠기가 향상한 것을 확인할 수 있었다.
3.1.8 염색처리에 의한 pH 변화
Fig. 8은 염색지의 산성도를 나타내는 pH 결과를 나타낸 것으로 합성 매염제(C군)와 전통 매염제인 (D군)의 차이를 볼 수 있다. 합성 매염제는 약산성인 pH 4~5 사이에서 머물러 있었고, 전통 매염제는 pH 6~7 사이의 중성을 나타냈기 때문에 합성 매염제가 종이의 산성화에 더 영향을 주는 것으로 사료된다. 염색에 있어 매염제의 pH가 염착 농도와 색상에 미칠 수 있고,10) 염색지의 용도가 문화재 보수용인 만큼 장기적으로 안정적인 pH를 나타내는 매염제의 사용을 판단하는 중요한 요소로 작용한다. 따라서 염색지의 열화가 진행된다면 염색지의 산성화가 진행되면서 문화재에 영향을 끼칠 것으로 예견할 수 있다.
4. 결 론
본 연구는 보존용 염색지의 보조염제로 사용되는 매염제가 괴화 염색지에 미치는 영향을 알아보기 위해 전통 매염제와 합성 매염제로 분류하고 각 3% 수용액으로 제조하여 한지를 염색처리 해 광학적 및 물리적 특성, pH 특성 변화를 분석하였으며, 다음과 같은 결론을 도출하였다.
매염제를 사용한 염색지의 염색 전, 후의 무게 변화를 측정한 결과 염색과정을 거친 모든 시료에서 무게가 증가하였고, 이는 괴화의 분자 구조 특성과 매염제의 영향이 복합적으로 작용한 것으로 보인다. 육안관찰과 색차를 측정한 결과 염재인 한지와 매염제의 결합으로 인해 원지의 색상과 전혀 다른 발색이 이뤄졌으며, 합성 매염제의 금속성으로 인해 전통 매염제보다 선명한 색상이 발색되었다.
염색지의 강도적 특성 변화를 분석한 결과, 염색을 진행하지 않은 원지 시료에 비해 염색과정을 거친 시료의 강도가 약해지는 결과를 나타났다. 또한 대체적으로 합성 및 전통 매염제의 강도적 특성이 유사하게 났으나 일부 합성매염제 시료의 경우 매염제의 산성도에 의해 셀룰로오스가 가수분해되며 낮은 강도를 나타낸 것으로 판단된다.
또한 매염제가 첨가된 염색지의 공기투기도를 확인한 결과, 매염제를 첨가한 전 시료에서 투기도가 높아지는 것을 확인할 수 있었다. 특히 전통 매염제를 사용한 염색지의 투기도가 합성 매염제를 사용한 염색지보다 더 높다는 것을 확인할 수 있었다. 이러한 결과는 매염제를 사용 함에 있어 염색처리용 원지에 영향을 미친 것이라고 판단되며, 전통 매염제의 사용이 합성 매염제의 사용보다 한지에 영향을 준 것으로 판단된다. 한편, 염색지의 표면 거칠기를 확인하기 위해 Bendtsen법 및 OSD를 분석한 결과 한지 원지(A)가 가장 평활하였고, 이외의 모든 매염제를 사용한 염색지의 거칠기가 상승하였지만, 비교적 균일한 모습을 나타냈다. 그러나 산성도 측정결과 합성 매염제는 약산성을 나타내 문화재 보수에 사용할 경우 산화에 영향을 줄 것으로 판단되며, 전통 매염제의 사용이 보다 안정적일 것으로 사료된다.


















