1. 서 론
우리나라의 경우 산림자원이 빈약하고 펄프 생산설비가 부족한 이유로 목재 펄프의 국내 수급이 원활하지 못한 문제가 있다. 국내 제지회사들이 원가절감 및 국제경쟁력 확보를 위해 해외 회사들보다 많은 양의 폐지(recovered paper, RP)를 사용하고 있지만 주로 폐지를 재활용하여 생산되는 국산 골판지 원지는 폐지의 반복적인 재사용으로 인하여 섬유장이 짧고 미세분이 많은 이유로 탈수가 어려운 문제가 있다. 아울러 분급되지 않은 다양한 지종이 혼합된 골판지 폐지를 원료로 재생한 국산 라이너지는 강도가 취약한 문제가 있다.1)
주류 및 유제품과 같은 낱개상품을 묶음 포장하는 크라프트 캐리어 보드(kraft carrier board, KCB)는 미표백 크라프트 펄프(unbleached kraft pulp, UKP)로 제조되기에 저급의 OCC보다 재활용 가치가 높다. 일반적으로 크라프트 캐리어 보드의 경우 냉장유통의 특성상 습한 상황에서 다수의 무거운 병이나 캔 등의 하중을 견디며 음료용기을 묶어 쉽게 운반할 수 있도록 우수한 습윤강도가 요구된다. 따라서 크라프트 캐리어 보드의 제조에는 많은 양의 사이즈제(sizing agent)와 습윤지력증강제(wet-strength agent)가 사용되고 있는데 포장재의 습윤강도가 높을수록 포장재는 물에 잘 풀리지 않으며 재활용이 어려워진다.
폐지 재활용의 시작은 펄퍼를 통해 시트 형태의 종이를 섬유 현탁액으로 만드는 것이며, 이후 클리너, 스크린 등의 정선설비를 거침에 따라 재생지료로 조성된다. 종이의 재활용이 가능한 이유는 물에 젖는 특성 때문으로 폐지로 물이 들어가면 종이의 조직이 팽윤되면서 섬유 간의 수소결합이 깨지고 펄퍼 로터(pulper rotor)의 전단력과 섬유와 섬유 사이의 마찰력에 의해 해섬된다. 하지만 습윤지력증강제가 사용된 크라프트 캐리어보드의 경우 섬유 간에 고분자 전해질에 의한 공유결합이 형성되기 때문에 물이 침투하여도 섬유 간 결합이 깨지지 않아 해리가 쉽지 않다. KCB의 이러한 결합을 깨기 위해서는 염소계열의 해리제 및 스팀을 투입하여 고농도 펄퍼에서 장시간 해리를 진행하여야 한다. 이 경우 약품사용량 및 에너지 비용이 많이 발생하게 되어 원가상승의 원인이 되고 또한 미해리분이 최종제품의 원료로 사용될 경우 품질저하를 야기시키는 문제가 있다. 이에 습윤지력증강제가 투여된 KCB를 효과적으로 해리하고자 가성소다(NaOH)를 사용하는 경우가 있으나 기존 골판지 원지 제조공정의 저농도 펄퍼의 경우 KCB의 습윤지력이 우수한 이유로 충분한 해리 촉진 효과를 보지 못하는 실정이다.
회전타격처리(circular action treatment)는 원래 골판지 폐지를 고해할 때 발생하는 섬유장의 저하 및 과도한 미세분 생성을 억제하여 초지 시 탈수성이 급격히 저하되는 문제를 해결하고자 고안된 물리적 처리 기술이다.2-4) 본 연구에서는 건식 회전타격처리를 위해 펄퍼에 쇠사슬을 설치하여 물리적으로 원료를 타격하는 설비를 이용하였다. 회전타격처리는 보통 습윤상태의 지료에 적용되지만 본 연구팀은 회전타격기를 사용하여 해리되지 않은 건식의 KCB를 타격하였으며, 건식 회전타격처리 여부에 따른 KCB의 해리효율 변화와 가성소다를 적용한 침지처리 시 회전타격이 미치는 영향을 평가하고자 하였다. 또한 회전타격이 KCB를 재활용한 종이의 물성에 미치는 영향을 평가하였다.
2. 재료 및 방법
2.1 공시재료
2.1.1 크라프트 캐리어보드
본 연구에서는 국내 A사로부터 회전타격처리한 크라프트 캐리어보드와 회전타격처리하지 않은 크라프트 캐리어보드를 분양 받아 사용하였으며(Fig. 1) 현장 재활용조건과 유사한 상황을 재현하기 위해 OCC 재활용 공정의 사일로 백수(silo white water, w/w)를 채취하여 해리에 사용하였다.
2.2 실험 방법
2.2.1 KCB의 전처리
KCB의 해리효율을 높이기 위해 Fig. 2와 같은 형상의 회전타격기(circular action treatment machine, CAT)를 이용하여 해리되지 않은 KCB를 건식으로 타격하였다.
2.2.2 가성소다 적용
가성소다의 적용위치에 따른 해리효율을 알아보기 위해 저농도 펄퍼에 건식 회전타격 전·후의 KCB와 가성소다(1.25%)를 함께 투입하는 방법과 해리 전 건식 회전타격처리 전·후의 KCB를 가성소다(1.25%)에 3시간 동안 침지한 것을 각각 저농도 펄퍼로 해리하여 효율을 분석하였다. CAT처리 유무와 가성소다 투입조건은 Table 1에 나타내었다.
2.2.3 KCB의 해리 및 정선
본 실험에서는 KCB의 재활용 공정에서의 해리 및 정선 처리를 실험실적으로 재현하기 위하여 프랑스 국립펄프제지연구소(Centre Technique du Paper, CTP)에서 개발한 Fig. 3의 LAM’RCF를 이용하였다. 해리조건은 다음 Table 2와 같으며 이후 해리된 지료를 0.5±0.05%의 농도로 희석한 뒤 LAM’RCF의 pressure screen을 사용하여 hole screen(diameter: 3 mm)과 slot screen(width: 0.3 mm)을 통과시켜 섬유와 미해리분을 분리하고, 이를 건조시킨 뒤 무게를 측정하여 각각의 비율을 알아보았다.
2.2.4 Somerville screen을 이용한 지료 분석
회전타격 및 가성소다 투입 조건에 따른 KCB의 해리 특성을 알아보기 위해 Fig. 4의 모식도에 따라 2.2.3 항목에서 얻어진 섬유분으로부터 썸머빌 스크린(Somerville screen)을 이용하여 미해리분(flake)을 분리하였고, 200 mesh screen를 이용하여 섬유(fiber)과 미세분(fines)을 나누었다. 이후 미해리분과 섬유분은 열풍 건조하여 전건량을 측정하고, 3가지 성분의 구성비를 계산하였다. 미세분 함량은 Eq. 1에 의거하여 계산하였다.
2.2.5 수초지 제조 및 조습처리
회전타격처리와 가성소다의 적용 방법에 따른 수초지 물성을 평가하기 위해 30×30 cm2의 사각수초지기를 사용하여 평량 90±2 g/m2의 수초지를 제작하였다. 이의 물리적, 강도적 특성을 분석하기 위해 각 시료들은 ISO 187에 의거하여 상대습도 50±2%, 온도 23±1℃로 조절된 항온항습실에서 24시간 이상 조습처리하였다.
2.2.6 물성평가 및 섬유특성 분석
ISO 534에 의거하여 수초지의 평량 및 두께(L&W thickness tester, Sweden)를 측정하였으며, 두께를 평량으로 나누어 벌크를 계산하였다. 또한 종이의 지합지수는 Micro-scanner(Optest Equipment Inc., Canada)를 사용하여 측정하였다. 강도분석을 위해 ISO 1924-2에 의거하여 인장강도(L&W tensile tester, Sweden)를 측정하였으며, ISO 2758에 의거하여 파열강도(L&W burst strength tester)를 측정하였다. 아울러 ISO 12192(L&W crush tester)에 의거하여 압축강도를 측정하였다. 섬유분석을 위해 L&W fiber tester를 사용하여 섬유장 및 섬유폭을 측정하였다.
3. 결과 및 고찰
3.1 건식 회전타격과 가성소다의 투입이 해리효율에 미치는 영향
크라프트 캐리어 보드는 미표백 크라프트 펄프로 제조되어 재활용 가치가 매우 높음에도 불구하고 수분 저항성과 높은 습윤강도를 부여하기 위해 사용된 사이즈제와 습윤지력증강제로 해리가 잘 되지 않는 문제를 갖고 있다. 본 연구에서는 건식 타격과 가성소다의 투입으로 KCB의 해리특성을 개선시키고자 하였으며 이의 분석을 위해 LAM’RCF와 Somerville screen을 사용하였다.
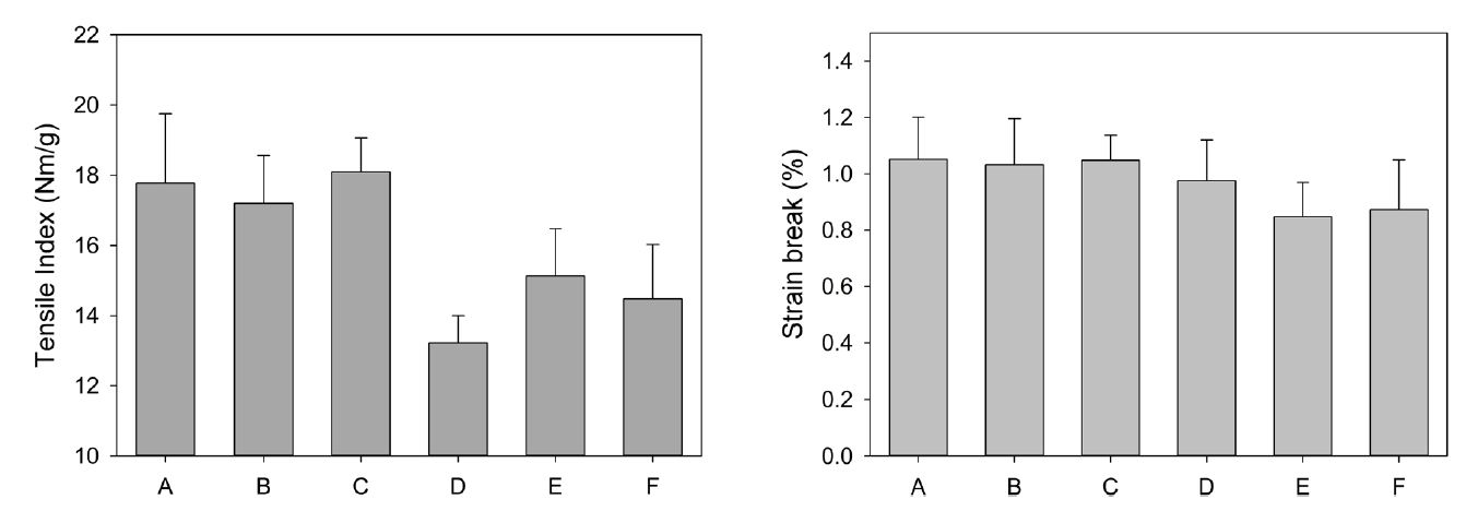
펄프의 건식 타격과 가성소다의 투입 방법에 따른 해리효율을 비교한 결과는 Fig. 5의 왼쪽에 나타내었다. 회전타격처리하지 않은 KCB는 강한 습윤강도로 인해 물과 가성소다의 침투가 어려워 미해리분이 많은 이유로 Hole-Reject와 Slot-Reject의 비율이 높게 나타났다. 건식 회전타격처리하지 않고 가성소다를 투입하지 않은 A조건에서의 전체 Reject 비율은 26% 였으며 가성소다가 투입되어도 Reject의 비율은 크게 변하지 않았다. 반면 건식 회전타격처리 후 가성소다를 투입하지 않은 D조건의 전체 Reject 비율은 21.8%로 A조건에 비해서 Reject 비율이 4% 낮게 나타났다. 또한 회전타격처리한 펄프에 가성소다가 투입됨에 따라 전체 Reject 비율이 더 줄어들었으며 회전타격처리 후 가성소다에 3 hr 동안 침지시킨 D조건이 16.9%로 가장 낮았다. 이는 Fig. 6 사진에 나타냈듯이 KCB가 회전타격기에 의해 물리적인 힘을 받으면서 그 구조가 와해되고 종이에 균열을 만든다. 따라서 섬유와 섬유 사이에 물의 침투를 용이하게 하고, 섬유 간 수소결합을 깨는 데 도움을 주었기 때문에 회전타격처리한 펄프의 Reject비율이 회전타격처리하지 않은 펄프의 Reject비율보다 적은 것이라고 판단된다. 회전타격처리한 원료에 가성소다를 투입하면 해리효율이 개선되었지만 회전타격처리하지 않은 원료는 가성소다를 투입하여도 해리효율이 개선되지 않았다. 이는 앞서 설명한 것과 마찬가지로 지층의 와해 및 균열로 가성소다의 침투가 용이해진 결과라고 사료된다. 가성소다의 투입 방법에 따라서도 해리효율이 다르게 나타났다. 펄핑 시 가성소다를 투입하는 것보다 펄핑 전 가성소다에 3시간 동안 침지한 것이 해리효율이 더 좋게 나타났다. 이는 펄핑 시 투입하는 것보다 침지 시 투입할 때 가성소다의 충분한 침투가 이루어져 해리성이 좋아졌기 때문이라고 판단된다.

Fig. 5.
Reject ratio according to CAT and NaOH (Left), Flake, Fiber and Fines ratio according to CAT and NaOH (Right) (A: Non-CAT, Non-NaOH, B: Non-CAT, NaOH put into the pulper, C: Non-CAT, immersed in NaOH for 3 hr, D: CAT, E: CAT, NaOH put into the pulper, F: CAT, immersed in NaOH for 3 hr).
LAM’RCF에서 얻어진 Accept를 Somerville screen을 통해 미해리분, 섬유, 미세분으로 나눈 지료 분석 결과는 Fig. 5의 오른쪽에 나타내었다. 회전타격처리한 지료의 경우 LAM’RCF의 Accept 비율은 높게 나타났지만 Somerville screen에서의 섬유 비율은 낮게 나타났다. 회전타격처리한 KCB의 경우 섬유사이로 물이 쉽게 침투하게 되어 초기해리속도가 빨라지게 되면서 지료의 점도가 급격하게 떨어졌기 때문에 섬유와 섬유가 부딪히는 횟수가 줄어들고, 전단력의 약화로 인해 크기 150 µm 이하로 잘게 해리되지 못해 나타난 결과라고 판단된다. 가성소다 투입 조건에 따른 Somerville screen의 섬유함량 변화는 뚜렷하게 관찰되지 않았다.
3.2 건식 회전타격 및 가성소다의 투입이 재생수초지의 물성에 미치는 영향
Figs. 7-8은 건식 회전타격과 가성소다의 투입 조건에 따른 재생지의 벌크, 지합, 섬유장 및 섬유폭의 변화를 나타낸 것이다.

Fig. 7.
Effects of the CAT and NaOH on the bulk (Left) and formation (Right) of KCB handsheet (A: Non-CAT, Non-NaOH, B: Non-CAT, NaOH put into the pulper, C: Non-CAT, immersed in NaOH for 3 hr, D: CAT, E: CAT, NaOH put into the pulper, F: CAT, immersed in NaOH for 3 hr).
Fig. 7은 건식 회전타격과 가성소다 투입에 따른 벌크와 지합의 변화를 나타낸 것이다. 벌크는 회전타격처리하지 않고 가성소다를 첨가하지 않은 펄프가 가장 낮았고, 회전타격처리 후 가성소다에 3시간 동안 침지한 펄프가 가장 높게 나타났다. 즉, 회전타격처리와 가성소다를 투입한 펄프의 섬유가 가장 뻣뻣한 것으로 판단된다. 이것은 앞서 3.1 항목에서 설명한 바와 같이 펄핑 시 지료의 점도저하로 섬유에 전해지는 전단력이 부족하여 나타난 결과로 사료된다. 지합의 경우 건식 타격하지 않고 가성소다에 침지한 C조건이 가장 양호하였으며, 건식 회전타격처리한 지료가 지합이 대체로 불량하였다.
Fig. 8에는 섬유장과 섬유폭의 변화를 나타내었다. 대표적인 섬유의 특성은 섬유장과 섬유폭이 있는데 회전타격 및 가성소다의 투입 조건에 따른 섬유장, 섬유폭의 뚜렷한 변화는 일어나지 않았다.

Fig. 8.
Effects of the CAT and NaOH on the fiber length (Left) and fiber width (Right) (A: Non-CAT, Non-NaOH, B: Non-CAT, NaOH put into the pulper, C: Non-CAT, immersed in NaOH for 3 hr, D: CAT, E: CAT, NaOH put into the pulper, F: CAT, immersed in NaOH for 3 hr).
Figs. 9-10은 건식 회전타격과 가성소다 투입 조건에 따른 인장지수, 신장율, 파열지수 및 압축지수를 나타낸 결과이다. 인장강도는 회전타격처리하지 않고 가성소다에 3 hr 동안 침지시킨 C조건이 18.1 Nm/g으로 가장 높았으며 신장율은 회전타격처리하지 않은 조건이 가성소다 투입 여부와 상관없이 1.05%로 유사한 신장율을 갖는 것으로 나타났다. 파열지수와 압축지수는 회전타격처리하지 않고 가성소다를 투입하지 않은 A조건이 각각 0.66 kPa·m3/g, 4.64 Nm/g으로 가장 높았다. 또한 회전타격처리한 펄프로 제조한 종이는 회전타격처리하지 않은 펄프로 제조한 종이보다 인장지수, 신장율, 파열지수, 압축지수 모든 물리적 특성이 낮게 나타났다. 이는 앞서 설명한 바와 같이 건식 회전타격처리로 해리가 빨라짐에 따라 펄퍼 안의 초기점도가 급격하게 낮아지면서 섬유와 섬유 사이의 전단력이 약화되어 섬유 간 bonding potential이 줄어든 결과라고 판단된다. 또한 Fig. 7의 오른쪽에 나타낸 지합의 결과에 비추어 봤을 때 건식 회전타격한 지료로 만든 수초지의 지합 불균일로 나타난 결과라고 추측된다.
4. 결 론
본 실험에 적용한 건식 회전타격과 가성소다의 투입 방법에 따른 KCB의 해리효율과 물리적 특성변화를 분석한 결과 다음과 같은 결론을 얻을 수 있었다.
첫째, 건식 회전타격에 의한 KCB 지층의 와해 및 균열로 인해 물과 가성소다의 침투가 쉽게 일어남으로써 해리효율은 증가하였으나, 해리 속도가 빠른 만큼 펄핑 시 지료의 초기점도가 급격하게 감소함에 따라 해리 시 전단력의 부족으로 인해 150 µm 이하의 섬유로 해리되지 못하였다.
둘째, 회전타격에 의한 screen accept의 섬유장 및 섬유폭은 현저한 차이를 보이지 않았다. 펄핑 시 전단력 부족은 종이의 인장지수, 신장율, 파열지수, 압축지수와 같은 물리적 특성을 저하시켰다.
본 연구결과로 미루어 보았을 때 크라프트 캐리어보드에 대한 건식 회전타격 및 가성소다의 적용으로 해리특성의 개선이 가능함을 확인하였고, 저농도 해리의 전단력 부족으로 인한 수초지 강도의 저하가 문제점으로 발견되었다. 강도저하 문제를 해결하기 위해 섬유가 더 많은 전단력을 받을 수 있도록 농도를 높여 해리하면 KCB 재생지의 물리적 특성 또한 개선될 가능성이 있다고 판단된다.









