1. 서 론
현대 사회의 산업 발달은 사람에게 유익한 편의를 추구하게 되었지만, 이로 인해 다양한 유해 물질들이 제거되지 않고 배기가스와 폐수 등에 혼합되어 배출되고 있다. 이러한 유해 물질들은 수권, 토양권, 대기권으로 스며들어 환경을 오염 시키는 것은 물론 인간의 생활과 건강에도 악영향을 미치고 있다.1,2) 특히 중금속 오염은 분해되지 않고 생물권을 순환하며 먹이사슬에 의해 인간에게 유입 및 축적되어 심각한 질병을 유발하는 것으로 알려져 있다. 이에 중금속의 관리 및 규제는 세계적인 문제점으로 대두되고 있는 실정이다.3)
이 중 카드뮴은 인산염 비료 제조, 합금, 세라믹, 안료 등 다양한 산업분야에서 사용되고 있다. 이러한 카드뮴은 일상에서 쉽게 접할 수 있는 휴대폰, 전지 등에도 포함되어 있지만, 사용 후 쉽게 버려져 심각한 수질오염 등을 유발한다. 배출된 카드뮴은 먹이사슬을 통해 상위 포식자에게 이동 및 축적되며, 결국 인체로 유입될 수 있다. 체내에 축적된 카드뮴은 분해, 배설되지 않고 장기간에 걸쳐 고혈압, 신장 기능장애, 폐와 간의 손상, 기형아 등의 문제를 야기한다.4,5) 특히 일본에서 발생한 이타이이타이병은 카드뮴 중독에 의한 사례로 인체의 칼슘대사 장애로 인해 뼈를 연골화시켜 목숨을 앗아가기도 한다. 이에 전 세계적으로 중금속의 관리와 규제가 매우 중요해짐과 동시에 대기권, 토양권, 수권에 포함되어 있는 중금속을 흡착, 제거하는 기술개발 또한 중요해졌다. 이처럼 인간의 생활과 환경을 보호한다는 측면에서 유해중금속의 저감 방안에 대해 다양한 연구가 활발히 진행되고 있다.
현재까지 개발되어 있는 중금속 제거 방법으로는 생물학적 처리, 막 처리, 고급산화공법, 전기화학적 기술, 이온교환법 등이 있다.6) 그 중에서도 현재 가장 광범위하게 사용되고 있는 방법은 흡착법이다. 흡착법의 원료로는 활성탄, 농업폐기물(달걀껍질, 감자껍질 등), 미세토양 등이 사용되었는데 최근에는 천연다당류(셀룰로오스, 전분, 키토산 등)에 대한 연구가 진행되고 있다.7) 이러한 천연 다당류는 자연계에서 쉽게 얻을 수 있고, 또한 재생 가능한 자원으로써 유해중금속에 대한 흡착능력이 뛰어난 것으로 알려져 있다.8,9) 이러한 면에서, 천연 다당류를 이용한 중금속 흡착 소재는 경제성, 효율성 그리고 높은 활용성까지 갖춘 재료로써 주목받고 있다.
따라서 본 연구에서는 ashless pulp를 이용하여 alkali hydroxide-urea 용제로 용해시켜 제조한 하이드로겔과 에어로겔에 대한 카드뮴 흡착 특성을 pH와 농도별로 비교 검토하였다.
2. 재료 및 방법
2.2 실험방법
2.2.1 셀룰로오스 하이드로겔과 에어로겔 제조
하이드로겔, 에어로겔 제조를 위한 용제로는 alkali hydroxide-urea를 이용하였다. 용제의 제조는 NaOH/urea/H2O(7:12:81 w/w/w)를 중량비로 혼합하여 만들었다.10) 제조된 용제는 –10℃에서 냉각시킨 후 원료를 혼합하여 최종농도를 3% 조건으로 설정하였다. 원료와 용제가 혼합된 상태로 실온에서 10분간 교반하여 2회 용해과정을 반복하였다. 용해과정에서 발생된 기포는 원심분리기를 20±1℃의 온도 조건에서 10분간 3,000 rpm의 조건으로 실시하여 제거하였다. 기포가 제거된 상태의 용액을 에어로겔의 형태에 따른 특성을 검토하기 위해 필름형과 비드형으로 제조하였다(Fig. 1). 필름형은 유리판 위에 50×50×2 mm 크기로 용액을 부은 후 MeOH에 담가 재생시킨 후 환펀치를 이용하여 제조하였다(Fig. 1a). 비드형은 원형관을 이용하여 용해된 용액을 MeOH에 한 방울씩 떨어뜨려 재생시켜 제조하였다(Fig. 1b). MeOH로 재생된 겔은 24시간 수세하여 하이드로겔 상태로 제조하였고, 에어로겔은 제조된 하이드로겔을 다시 EtOH과 t-BuOH로 유기용매치환과 동결건조를 통해 에어로겔을 제조하였다.
2.4 셀룰로오스 하이드로겔과 에어로겔의 카드뮴 흡착 특성 분석
2.4.1 카드뮴 흡착 특성
중금속 흡착율을 평가하기 위해 cadmium standard solution(Kanto Chemical, Japan)을 사용하였다. 중금속 농도는 0-150 ppm의 조건으로 카드뮴폐수를 제조하였다. 흡착 반응을 하기 위한 카드뮴 폐수의 pH별 제조는 1 M HCl, 0.1 M HCl, 1 M NaOH, 0.1 M NaOH를 이용하여 pH 4, 6, 8로 제조하였다. 농도 별로 설정된 10 ml의 카드뮴폐수에 필름형과 비드형 시료 0.1 g을 투입하고 shaking incubator(NSIR-10, NEXUS Tech-nologies Co. Ltd, Korea)를 이용하여 20±1℃의 온도조건에서 150 rpm, 24시간 동안 교반하여 흡착 실험을 진행하였다. 중금속 흡착 후 상등액을 여과지(No. 2, Whatman, USA)에 통과시켜, ICP(inductively coupled plasma, Teledyne Leeman Labs Co., USA)를 이용하여 분석하였다.
2.4.2 SEM/EDS(scanning electron microscope/energy dispersive X-ray spectroscopy)
흡착된 카드뮴의 분포는 카드뮴 100 ppm의 시료를 이용해서 SEM/EDS를 활용하였다. 이온코팅기를 이용하여 5 mA에서 Au를 코팅한 후 주사전자현미경을 통해 이미지를 전송하였다. 이때 working distance는 15 mm로 설정하고 가속 전압 조건은 30 kV로 실시하였으며, SEM 이미지의 배율은 1,000배로 설정하였다. 이후 EDS(X Flash Detector 410-M, Bruker, Germany)를 이용하여 흡착제에 흡착된 카드뮴의 분포를 분석하였다.
3. 결과 및 고찰
3.1 에어로겔의 미세구조 관찰
Figs. 2와 3은 alkali hydroxide-urea 용제를 이용하여 셀룰로오스를 용해시킨 후, 재생하여 동결건조 방법으로 제조한 비드형(Fig. 2)과 필름형 에어로겔(Fig. 3)을 주사전자현미경으로 관찰한 사진이다. 하이드로겔은 에어로겔의 제조 전 단계이며, 동일한 구조에서 공극 사이에 물이 들어가 있어 구조파악을 방해하기 때문에 에어로겔을 관찰하였다. 비드형의 표면(Fig. 2a)은 미세공극과 표면이 갈라진 형태가 관찰되었다. 필름형 표면(Fig. 3a)은 많은 부분이 계곡형태로 갈라진 것이 관찰되었고, 보여준 형상은 단면과 비슷하였다. 단면은 비드형(Fig. 2b)과 필름형 에어로겔(Fig. 3b) 모두 3차원 망목구조가 관찰되었다.
3.2 셀룰로오스 하이드로겔과 에어로겔의 흡착 특성
3.2.1 셀룰로오스 하이드로겔과 에어로겔 pH 조건별 카드뮴 흡착 특성
일반적으로 중금속 흡착제의 표면에서 일어나는 물리, 화학적으로 흡착은 pH의 영향을 많이 받기 때문에 중금속 흡착과정에서 폐수의 pH는 매우 중요한 요소이다.11,12) 본 연구에서는 pH 4 이하와 pH 8 이상의 조건에서는 하이드로겔과 에어로겔에 대한 카드뮴 흡착 특성 검토를 실시하지 않았다. 이는 강산성 조건에서 많은 H+ 이온이 중금속 이온과 흡착제의 흡착 부위에서 경쟁적으로 흡착 반응이 진행되기 때문이고, 강염기 조건에서는 OH- 이온이 중금속에 배위되어 M(OH)n+ 상태로 존재하기 때문에 흡착할 수 있는 활성도가 감소되기 때문이다.13)
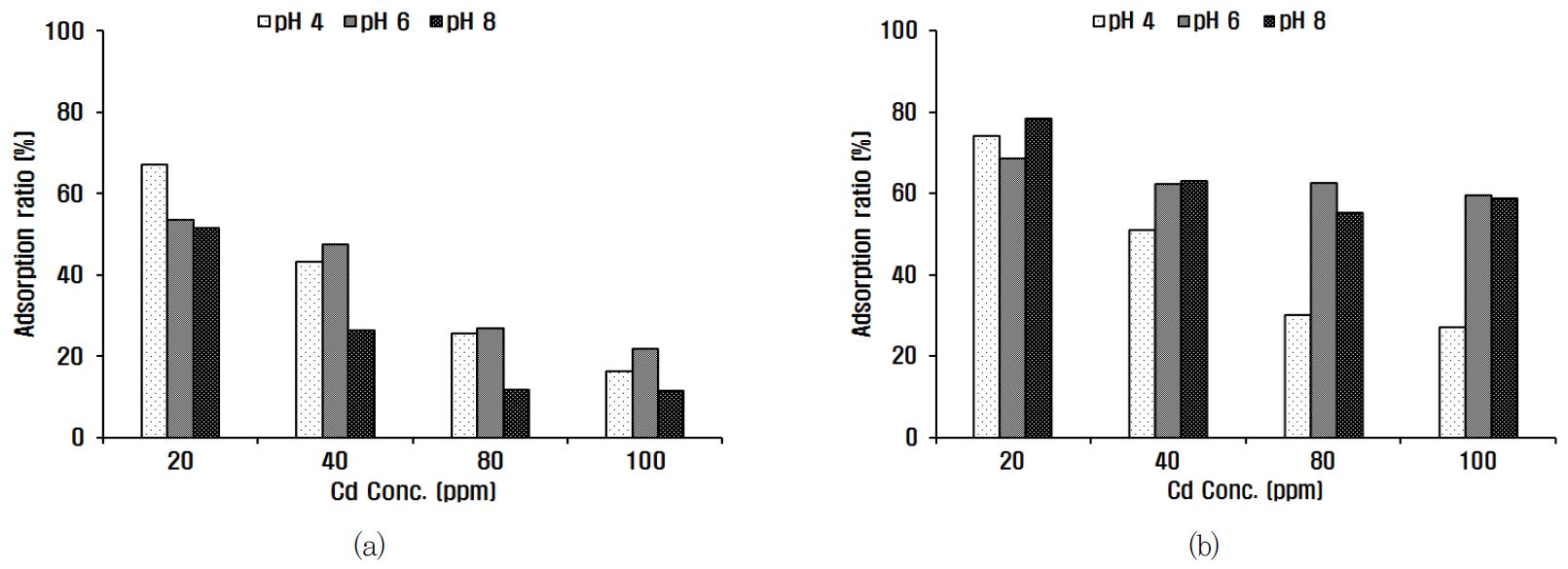
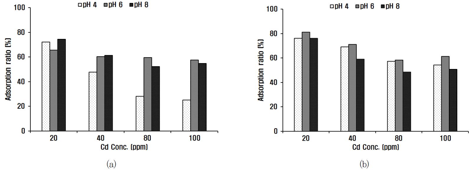
Fig. 4는 pH 4, 6, 8 조건에서 필름형과 비드형 하이드로겔에 대한 카드뮴 흡착률을 나타낸 것이다. pH에 따른 필름형 하이드로겔은 모든 pH조건에서 카드뮴의 농도 증가와 함께 흡착량이 감소하였다. 20 ppm의 농도에서는 pH 4의 조건이 카드뮴 흡착률이 높았지만, 40 ppm 이상의 고농도 조건에서는 pH 6 조건의 카드뮴 흡착률이 다소 높게 나타났다. 전체적으로 pH 8의 조건이 가장 낮은 흡착률을 보여주었다. 비드형 하이드로겔도 모든 pH 조건에서 카드뮴의 농도 증가와 함께 카드뮴의 흡착률은 감소하였다. 형태별 하이드로겔의 카드뮴 흡착 특성은 비드형태가 필름형태보다 다소 높은 카드뮴 흡착률을 보여주었다. Fig. 5는 pH 4, 6, 8 조건에서 필름형과 비드형 에어로겔에 대한 카드뮴 흡착률을 나타낸 것이다. 필름형 에어로겔의 흡착률은 카드뮴 농도의 증가와 함께 감소하였고, 20 ppm의 조건에서는 pH 8의 조건에서 다소 높은 흡착률을 보여주었지만, 40 ppm 이상의 농도 증가에서는 pH 6의 조건이 다른 조건에 비해 다소 높은 카드뮴 흡착률을 보여주었다. pH 4의 조건은 80 ppm 이상의 조건에 흡착률이 급격히 감소하는 것으로 확인되었다. 비드형 에어로겔에 대한 카드뮴 흡착률도 모든 pH의 조건에 카드뮴의 농도 증가와 함께 흡착률도 감소하였다. 비드형 에어로겔은 pH 6의 조건이 모든 농도에서 높은 흡착률을 보여주었다. 형태별 에어로겔에 대한 카드뮴 흡착률은 비드형이 필름형보다 다소 높은 흡착률을 보여주었다.
3.2.2 Langmuir 모델을 이용한 카드뮴 흡착 등온선
Figs. 6-9는 pH와 카드뮴 농도변화에 따른 셀룰로오스 하이드로겔과 에어로겔의 형태별 흡착 특성을 검토하였다. 카드뮴 농도를 0-150 ppm의 조건에서 실시하였으며, 각 조건별 평형흡착농도와 흡착량을 이용하여 Langmuir 식으로부터 흡착등온선을 구하였다.
여기에서 C(mg/ml)는 평형 흡착농도, W(mg/mg)은 겔 고형분의 단위질량당 흡착량, Ws(mg/mg)는 포화흡착량, K는 흡착평형정수를 나타낸다. 포화흡착량 Ws는 C와 C/W의 plot으로부터 최소이승법에 의해 구해진 직선 식의 기울기 역수로 계산하였다. 셀룰로오스 하이드로겔과 에어로겔의 중금속 흡착등온선은 중금속의 농도가 증가함에 따라 흡착량이 증가하는 것으로 나타났다.
Fig. 10은 비드형과 필름형으로 제조된 하이드로겔과 에어로겔의 카드뮴 최대 흡착량을 나타낸 것이다. 최대 흡착량은 pH가 증가할수록 높게 나타났다. 최대 흡착량은 비드형 에어로겔이 가장 높은 수치를 나타냈다. 반면 필름형 하이드로겔이 가장 낮은 최대 흡착량을 나타냈다. 비드형 에어로겔은 pH 4, 6, 8에서 각각 24.8, 27.6, 32.5 mg/g으로 나타났고, 필름형 하이드로겔은 각각 2.5, 2.8, 4.5 mg/g이었다. 하이드로겔은 에어로겔에 비해 다소 낮은 최대 흡착량을 보였는데, 이는 많은 양의 수분을 함유하고 있어 카드뮴 흡착을 저해할 가능성이 있는 것으로 생각된다.
또한 alkali hydroxide-urea 용제를 이용하여 제조한 겔들의 중금속 흡착은 Al-Ghouti 등14)의 연구결과로 추론하고 있다. 그들은 대추야자열매를 이용한 중금속 흡착 메커니즘에 관한 연구에서 셀룰로오스의 중금속 흡착특성은 두개의 수산기와 정전기적 인력이 관여하는 것으로 밝히고 있다. 따라서 본 연구에서 제조한 겔들도 겔 속에 존재하는 수산기와 정전기적 인력에 의해 카드뮴을 흡착하는 것으로 추정된다.
3.2.3 비드형과 필름형 에어로겔 내 카드뮴 흡착 분포
하이드로겔과 에어로겔을 형태별로 카드뮴 흡착한 겔에 대한 카드뮴 분포분석을 SEM/EDS를 이용하여 검토하였다. Fig. 11은 100 ppm 농도에서 카드뮴을 흡착한 비드형 에어로겔을 SEM/EDS로 분석한 결과를 나타낸 것이다. SEM/EDS로 분석으로 C(carbon), O(oxygen), Au(gold), Cd(cadmium)이 확인되었다. Carbon과 ox-ygen은 셀룰로오스의 구성 원소이다. Au는 시료를 주사전자현미경으로 관찰하는데 있어서 charge-up 방지를 위해 사용하는 것으로 ion sputter에 의해 증착된 금 이온이다.
Figs. 12-15는 하이드로겔과 에어로겔에 흡착된 카드뮴을 X-ray mapping을 이용하여 분석한 결과를 나타낸 것이다. 모든 조건에서 흡착된 카드뮴이 존재하고 있는 것을 확인하였다. 이러한 결과로 셀룰로오스 하이드로겔과 에어로겔은 흡착에 의해 카드뮴이 제거되었음을 알 수 있었다.

Fig. 12.
SEM (a) and cadmium X-ray mapping images (b) of bead type hydrogel after the cadmium adsorption.

Fig. 13.
SEM (a) and cadmium X-ray mapping images (b) of film type hydrogel after the cadmium adsorption.
4. 결 론
본 연구에서는 ashless pulp를 alkali hydrox-ide-urea 용제를 이용하여 용해 및 재생시킨 하이드로겔과 에어로겔에 대한 형태별 중금속 흡착 특성을 검토하였다. SEM을 이용하여 구조를 관찰한 결과, 제조된 셀룰로오스 필름형과 비드형 에어로겔은 모두 3차원 망목구조가 관찰되었다. 이는 셀룰로오스가 용해되어 재생의 과정을 거치면서 망목구조로 변한 것으로 생각된다. pH 4, 6, 8 조건에 따른 제조된 하이드로겔 필름형과 비드형의 카드뮴 흡착 특성은 카드뮴의 농도가 증가할수록 흡착률은 감소하는 것으로 나타났는데, 비드형태가 필름형태보다 다소 높은 카드뮴의 흡착률을 나타냈다. Langmuir 모델을 이용한 카드뮴 흡착등온선은 하이드로겔과 에어로겔의 필름형과 비드형 모두 농도에 따라 흡착량이 증가하였다. 하이드로겔과 에어로겔의 카드뮴 흡착량은 에어로겔이 월등히 높았고, 비드형과 필름형 중에서는 비드형이 최대흡착량이 높았다. 이는 비드형이 필름형보다 내부 비표면적 등이 높아 카드뮴의 흡착량이 더 높았던 것으로 판단되었다. SEM/EDS를 이용하여 검토한 결과 하이드로겔과 에어로겔 모두 카드뮴을 흡착하여 표면에 분포되어 있는 것으로 파악하였다.
따라서 alkali hydroxide-urea 용제를 이용하여 용해 및 재생시킨 셀룰로오스 하이드로겔 과 에어로겔은 산업폐수에 존재하는 카드뮴의 흡착제로 사용하기에 적절하며, 하이드로겔 보다는 에어로겔이, 필름형 보다는 비드형이 카드뮴 흡착에 효과적인 것으로 판단된다.















