1. 서 론
이미 오래전부터 지구온난화의 뚜렷한 징후가 나타나고 있었을 뿐만 아니라 지속적으로 많은 국가 및 사회단체에서 지구온난화의 심각성에 대하여 경고를 해왔고 또한 지구온난화를 완화시키기 위한 노력을 다각도로 경주해왔다. 이러한 지구온난화현상은 기후변화의 한 형태이면서도 생태계에 치명적인 영향을 미칠 뿐만 아니라 예측하기 어려운 대형 자연재해를 수반하고 있다. 이러한 자연재해가 지속적으로 증가함에 따라 기후변화에 대응하기 위한 일환으로 온실가스 중 가장 많은 부분을 차지하고 있는 탄소배출 저감을 위하여 다방면의 노력을 하고 있다. 이러한 노력의 일환으로 도쿄협약을 맺고, 지속적인 당사국 총회를 하면서 탄소배출 감축을 위한 목표를 설정하는 등 노력을 했으나 일부 탄소배출이 많은 선진국에서 협조가 제대로 이루어지지 않아 답보상태에 머무르고 있었다. 다행히 최근 파리에서 개최된 제21차 유엔기후변화협약(UNFCCC) 당사국 총회에 이들 선진국들이 적극 참여함으로써 지구온난화의 심각성을 더 이상 외면할 수 없음을 보여준 것이다.
우리나라도 이미 오래전부터 기후변화에 대응하기 위하여 다양한 노력을 해왔다. 정부 주도의 사업 중 하나는 한국에너지관리공단 주관하여 산업체에서 에너지 절감을 통한 탄소배출 감축을 할 수 있도록 시설투자자금을 저리 지원하는 사업이고, 다른 하나는 각 산업체별 탄소배출 감축량을 할당하여 강제적으로 탄소배출 감축을 하도록 압박을 가했다. 그러나 가장 큰 문제는 탄소배출 저감을 위한 노력을 할 경우 제조업체의 경우 생산 비용 증가에 따른 경제성 악화에 대한 부담이었다. 특히 다량의 물, 에너지 등을 사용하는 제지산업의 경우 친환경 원료 사용, 폐열 재활용 및 에너지 효율 개선, 에너지 소비 절감을 위한 공정 개선, 에너지 효율이 높은 설비로의 리빌드 등 다양한 노력을 해왔다. 이러한 탄소배축 감축을 위한 노력에 대한 전제로 생산성 및 품질 향상을 통한 경쟁력 확보가 필수조건이라 할 수 있다.
최근 학계 및 업계가 공동으로 추진하고 있는 여러 사업 중 하나는 충전제 사용량 증대를 통한 섬유 사용 및 에너지 소비 절감을 위한 노력이다. 그러나 이러한 시도의 가장 큰 문제는 충전제 사용량 증가에 따른 종이 물성의 악화이다. 물론 증강제 및 보류제 등의 사용을 통하여 보완할 수도 있겠지만 이는 곧 제지용 약품 사용 증가로 탄소배출 저감 효과를 떨어뜨리고 경제성을 악화시키는 원인으로 작용할 수 있다. 따라서 이러한 문제를 줄이기 위하여 선응집,1-2) 충전방법,3-6) 첨가제로서의 MCF 적용7-8) 등에 대한 연구가 다수 이루어졌고 이를 통하여 공정 개선 효과를 어느 정도 얻을 수 있었지만 갈수록 높아지고 있는 기대치에 이르는데 한계가 있었다.
따라서 이러한 문제 해결의 일환으로 MFC의 사용을 통한 충전제 보류, 벌크 유지 및 강도 개선을 위한 시도가 이루어지고 있다. 본 연구에서는 소량의 MFC 투입에 따른 GCC의 응집 거동을 조사하기 위하여 양이온성 전분 투입을 통한 전하 변화에 따른 GCC의 응집, MFC 투입 및 투입 순서에 따른 GCC의 응집 거동 변화를 조사하고자 수행되었다.
2. 재료 및 방법
2.1 공시재료
MFC의 제조를 위하여 활엽수 표백 크라프트 펄프(HwBKP, acacia, April, Indonesia)를 H사에서 분양받아 공시 재료로 사용하였다. GCC 응집용 첨가제로는 양성전분(치환도 0.04)을 S사에서 분양받았으며 450 rpm으로 교반하면서 90℃에서 30분간 호화하여 사용하였다. 탄산칼슘은 평균 입경 3.97 ㎛의 중질탄산칼슘으로 H사에서 분양받았다.
2.2 MFC 제조
활엽수 표백 크라프트 펄프(HwBKP)를 실험실용 해리기를 이용하여 해리한 후 1% 농도로 조절하여 그라인더를 이용하여 MFC를 제조하였다. 그라인더 운전조건은 1800 rpm, 그라인더 간격은 –150 ㎛를 적용하여 각각 30회, 60회 그라인더에 통과시켜 제조하였다. 제조된 MFC의 형상을 관찰하기 위하여 MFC 슬러리를 0.001%로 희석하여 membrane filter를 이용하여 -0.8 bar의 진공을 걸어 시트를 제조한 후 25℃ 항온수조에서 tert-butanol로 20분씩 3단계 용매치환을 실시하였다. 상온에서 동결되는지 여부를 용매 치환 완료기점으로 삼았다. 용매 치환된 MFC 시이트를 동결건조 시킨 후 FESEM(S-4300, Hitachi, Japan)을 이용하여 사진을 촬영을 실시하였다.
2.3 전하 조절
현탁액의 전하를 조절하는데 필요한 양이온성 전분의 투입량을 결정하기 위하여 GCC 현탁액에 양이온성 전분의 투입량을 조절하며 전하를 측정하였다. 30% 농도의 GCC 현탁액을 250 rpm으로 교반하면서 전분의 양을 늘려가며 투입했으며, 정확한 전하 값을 얻기 위하여 원심분리기를 이용하여 40 ㎖의 현탁액을 2000 rpm에서 30분간 원심분리하여 상등액을 취한 후 얻어진 상등액의 전하를 PCD로 측정하였으며, 이 과정을 통하여 GCC 현탁액의 전하가 –150, -50, 0, +50 및 +150 mV로 조절될 수 있는 전분 투입량을 조사한 결과 각각 GCC 중량 기준 대비 2.3, 3.1, 3.6, 4.1 및 6.7%임을 확인하였다.
2.4 응집 실험
응집플럭성장 측정장치(iPDA-500, Photometric Dispersion Analyser, Econovel Technology, Korea)를 이용하여 유량 60 ㎖/sec, 교반속도 250 rpm 조건에서 응집 실험을 진행하였다. iPDA는 지료 조성공정에서 투입되는 첨가제들이 지료의 응집에 미치는 영향을 조사하기 위한 분석장치로 비이커에 지료를 넣고 일정한 속도로 계속 교반하면서 첨가제를 투입하여 응집을 유도한 후 펌프에 의해 작은 튜브를 통과시키면서 응집플럭 성장 상태를 광센서를 이용하여 측정하여 응집플럭 성장지수 값(FSV)를 얻을 수 있다. 응집실험은 Fig. 1에 도시된 바와 같이 총 세 가지 조건에서 진행하였다. 첫 번째 실험(Control)은 250 rpm으로 교반하면서 0.01%의 GCC 현탁액에 0.1% 농도의 C-Starch를 투입하여 전하를 5수준(-150, -50, 0, +50 및 +150 mV)으로 조절하였다. 두 번째 실험(Condition 1)은 250 rpm으로 교반하면서 0.01% 농도의 GCC 현탁액에 0.1% 농도의 전분을 투입하여 전하를 먼저 조절하고 응집이 안정된 이후 0.01% 농도의 MFC를 GCC 중량 대비 0.086% 투입하였다. 이후 응집체의 크기가 일정해진 이후 500 rpm으로 교반 속력을 상승시킴으로서 응집의 안정화 정도를 파악하였다. 세 번째 실험(Condition 2)에서는 동일한 투입량의 C-starch와 MFC 투입 순서를 바꿀 경우 어떤 변화가 일어나는지 확인하기 위하여 250 rpm으로 교반하면서 0.01%의 GCC 현탁액에 0.01% 농도의 MFC를 GCC 중량 대비 0.086%를 투입한 후 응집이 안정됨을 확인한 후 0.1% 농도의 양성 전분을 앞의 두 실험과 동일한 양을 투입하고 응집체의 크기가 일정해진 뒤 500 rpm으로 교반하였다. 본 실험에서 사용된 MFC는 그라인딩을 30회 및 60회 실시하여 제조된 것을 condition 1과 condition 2에서 각각 적용하였다. MFC의 투입량은 수초지 제조 실험을 통하여 투입량에 따른 물성 변화 및 탈수 특성의 조사를 통하여 적절한 투입량이 펄프 중량 대비 0.03%였으며, GCC 중량 기준으로 환산한 값인 0.086%로 정하였다.
3. 결과 및 고찰
3.1 MFC의 FESEM 이미지
충전제 함량 증가에 따른 강도 감소 부담을 줄이기 위하여 GCC 선응집 수단으로 양이온성 전분과 더불어 MFC를 사용하였다. 이때 사용한 MFC의 특성에 따른 변화 유무를 조사하기 위하여 30회와 60회 그라인딩을 실시하여 제조된 MFC를 사용하였다. 전자현미경 사진 촬영을 하는 동안 섬유간 결합 및 섬유의 건조에 따른 수축 현상을 최소화하기 위하여 용매치환 및 동결건조를 실시하기는 하였지만 이미 30회 그라인딩을 통하여 상당히 소섬유화가 이루어지고 전자현미경사진 촬영을 위하여 진공을 이용한 시트 제조과정에서 섬유가 서로 엉키고 네트워크를 형성한 것이 관찰되어 두 조건으로 제조된 MFC의 상태를 비교하기 쉽지는 않았지만 Fig. 2에서 보는 바와 같이 그라인더 통과 횟수가 많을수록 소섬유화가 더욱 많이 이루어지고 더 벌키한 구조를 형성한 것을 관찰할 수 있었다. 이와 같이 소섬유화가 많이 진행될수록 비표면적이 증가되고, 섬유의 직경이 작아지기 때문에 GCC와의 응집이 증가될 것으로 예상된다.
3.2 GCC의 응집 특성
제지원료로 사용되고 있는 충전제를 포함한 모든 원료들은 물에 해리될 경우 여러 가지 원인 및 기구를 통하여 전하를 띠게 되는데 대부분 음전하를 나타낸다. 또한 이들의 입자 크기가 작기 때문에 제지공정에서 보류시스템을 통하여 응집 또는 흡착 등의 기구를 통하여 망상구조의 펄프 시이트 구조 내에 정착된다. 그러나 종이 제조 시 용도에 따라 요구되는 성질을 만족시키고, 종이의 품질, 경제성 및 생산성을 확보해야하기 때문에 매우 복잡하다. 이러한 목적을 달성하기 위하여 섬유간결합을 방해하여 강도의 저하를 유발하는 충전제를 전처리함으로서 보류도 향상시키면서 종이의 제반 물성을 유지하는 것이 매우 중요하다. 따라서 본 연구에서는 충전제 투입 전에 전처리를 통한 응집을 유도하였고, 전처리 조건에 따라 이들이 어떤 거동을 보이는 가를 관찰하여 최적 조건을 탐색하기 위하여 GCC 현탁액의 양이온성 전분 투입에 의한 전하 변화, MFC 투입 및 투입 순서에 따른 GCC의 응집 거동을 관찰하기 위하여 iPDA(intelligent Photometric Dispersion Analyser)를 이용하였다. GCC의 응집은 응집 조건에 따라 달라질 수 있으며, 본 실험에 사용한 iPDA는 응집체의 절대적인 크기를 측정하기보다는 상대적인 응집 크기를 나타냄으로써 환경 변화에 따른 응집 거동을 비교하기 위한 장치이다.
3.2.1 양이온성 전분 투입에 의한 전하 변화가 GCC 응집에 미치는 영향
Fig. 3에 도시된 그림들은 0.01%로 희석된 GCC 현탁액에 양이온성 전분 투입량을 달리하여 현탁액의 전하가 각각 –150, -50, 0, +50 및 +150 mV가 되도록 조절하여 GCC의 응집에 어떤 변화가 오는가를 관찰한 결과이다. 양이온성 전분만 투입하였을 경우 쉽게 예상할 수 있는 바와 같이 등전점에 가까워질수록 GCC의 응집체의 크기가 커지는 것을 관찰할 수 있었다. 이와 같은 현상은 음전하의 경우에는 이온간 반발에 의하여 벌키한 구조가 형성되지만 등전점에 가까울수록 반발력이 작아져 응집체가 커진 것으로 사료된다.
3.2.2 MFC의 그라인딩 수준 및 투입 순서가 GCC 응집에 미치는 영향
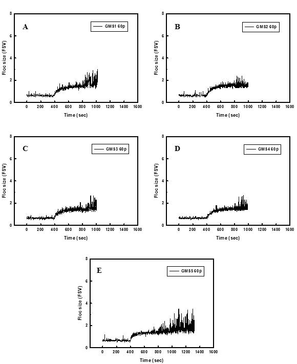
비록 양이온성 전해질 또는 고분자를 이용하여 충전제를 선응집 처리를 할 경우 기존 충전 방식에 비하여 강도가 개선될 수 있기는 하지만1-2) 충전제 함량이 더욱 증가할 경우 강도 개선 효과가 만족스럽지 못하여 이를 개선하기 위한 일환으로 양이온성 전분을 투입하여 5개 수준으로 전하를 조절하면서 선응집을 실시한 후 그라인딩 정도를 달리한 2종의 MFC를 각각 투입하여 GCC의 응집거동을 관찰한 결과를 Fig. 4(30회 그라인딩 한 MFC 투입)와 Fig. 5(60회 그라인딩 한 MFC 투입)에 도시하였다. 양이온성 전분으로 현탁액의 전하를 조절하여 선응집을 실시한 후 30회 그라인딩한 MFC를 투입한 결과 –150 mV에서 응집체의 크기가 가장 컸으며, 등전점에 접근함에 따라 응집체의 크기가 작아졌으나 양이온성 전분만 투입했을 때보다는 응집체가 크게 나타났다. 그러나 등전점 이후부터는 양이온성 전분만 투입했을 때보다 응집체의 크기가 작아졌다. 이와 같은 현상이 일어난 것은 음전하일 경우에는 비록 MFC의 반응성이 클지라도 GCC와 같은 음이온을 띠기 때문에 벌키한 응집체를 형성하여 양이온성 전분만 투입 시보다 큰 응집체가 얻어지지만 현탁액이 등전점을 거쳐 양전하로 옮겨감에 따라 반발력이 감소됨에 따라 보다 치밀한 구조의 응집체가 형성되었기 때문인 것으로 사료된다. 60회 그라인딩하여 제조한 MFC 투입 시에는 30회 그라인딩 한 MFC 투입 시에 비하여 전체적으로 응집체의 크기가 감소되었고, 현탁액의 전하가 음이온에서 양이온으로 전환됨에 따른 응집체 크기의 변화는 유사한 경향을 나타내었다. 이러한 결과 및 Fig. 2의 SEM 사진에서 볼 수 있는 바와 같이 그라인딩 횟수가 증가됨에 따라 소섬유화가 더욱 일어나 GCC 응집체가 더욱 치밀한 구조를 이루게 된 것으로 사료된다. 따라서 양이온성 전분으로 선응집을 한 후 MFC 투입 시 MFC 그라인딩 정도를 증감시키는 방법을 통하여 필요로 하는 응집체의 크기 및 치밀성 정도의 조절이 가능함을 확인할 수 있었다.

Fig. 4.
Effect of the addition of MFC (30 times grinded) on the flocculation of GCC (Cationic starch addition, based on GCC weight: A 2.3%, B 3.1%, C 3.6%, D 4.1%, E 6.7%, MFC addition, based on GCC weight: 0.086%).

Fig. 5.
Effect of the addition of MFC (60 times grinded) on the flocculation of GCC (Cationic starch addition, based on GCC weight: A 2.3%, B 3.1%, C 3.6%, D 4.1%, E 6.7%, MFC addition, based on GCC weight: 0.086%).
MFC 투입 순서에 따른 반응을 보기 위하여 먼저 MFC를 투입하여 GCC와 혼합하고 첫 번째 및 두 번째 조건과 동일한 양의 양이온성 전분을 투입하면서 응집 현상을 관찰한 결과 Fig. 6(30회 그라인딩 한 MFC 투입)과 Fig. 7(60회 그라인딩 한 MFC 투입)에서 보는 바와 같이 전술한 2가지 다른 응집조건에 비하여 매우 작은 크기의 응집체가 형성되었으며, MFC의 특성 및 양이온성 전분 투입량이 응집체 형성에 거의 영향을 미치지 않았다. 이러한 결과가 얻어진 것은 이미 GCC 현탁액 자체가 음전하를 띠고 있는데 소섬유화가 많이 일어나 등전점에 이르는데 필요한 양이온 요구량이 높은 MFC가 가해짐으로써 마지막에 가해지는 양이온성 전분이 GCC의 응집 거동에 크게 영향을 미치지 못하고 오히려 응집체의 크기를 감소시키는 역할을 하는데서 비롯된 것으로 사료된다.
이상의 결과에서 보는 바와 같이 GCC의 전처리제로 사용하는 현탁액의 전하, 첨가제의 종류 및 첨가 방법에 따라 매우 다양한 형태의 GCC 응집체를 얻을 수 있음을 확인할 수 있었다.
4. 결 론
급속히 심화되고 있는 기후변화 및 지구온난화현상에 대응하기 위한 일환으로 국내에서도 산학연 협력을 통하여 제지공정에서의 에너지 소비를 줄이기 위하여 충전제 사용을 늘리고 섬유 사용량을 줄이기 위한 다양한 시도를 해왔다. 본 연구에서는 이러한 노력의 일환으로 소량의 MFC 투입에 따른 GCC의 응집 거동을 조사하기 위하여 양이온성 전분 및 MFC 투입에 따른 GCC의 응집 거동을 조사하였다.
본 연구 결과에 의하면 양이온성 전분만 투입하였을 경우에는 등전점에 가까워질수록 응집체가 커지는 현상을 보여주었다. 그러나 양이온성 전분과 더불어 MFC의 사용은 양이온성 전분 단독 사용 시와는 전혀 다른 GCC의 응집거동을 나타내었다. 양이온성 전분으로 현탁액의 전하를 조절하여 선응집시킨 후 30회 그라인딩하여 제조한 MFC를 투입하였을 경우에는 양이온성 전분 단독 사용 시보다 응집체가 커졌고 –150 mV에서 가장 큰 응집체를 형성하였지만 등전점부터는 응집체 크기가 계속 작아졌으며, 60회 그라인딩한 MFC 사용 시에는 비록 전하 변화에 따른 경향은 유사하였지만 응집체 크기가 감소되는 경향을 나타내었다.
MFC 투입 순서에 따른 반응을 보기 위하여 먼저 MFC를 투입하여 GCC와 혼합하고 첫 번째 및 두 번째 조건과 동일한 양의 양이온성 전분을 투입하면서 응집 현상을 관찰한 결과 전체적으로 매우 작은 크기의 응집체가 형성되었으며, MFC의 특성 및 양이온성 전분 투입량은 응집체 형성에 거의 영향을 미치지 않았다.
이상의 결과에서 보는 바와 같이 GCC의 전처리제로 사용하는 현탁액의 전하, 첨가제의 종류 및 첨가 방법에 따라 매우 다양한 형태의 GCC 응집체를 얻을 수 있음을 확인할 수 있었다.







