1. 서 론
위생용지나 식품용 포장지 등의 지류제품을 생산하는 제지업체에서는 형광증백제가 사용되지 않지만 이들 제품에서 형광물질이 잔류하는 이유는 백색폐지가 원료로 사용되기 때문이다. KS 규격에 따르면 백색폐지는 폐백상지, 폐화이트레저, 폐잡지 등이 포함되는데1) 이들 종이에는 백감도와 백색도를 향상하기 위해 사용된 형광증백제가 잔류하고 있다. 따라서 근원적으로 종이제품에 형광물질을 차단하거나 최소화하기 위해서는 이들 종이의 원료로 사용되는 백색 인쇄용지의 형광증백제 사용량을 최소화하고 백색 인쇄용지를 원료로 사용하는 화장지와 식품용 포장지 제조업체에서는 형광증백제를 탈착하거나 소광할 수 있는 기술이 동시에 확립되고 적용되는 것이 매우 필요하다.
백색폐지에서 형광증백제를 소광하기 위해 다양한 기술들이 보고되었다. 양이온성 고분자, 산화제, 오존, 차염소산 등으로 폐지를 처리하면 형광증백제의 영향을 감쇄하거나 형광증백제를 산화시킬 수 있다고 보고되었다2-4). 하지만 이러한 노력에도 불구하고 형광증백제를 소광시키거나 산화시키는 기술로는 폐지에 잔류하고 있는 형광증백제를 제거하기에는 한계가 있고 더욱이 종이 제조공정에서 적용하기는 불가능하다. 따라서 본 연구에서는 형광증백제를 분해하거나 파괴하는 것이 아니라 폐지를 구성하는 셀룰로오스 섬유 표면에서 형광증백제를 분리하여 제거하기 위한 기술을 개발하고자 하였다.
인쇄용지에는 내첨용과 표면처리용 형광증백제가 사용되는데 최근 표면처리용 형광증백제의 사용량이 증가하고 있다5). 이는 표면처리용 형광증백제의 증백효과가 내첨용에 비해 뛰어나기 때문이다. 표면처리용 형광증백제는 전분이나 캐리어약품과 함께 종이표면에 처리되기 때문에6,7) 백색 폐지에 잔류하는 형광증백제 중에서 셀룰로오스 섬유와 강하게 결합되어 있는 내첨용 형광증백제보다는 표면처리용 형광증백제를 폐지로부터 분리 대상으로 하는 것이 가장 효율적이라 판단된다.
본 연구에서는 백색폐지에 잔류하는 표면처리용 형광증백제를 제거하기 위한 물리적, 화학적 처리 기술에 대한 기초연구를 진행하였다. 이를 위해 백색폐지인 화이트레저를 사용하여 해리처리, 지료조건, 계면활성제 투입, 부유부상처리에 따른 화이트레저의 형광지수 변화를 분석하여 폐지로부터 형광증백제의 분리 가능성을 파악하였다.
2. 재료 및 방법
2.1 공시재료
KS 규격에 따르면 백색 폐지의 종류는 다양하나 본 연구에서는 백색 폐지로 H사에서 생산하는 75 g/m2의 복사지와 백색폐지인 국산 폐화이트레저(white-ledger)를 모델링하였다. 국산 폐화이트레저는 국내 백판지 업체에서 분양받아 사용하였는데 백상지에 검정 잉크 및 레이저 프린터 등으로 인쇄된 상태의 종이를 말한다1). 계면활성제로는 비이온성 알코올계 계면활성제를 사용하였는데 기본특성을 Table 1에 나타냈다. 펄프슬러리의 pH를 조절하기 위해 99.8% NaOH를 사용하였다.
2.2 실험방법
2.2.1 형광증백제 분리를 위한 해리조건 탐색 방법
해리조건에 따른 형광증백제의 분리를 분석하기 위해 복사지를 사용하였다. 이 때 모델 종이의 균일성을 확보하기 위해 해리 이전에 파쇄기(60Cs, Fellowes, Korea)를 이용하여 파쇄를 실시하였다. 파쇄한 복사지를 청수에 침전시켜 충분히 팽윤시킨 후 2% 농도로 희석하여 실험실용 고속해리기(Disintegrator, Daeill machinery, Korea)를 이용해 23℃, pH 7 조건에서 해리를 실시하였다. 최적 해리시간을 선정하기 위해 30분, 1시간, 2시간, 3시간으로 해리시간을 나눠서 해리를 실시하였다. 폐지로부터 형광증백제의 분리를 파악하기 위해 실험실적으로 수초지를 제조하였다. 해리된 지료에 청수를 첨가하여 0.5%로 희석을 실시하였고 TAPPI T205에 의거하여 평량 100±4 g/m2 습지필을 제조하였다. 이후 3.5 kgf/cm2 조건에서 5분간 압착한 후 실험실용 실린더 건조기로 건조시켜 수초지를 제조하였다.
2.2.2 형광증백제 분리를 위한 계면활성제 처리 및 부유부상 처리 방법
본 연구에서는 계면활성제 투입에 따른 폐화이트레저에 잔류하는 형광증백제의 분리와 계면활성제 투입한 상태에서 해리를 실시한 후 부유부상처리에 따른 폐화이트레저에 잔류하는 형광증백제의 분리를 정량적, 정성적으로 파악하고자 하였고 실험모식도를 Fig. 1에 도시하였다.
폐화이트레저에는 다양한 인쇄용지들이 포함되어 있기 때문에 폐화이트레저의 균일성을 확보하기 위해 파쇄기로 파쇄를 실시하였다. 계면활성제와 지료조건에 따른 형광증백제의 제거를 분석하기 위해 충분히 팽윤시킨 폐화이트레저를 2% 농도로 희석하고 실험실용 고속해리기로 일정시간 해리를 실시하였다. 해리 전에 지료의 온도를 23℃, 30℃, 45℃로 각각 고정한 후 pH 7과 pH 10 조건에서 계면활성제를 전건섬유대비 0.1, 0.2, 0.3%를 투입하였고 이후 일정한 시간동안 해리를 실시하였다. 상세 실험조건은 Table 2과 같다. 계면활성제 처리 이후 지료를 0.5%로 희석을 하였고 평량 100±4 g/m2 의 수초지를 제조하였다.
Table 2
Experiment conditions for the removal of FWAs from white waste paper
| Surfactant name | SCCO PD-9700 |
| pH | 7 / 10 |
| Temperature | 23 / 30 / 45℃ |
| Addition | 0.1 / 0.2 / 0.3 % on o.d. fibers |
계면활성제 투입 이후 추가적인 부유부상 처리에 따른 형광증백제의 제거를 파악하기 위해 실험실용 부유부상 탈묵기(DM-843, Deaill machinery, Korea)를 이용하여 부유부상처리를 실시하였다. 계면활성제 투입 조건은 앞선 계면활성제 효과 분석방법과 동일하게 진행하였고 이후 해리된 지료를 1% 농도로 희석한 후 온도 30℃, 분당 8L 공기를 주입하면서 5분간 부유부상처리를 실시하였다. 부유부상처리가 진행되는 동안 펄프로부터 분리되어 부유부상 탈묵기 표면에 떠오른 리젝트(reject)를 공기방울과 함께 제거하였다. 이 후 지료를 0.5%로 희석을 하였고 평량 100±4 g/m2 의 수초지를 제조하였다.
2.2.3 수초지의 형광지수 측정에 따른 형광증백제 분리 평가 방법
물리적, 화학적 처리이후 제조된 수초지의 형광지수를 측정하여 형광증백제의 분리를 파악하였다. 측정 이전에 온도 23℃, 상대습도 50% 조건에서 수초지를 조습처리(conditioning)하였다. 조습처리 이후 분광광도기(Elrepho spectrophotometer, L&W, Sweden)를 이용하여 형광지수(fluorescence index), 백감도(CIE whiteness), 백색도(ISO brightness)를 측정하였고 각 항목들의 측정 조건을 Table 3에 도시하였다. 형광지수는 자외선이 있을 때와 없을 때 백감도나 백색도의 차로 정의되는데 분광광도기를 이용하면 광원, 측정항목에 따라 8종류의 형광지수 측정이 가능하다. 이 중에서 형광증백제의 분석을 위해서는 D65 광원 조건에서 백감도차로 정의되는 형광지수의 측정이 가장 바람직하다고 보고되었기8) 때문에 본 연구에서는 D65 광원하에서 백감도를 측정하여 형광지수를 평가하였다. 또한 형광증백제 함량과 형광지수의 상관관계는 높은 선형관계를 가지기 때문에9) 물리적 혹은 화학적 처리 전후의 형광지수차를 평가하면 형광증백제의 분리를 정량적으로 분석할 수 있다. 따라서 본 연구에서는 형광증백제의 정량 및 정성분석을 위해 형광지수차(△Fluorescence index)를 Eq. 1을 이용하여 계산하였다.
Table 3
Light sources for optical property measurements
| Item | Light source |
| Fluorescence index | D65 |
| CIE whiteness | D65 |
| ISO brightness | C |
△Fluorescence index = FItreated - FIuntreated Eq. 1 where, FItreated : fluorescence index of handsheet made from treated white ledger stock, FIuntreated : fluorescence index of handsheet made from untreated white ledger stock
3. 결과 및 고찰
3.1 해리조건에 따른 형광지수 측정 결과
해리시간에 따른 형광지수 변화를 파악하기 위해 해리시간별로 해리를 실시한 후 제조한 수초지의 형광지수와 형광지수차를 Fig. 2에 도시하였다. 해리가 진행됨에 초기에는 형광지수가 감소하였다. 그러나 해리시간이 약 30분이 지난 이후에는 형광지수가 다시 증가하는 경향을 나타냈다. 초기 해리 조건에서는 복사지에 잔류하는 전분과 형광증백제가 기계적 처리에 따라 분리되나 이후 해리시간이 증가함에 따라 지료의 백수에 용해되어 있는 형광증백제가 섬유에 다시 재흡착이 일어나 형광지수는 다시 증가하는 것으로 판단된다. 따라서 형광증백제의 분리를 위해서는 형광증백제의 재흡착을 피할 수 있도록 해리시간이 너무 길게 하지 않는 것이 중요하다고 판단된다.

Fig. 2
Effect of disintegration time on the fluorescene index (left) and the △fluorescence index (right) of handsheets made from white ledger stock.
형광지수에 따른 백감도와 백색도를 Fig. 3에 나타냈다. 백감도는 형광지수의 변화와 거의 동일한 경향을 나타냈으나 변화폭은 형광지수보다 높은 것을 볼 수 있다. 또한 백색도도 동일한 경향을 보여주었으나 변화폭은 형광지수보다 더 낮았다. 이는 백감도는 형광증백제의 함량에 직접적인 영향을 받기 때문이라고 판단된다.

Fig. 3
Effect of disintegration time on the CIE whiteness (left) and the ISO brightness (right) of handsheets made from white ledger stock.
이러한 결과를 통해 해리시간을 길지 않게 약 30분 정도로 고정하고 형광증백제의 분리 정도는 백감도나 백색도를 고려하여 선정해야 할 것으로 판단된다.
3.2 지료 조건과 계면활성제 투입에 따른 형광지수 측정 결과
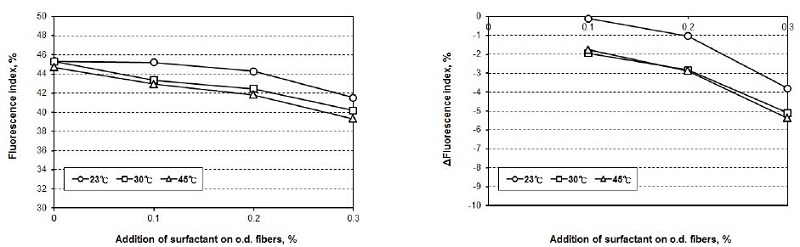
계면활성제의 투입에 따른 형광지수의 변화를 분석하고자 pH 7과 pH 10 조건에서 전건 펄프대비 계면활성제 투입량 0.1, 0.2, 0.3%를 투입하여 온도별로 해리 실시 후 수초지를 제작하여 광학적 특성을 분석하였다. Fig. 4에서는 pH 7 조건에서 해리온도별, 계면활성제 투입량별 수초지의 형광지수를 나타냈다. 계면활성제 투입량이 증가함에 따라 형광지수가 감소하였고 형광지수차가 음의 방향으로 증가하였다. 그러나 온도가 증가함에 따라 동일한 계면활성제 투입량에서 더 낮은 형광지수를 나타냈다. 더 낮은 형광지수는 더 높은 형광증백제 분리정도를 나타내기 때문에 온도가 높을수록 계면활성제에 의한 형광증백제의 분리가 더욱 촉진되는 것으로 판단된다. Fig. 5에서는 pH 10 조건에서 해리온도별, 계면활성제 투입량별 수초지의 형광지수와 형광지수차를 도시하였다. pH 10 조건에서도 동일하게 계면활성제의 투입량과 온도가 증가할 때 수초지의 형광지수는 더 낮은 값을 보여주었다. 지료의 pH에 따른 형광지수를 비교해 보면 pH가 높을수록 수초지의 형광지수가 더 낮게 나타났고 계면활성제 투입에 따른 형광지수차가 더 높은 것을 알 수 있었다. pH가 중성에서 알칼리성으로 높아질수록 백색폐지자체의 형광지수가 더 낮게 나타났고 동일한 온도와 계면활성제 투입량에서 수초지의 형광지수가 더 낮게 나타났고 형광지수차는 음의 값으로 더 증가하였다. 이는 해리온도가 증가할수록 백색폐지에 표면사이징처리된 전분의 용출량이 더 증가하게 되고 pH가 알칼리 조건으로 증가할수록 형광증백제의 용해도가 증가하기 때문이다10). 따라서 계면활성제에 의한 형광증백제의 분리 가능성을 확인하였고 형광증백제의 제거를 촉진하기 위해서는 해리온도와 pH를 알칼리 조건으로 유도하는 것이 중요하다.

Fig. 4
Effect of temperature and surfactant addition on the fluorescene index (left) and the △fluorescence index (right) of handsheets made from white ledger stock at pH 7.

Fig. 5
Effect of temperature and surfactant addition on the fluorescene index (left) and the △fluorescence index (right) of handsheets made from white ledger stock at pH 10.
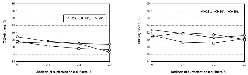
Fig. 6에서는 pH 10 조건에서 온도와 계면활성제 투입량을 달리한 수초지의 백감도와 백색도를 도시하였다. 온도 45℃와 계면활성제 0.3% 투입수준에 형광지수는 최대 9% 감소하였으나 백감도는 최대 6%, 백색도는 최대 4% 수준으로 변화하였다. 따라서 폐화이트레저에서 형광증백제를 제거할 때 백감도와 백색도를 고려하여야 할 것으로 판단된다.
3.3 계면활성제와 부유부상 처리에 따른 형광지수 변화
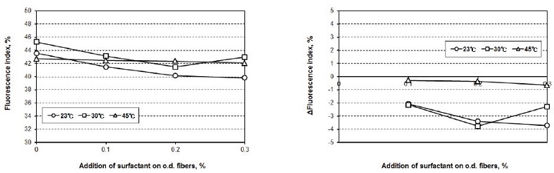
해리 실시 후 추가적으로 부유부상 공정을 실시하여 계면활성제투입량에 따른 형광지수를 측정하기 위해 pH 7 및 pH 10 조건에서 실험을 실시하여 실험실적으로 수초지 제작한 후 형광지수와 형광지수차를 측정하였고 Figs. 7-8에 도시하였다. pH 7 조건인 경우 계면활성제 투입량에 따라 형광지수가 감소하는 경향을 보이지만 감소폭은 부유부상 처리하지 않은 경우보다 낮았다. 또한 pH 10 조건에서도 형광지수가 감소하는 경향을 나타냈지만 감소폭은 부유부상 처리하지 않는 경우보다 낮았다. pH 10 조건에서는 pH 7보다 상대적으로 높은 형광지수차를 나타냈지만 부유부상처리하지 않았을 때에 비해 감소폭은 매우 낮은 것으로 나타났다. 이러한 결과로 판단하면 pH, 온도, 계면활성제 처리에 따라 형광증백제의 분리가 이루어지지만 추가적으로 부유부상 처리가 진행됨에 따라 펄프의 백수로 용해된 형광증백제가 셀룰로오스 섬유로 재흡착이 이루어져 형광지수 감소폭이 낮은 것으로 판단된다. 따라서 물리적, 화학적 처리 이후 부유부상처리를 실시하지 않는 것이 바람직할 것으로 판단된다.
4. 결 론
본 연구에서는 백색폐지에 잔류하는 형광증백제를 제거하기 위한 물리적, 화학적 처리 기술에 대한 기초연구를 수행하였다. 백색폐지에는 내첨용 형광증백제와 표면처리용 형광증백제가 잔류하나 상대적으로 함량이 높고 분리가 용이한 표면처리용 형광증백제를 대상으로 하여 물리적, 화학적 처리 기술을 통해 섬유로부터 형광증백제의 분리하고자 하였다. 이를 위해 해리시간, 계면활성제 투입, 지료조건, 부유부상 처리에 따른 백색폐지의 형광지수 변화를 분석하였다.
초기 해리시간에서는 형광지수가 감소하다가 해리시간이 길어짐에 따라 형광지수가 다시 증가하였다. 이는 해리시간이 증가하게 되면 분리된 형광증백제가 다시 흡착되기 때문에 해리시간은 섬유가 충분히 해리될 수준에서 짧을수록 형광증백제의 제거에 유리하다고 판단된다.
계면활성제가 투입됨에 따라 pH와 온도가 증가할수록 형광지수가 감소하였고 이는 형광증백제의 분리가 증가한다는 것을 알 수 있었다. 그러나 이 후 부유부상을 추가로 진행했을 때 용출된 형광증백제가 섬유로 재흡착이 일어나기 때문에 형광지수의 감소폭이 확연히 감소하였다.
따라서 계면활성제를 이용한 형광증백제의 분리 가능성은 확인하였고 최적 지료조건을 도출하였으나 부유부상 처리를 하지 않는 것이 바람직한 것으로 판단된다. 또한 형광증백제 함량이 재활용된 백색폐지의 광학적 특성에 직접적인 영향을 미치기 때문에 광학적 특성을 고려해서 형광증백제의 분리 정도를 결정하여야 한다.






