1. 서 론
열기계펄프(Thermomechanical pulp, TMP)의 백색도를 효과적으로 향상시킬 수 있는 방법은 강한 알칼리 조건에서 과산화수소를 산화시켜 표백하는 것이다.1) 강한 알칼리 조건에서 과산화수소가 이온화되면서 perhydroxyl ion(OOH-)이 생성되고, 이러한 OOH-가 리그닌에 포함된 발색단을 공격하는 핵심적인 역할을 수행한다.2) 과산화수소 표백 시 사용되는 알칼리 약품은 주로 NaOH이지만 강한 알칼리성을 띄는 약품의 특성으로 인하여 표백 과정에서 원하지 않는 부정적인 효과를 발생시킨다. 이는 강알칼리 약품인 NaOH가 표백 반응 과정에서 탄수화물을 분해시켜 표백 폐액과 함께 배출되고, 이로 인해 표백 폐액의 COD 증가에 영향을 미치기 때문이다. 또한 표백 공정에서의 높은 알칼리 조건은 음이온성 저해물질의 형성을 초래하여 초지 공정에까지 영향을 미치기도 한다.3-5)
이와 같이 기계펄프의 과산화수소 표백 과정 동안 NaOH에 기반한 표백 방식이 갖는 부정적인 요인들로 인하여 NaOH를 대체하기 위한 연구가 주목을 끌어 왔다. 과산화수소 표백 동안 NaOH를 대신하여 Mg(OH)2를 사용하게 되면 COD 감소, 음이온성 저해물질의 저감, 옥살산 스케일의 감소, 벌크 개선 등의 긍정적인 효과가 보고되고 있다.3-8) Mg(OH)2는 탄수화물을 용해시키는 NaOH를 대체함으로써 표백 폐액으로 인한 환경부하를 줄일 수 있는 것으로 알려져 있다. 하지만 기계펄프의 과산화수소 표백 단계에서 NaOH 대신 Mg(OH)2 사용으로 인하여 일부 부정적인 효과도 보고되고 있는데, Nyström 등9)은 가문비로 제조된 쇄목펄프를 과산화수소 표백할 때 Mg(OH)2를 사용하면 백색도 향상 효과가 있는 대신에 인장강도의 감소를 초래한다고 보고하였다. Zhang 등10)은 활엽수로 제조된 CTMP 표백 시 NaOH 대신 Mg(OH)2를 사용하면 백색도와 인장강도 모두 감소한다고 보고 하였다. Pykäläinen 등4)은 기계펄프의 표백 동안 NaOH 대신에 MgO와 Ca(OH)2를 적용하였을 때 NaOH에 기반한 표백 방법보다 우수한 백색도와 더 낮은 COD를 얻을 수 있음을 보고하였다.
국내에서는 국내산 소나무(Pinus densiflora)를 이용하여 BTMP를 제조하고 있고 이 때 과산화수소와 함께 NaOH를 사용하고 있다. 이로 인해 강한 알칼리 조건이 조성되어 음이온성 저해물질과 COD 부하 증가와 같은 부정적인 영향이 나타나고 있다.
본 연구에서는 국내산 소나무로 제조된 TMP를 과산화수소 표백을 하는 동안 NaOH 대신에 Mg(OH)2를 사용하였을 때 NaOH에 기반한 표백 방식에서 일어나는 부정적인 영향들을 감소시킬 수 있는 지를 연구하였다. 만약 Mg(OH)2에 기반한 산화표백 방식이 NaOH에 기반한 산화표백 방식보다 양호한 결과가 얻어진다면 이러한 연구 결과를 토대로 TMP 제조 현장에 적용할 수 있는 기초 데이터로 활용하고자 하였다.
2. 재료 및 방법
2.1 공시재료
열기계펄프의 표백 과정에서 NaOH를 대체한 Mg(OH)2의 효과를 알아보기 위하여 국내 전주페이퍼(주)에서 사용하고 있는 국내산 소나무(Pinus densiflora) 칩을 사용하였다. 소나무 칩에 대한 물리화학적 특성은 Table 1과 같다. 목재 칩의 회분 정량은 TAPPI Test Method T 211, 냉수와 온수 추출은 TAPPI Test Method T 207, 알코올-벤젠 추출은 TAPPI Test Method T 204에 근거하여 분석하였다. 리그닌 함량은 TAPPI Test Method T 222에 근거하여 분석하였다.
2.2 열기계펄프 제조
2.2.1 전처리
목재 칩의 전처리는 크게 세척, 함침, 그리고 증기 전처리로 나누어 처리되었다. 소나무 칩의 표면에 묻은 오염물질과 목재 칩과 함께 들어온 이물질들을 제거하기 위하여 물로 직접 세척을 실시하였다. 세척이 완료된 칩은 약 40°C의 물에서 10분간 완전히 함침 시켜 목재 칩의 평균 함수율이 50%-55%에 도달하도록 하였다. 증기 전처리 단계에서 고온에서 칩을 연화시키기 위해 액비 2:1(전건 목재 칩:물)로 실험실용 다이제스터(약 10 kgf/cm2)를 사용하여 80, 100, 그리고 120°C에서 10분간 예열 전처리를 실시하였다.
2.2.2 리파이닝
전처리가 완료된 칩은 경상대학교 펄프종이신소재연구실에서 제작한 Single Disk Refiner를 이용하여 bar 간격 약 0.4-6 mm를 조절한 후 3회 통과시켰다. 리파이닝 단계에서 1차 리파이닝 후, 그리고 2차 리파이닝 후 리파이너로부터 배출된 펄프를 120°C에서 10분간 증기처리를 반복하여 실시하였다. 리파이닝 단계에서 원료의 함수율은 40%-45%였다. 리파이닝 끝난 펄프는 10 mesh wire를 통과한 펄프만(수율 70%-75%)을 대상으로 실험실용 Valley beater를 이용하여 1.57%의 농도에서 25분간 리파이닝을 추가로 실시하였다. 리파이닝이 완료된 펄프를 대상으로 Somerville screen을 이용하여 shive를 제거한 후 표백을 실시하였다.
2.2.3 열기계펄프의 표백과 백색도 측정
열기계펄프의 표백에 사용된 약품으로는 Table 2와 Table 3과 같이 총 다섯 종류의 약품을 사용하였다. Table 2는 알칼리 약품으로 NaOH를 사용한 경우이고, Table 3은 Mg(OH)2를 사용하여 표백하였을 때의 조건을 나열한 것이다. 미표백 열기계펄프 50 g(전건 중량 기준)을 취하여 polyethylene bag에 넣은 후 총 Table 2의 조건으로 표백 약품과 증류수를 투입하여 펄프 농도가 10%가 되도록 하였다. 펄프와 표백 약액이 충분히 혼합되어 반응할 수 있도록 충분히 주물러 주었고, 이 때 표백 반응 시 온도는 항온수조를 사용하여 각각 60°C와 80°C의 상이한 조건으로 조정한 후 180분간 실시하였다. 표백이 진행되는 동안 표백 약품이 균일하게 혼합되도록 10분에 한번 씩 polyethylene bag을 충분히 주물러 주었다.
Table 2.
Bleaching conditions of TMP using hydrogen peroxide and NaOH at 60°C and 80°C
| Chemicals | Dosage (%, on dry pulp weight) |
|---|---|
| H2O2 (conc. 34%) | 6 |
| NaOH | 0.5, 1.0, 1.5 representatively |
| Na2SiO3 | 3.5 |
| MgSO4 | 0.5 |
| DTPA | 1 |
Table 3.
Bleaching conditions of TMP using hydrogen peroxide and Mg(OH)2 at 60°C and 80°C
| Chemicals | Dosage (%, on dry pulp weight) |
|---|---|
| H2O2 | 6 |
| Mg(OH)2 | 0.5, 1.0, 1.5 representatively |
| Na2SiO3 | 3.5 |
| MgSO4 | 0.5 |
| DTPA | 1 |
열기계펄프의 백색도를 측정하기 위하여 사각추조지기를 이용하여 평량 100 g/m2의 수초지를 제작한 후 TAPPI Standard Method T 452에 근거하여 ISO 백색도(%)를 측정하였다.
2.2.4 과산화수소 잔량 측정
표백 폐액 중 잔류 과산화수소 분석을 위해 Strunk12)에 의해 제시된 방법을 사용하였다. 즉, 칩의 표백에 사용되지 않고 폐액에 잔존하는 과산화수소의 함량을 측정하기 위해 잔여 과산화수소 적정을 실시하였다. 약액 침지가 끝난 폐액을 회수하여 100배 희석한 용액 25 mL에 0.1 N 황산 30 mL을 가하여 0.01 N 과망간산칼륨 용액으로 연한 보라색이 될 때까지 적정하였다. 적정 후 30분간 용액의 색이 투명해지지 않으면 실험을 종료하였다. 이 때 얻어진 과망간산칼륨 용액의 투입량을 아래의 Eq. [1]에 대입하여 잔류 과산화수소 함량을 측정하였다.
3. 결과 및 고찰
3.1 알칼리 처리 조건에 따른 백색도 변화
Fig. 1은 NaOH와 Mg(OH)2를 사용하였을 때 TMP의 백색도 향상에 미치는 효과를 비교한 그래프이다. 표백 전 TMP의 백색도는 43%있고, 표백 시 온도와 관계없이 과산화수소 표백과 함께 60%-72% 수준으로 매우 크게 증가하였다. 하지만 NaOH나 Mg(OH)2나 첨가량이 1% 정도 첨가하였을 때 가장 큰 백색도를 나타내었고 그 이후는 표백 온도에 관계없이 조금 감소하였다. 표백 온도에 있어서도 알칼리 약품의 종류에 따른 백색도 차이는 크지 않았다. NaOH를 대신하여 Mg(OH)2를 사용하여 과산화수소 표백을 하였을 경우 펄프 백색도에 있어서는 NaOH를 사용한 것과 큰 차이를 나타내지 않았다. 이것은 아래의 화학식에서 보는 바와 같이 NaOH와 마찬가지로 Mg(OH)2도 TMP의 표백 반응 동안 필요한 OOH-를 생성하기 위해 H2O2와 반응하기 때문이다. 즉, Mg(OH)2가 이온화되어 OH-를 생성하고, OH-는 H2O2와 반응하여 perhydroxyl ion(OOH-)을 생성한다. Perhydroxyl ion은 리그닌의 발색단과 반응하여 해당 관능기를 파괴함으로써 표백 효과가 나타나게 된다. 따라서 과산화수소 표백 동안 리그닌의 발색단을 분해하기 위해서는 per-hydroxyl ion의 생성이 매우 중요하고, perhydroxyl ion에 결정적인 영향을 미치는 것이 NaOH나 Mg(OH)2와 같은 알칼리 약품임을 알 수 있다.
Mg(OH)2 ━━▶ Mg2+ + 2OH- + Impurites (Me2+)
H2O2 + OH- ━━▶ OOH- + H2O
OOH- + Chromophore ━━▶ Bleaching (chromophore destroyed)
하지만 NaOH나 Mg(OH)2가 TMP 전건중량에 대해 1.0% 이상 첨가되었을 경우 백색도 개선 효과가 나타나지 않고 오히려 부정적인 영향을 미치기 시작하였다. 이것은 알칼리 과다로 인하여 OH-가 과량 생성되고 이 때 perhydroxyl ion도 함께 과량 생성되면서 perhydroxyl ion이 리그닌의 발색단과의 반응에 소비되지 않고 아래의 반응식과 같이 과산화수소와의 반응에 경쟁적으로 이용되어 표백 효과를 떨어뜨리기 때문이다.2)
결론적으로 백색도의 결과만 놓고 보면 NaOH 대신에 Mg(OH)2를 사용하더라도 리그닌 제거를 위한 활성 관능기 생성에 있어서 큰 차이를 보이지 않았다.
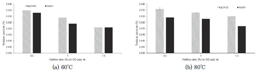
3.2 표백 폐액 내 잔류 과수량
열기계펄프의 과산화수소 표백 동안 NaOH와 Mg(OH)2를 각각 적용하였을 때 표백 폐액 중 과산화수소 잔량을 분석하여 Fig. 2에 나타내었다. 표백 폐액 중 과산화수소 잔량이 많다는 것은 표백 약제인 과산화수소와 알칼리 약품의 반응으로 형성된 OOH-가 TMP에 함유된 리그닌의 발색단을 공격하는데 사용되지 못하고 그대로 폐액으로 유출되었음을 의미하는 것이다.3) 특히 Mg(OH)2의 용해도와 알칼리도는 NaOH에 비해 더 낮기 때문에 과산화수소가 OOH-로 변하는데 더 늦게 작용할 수 있다. TMP 표백 시 온도에 무관하게 폐액 내 과산화수소 잔량은 NaOH와 Mg(OH)2의 첨가량이 많아질수록 조금씩 줄어들었고, 각 첨가량 기준으로 Mg(OH)2가 NaOH보다 조금 더 많은 과산화수소 잔량을 나타내었다. 하지만 그 차이는 최대 0.005%-0.01% 수준에 불과하여 Mg(OH)2와 H2O2의 반응에는 큰 영향을 끼치지 않는 것으로 추정할 수 있다.
결론적으로 NaOH 대신에 사용되는 Mg(OH)2가 TMP의 과산화수소 표백 동안 리그닌 발색단 제거에 결정적인 역할을 하는 OOH-의 생성에 매우 효과적인 기여를 하는 알칼리 약품으로 사용될 수 있음을 확인하였다.
3.3 표백 폐액의 COD 비교
Fig. 3은 상이한 온도에서 TMP의 과산화수소 표백 시 알칼리 약품으로 NaOH와 Mg(OH)2를 각각 사용하였을 때 표백 후 남은 폐액의 COD를 측정한 결과를 비교한 그래프이다. 과산화수소 표백은 알칼리 조건에서 이루어지고, 이로 인해 목재 칩에 포함된 추출물이나 헤미셀룰로오스가 펄프 폐액과 함께 용출되어 폐수의 COD에 부정적인 영향을 미친다.5) 현재 TMP의 과산화수소 표백에 가장 널리 사용되는 NaOH는 용해도가 커서 H2O2와 반응성이 매우 뛰어나지만 펄프 폐액의 COD를 높게 하는 원인이 되고 있다. 이로 인해 폐수 처리 비용의 증가라는 부정적인 영향을 미치기 때문에 이를 해결하기 위한 다양한 노력들이 있어 왔다.
Fig. 3에서 보는 바와 같이 과산화수소 표백 시 적용된 온도와 무관하게 NaOH나 Mg(OH)2의 첨가량이 증가할수록 표백 폐액의 COD가 함께 증가하였다. 하지만 동일한 알칼리 첨가량에 대해 표백 온도에 관계없이 Mg(OH)2와 H2O2로 표백하였을 때 NaOH와 H2O2로 표백한 것이 더 큰 COD를 나타내었다.
한편 Mg(OH)2를 사용하여 표백할 때 상이한 표백 온도에 따른 표백 폐액의 COD를 비교하여 보면 Fig. 4에서 보는 바와 같이 표백 온도가 높아질수록 표백 약품의 반응성이 높아지면서 목재 칩에 함유된 탄수화물과 기타 추출물이 낮은 온도에서보다 더 많이 용출되어 폐액의 COD를 높게 하였다. 그럼에도 각 온도별 표백 폐액의 COD는 NaOH가 더 높게 나오기 때문에 Mg(OH)2가 폐수처리 비용을 줄이는데 더 효과적인 알칼리 약품임을 알 수 있다.
결국 NaOH보다 용해도가 더 낮은 Mg(OH)2를 과산화수소 표백용 알칼리 약품으로 사용하게 되면 백색도의 큰 손실 없이 폐수의 COD 부하를 줄이는데 기여할 수 있을 것으로 판단되었다.
3.4 표백 폐액의 양이온성 요구량 비교
Fig. 5는 TMP 펄프에 대한 과산화표백 과정에서 NaOH와 Mg(OH)2와 같은 두 종류의 알칼리 약품이 표백 폐액 내 음이온성 저해물질의 양에 미치는 효과를 비교한 그래프이다. 표백 시 온도와 상관없이 알칼리 첨가량이 높아질수록 음이온성 저해물질의 양이 증가하였고, 특히 각각의 알칼리 약품 처리 비율에서 Mg(OH)2가 NaOH보다 더 적은 양의 음이온성 저해물질을 나타내었다. 음이온성 저해물질은 알칼리 조건의 TMP의 표백 과정에서 polygalacturonic acids, 산화된 리그닌과 수지산이 용출되어 나온 것에 기인한다. 지료에 포함된 음이온성 저해물질은 초지 과정에서 충전제의 보류 불량, 침착, 종이 품질 저하 등과 같은 다양한 문제를 야기한다. 그런데 TMP의 표백 약액 조성 과정에서 NaOH 대신에 Mg(OH)2를 사용하였을 경우 Mg(OH)2로부터 이온화된 Mg2+가 표백 폐액에 포함되어 있는 음이온성 저해물질들과 결합하여 이들을 중화시켜 버림으로써 이들 저해물질들에 의한 부정적인 영향을 줄이는데 큰 기여를 하게 된다.9-11)
결론적으로 TMP의 과산화수소 표백 과정에서 NaOH 대신에 Mg(OH)2가 사용된다면 표백 폐액의 COD 감소와 음이온성 저해물질을 줄이는 더 양호한 효과를 나타내었다.
4. 결 론
국내산 소나무를 이용하여 TMP를 제조한 후 과산화수소 표백을 실시할 때 NaOH 대신에 사용된 Mg(OH)2가 펄프 백색도와 표백 폐액에 미치는 영향을 분석하였다. Mg(OH)2는 NaOH와 마찬가지로 리그닌의 발색단을 파괴하는 perhydroxyl ion의 생성에 긍정적인 영향을 미침으로써 NaOH를 사용하는 경우와 비교하여 유사한 백색도를 얻을 수 있었다. 특히 표백 폐액 중에 잔류하는 과산화수소 잔량은 알칼리 약품의 첨가량이 증가하면서 Mg(OH)2가 NaOH보다 0.005%-0.01% 정도 많이 검출되었다. 표백 폐액의 오염과 관련해서는 NaOH가 사용되었을 때보다 COD와 음이온성 저해물질의 감소에 보다 더 나은 효과를 나타내었다.







