1. 서 론
셀룰로오스는 지구상에서 가장 풍부한 천연 고분자이며 생분해되기 때문에 친환경적이고, 열적 안정성과 강도가 뛰어난 물질이다.1-3) 셀룰로오스로부터 만들어지는 나노셀룰로오스는 나노화 방법에 따라 크게 세 종류로 분류할 수 있는데, 셀룰로오스 나노크리스탈(Cellulose nanocrystals, CNC)은 화학적 처리에 의해 제조되고, 셀룰로오스 나노섬유(Cellulose nanofibril, CNF)는 기계적 처리에 의해 제조되며, 박테리아 셀룰로오스(Bacterial cellulose, BC)는 생물학적 처리에 의해 제조된다.3,4) 나노셀룰로오스는 제조방법에 따라 각각의 특성이 다르게 나타나는데, 기계적 처리로 제조된 CNF의 경우 종횡비가 크고 강도가 우수하며 반응성이 높은 것으로 알려져 있어,5) 이를 활용하기 위한 연구가 다수 진행되고 있다.6,7)
특히 제지 분야에서는 CNF를 지력증강제로 활용하기 위한 연구가 활발하게 이루어지고 있다.8) 하지만 크기가 작고 음이온성을 띠는 CNF는 습지필에 잔류시키기 어렵기 때문에 서로 다른 전하를 띠는 입자를 투입하여 결합을 유도하기 위해9,10) 보류향상제를 사용하거나11) CNF의 4차 아민화12)와 같은 처리로 이러한 문제점을 보완하기 위한 연구가 이루어져 왔다. 하지만 보류향상제를 효과적으로 사용하기 위해서는 다른 첨가제를 투입하거나 특정 pH 조건이 요구되며,13) 4차 아민기를 도입하는 방법은 유기용매가 사용되고 긴 반응 시간이 필요하기 때문에 실제 공정에 적용할 수 있는 더 단순하고 친환경적인 처리 방안이 필요하다.
선행연구14)에서 펄프에 poly-DADMAC을 이용한 전처리로 양이온성 CNF의 제조가 가능한 것을 확인하였다. 고분자전해질 전처리를 통해 제조한 양이온성 CNF를 지력증강제로 활용할 수 있다면 유기용매나 보류향상제를 사용하지 않으면서 환경친화적인 방법으로 CNF의 보류도를 증가시키고 이에 따라 종이의 강도를 향상시킬 수 있을 것으로 기대된다. 따라서 본 연구에서는 선행연구14)와 동일한 방법으로 제조한 양이온성 CNF의 지력증강 효과를 알아보기 위해 활엽수 표백크라프트펄프에 양이온성 고분자전해질인 poly-DADMAC을 전처리한 후 양이온성 CNF를 제조하였다. 이후 지료에 양이온성 CNF를 내첨하여 제조한 수초지의 물리적 특성을 평가하였고 광학적 특성과 탈수성을 측정하여 강도 및 보류 향상 효과를 분석함으로써, 고분자전해질 전처리로 제조한 양이온성 CNF의 지력증강제로의 적용 가능성을 평가하고자 하였다.
2. 재료 및 방법
2.1 공시재료
본 연구에서는 셀룰로오스 나노섬유(CNF) 제조를 위해 활엽수 표백크라프트펄프(HwBKP, hardwood bleached kraft pulp)를 사용하였고, 양이온성 CNF 제조를 위해 고분자전해질 poly-DADMAC(polydiallyldimethylammonium chloride)을 사용하였으며 기본 특성을 Table 1에 나타냈다. 수초지 제조를 위해 HwBKP와 침엽수 표백크라프트펄프(SwBKP, Softwood bleached kraft pulp)를 사용하였다.
2.2 실험방법
2.2.1 고분자전해질 전처리를 통한 양이온성 CNF 제조 방법
양이온성 CNF는 선행연구14) 방법에 따라 제조되었다. HwBKP를 실험실용 밸리비터(Valley beater, Daeil Machinery Co. Ltd., Korea)를 이용하여 1.57% 농도로 20분간 해리하고 450 mL CSF 수준으로 고해를 실시하였다. 고해한 펄프의 농도를 1%로 희석한 후 마이크로 그라인더(Super Masscolloider, Masuko Sangyo-Co. Ltd., Japan)를 이용하여 운전속도 1,500 rpm, 스톤간격 –150 µm 조건으로 9회 처리해서 미처리 CNF를 제조하였다. 양이온성 CNF는 poly-DADMAC을 전건 섬유 대비 2% 조건으로 지료에 투입한 뒤 600 rpm 조건으로 5분간 교반하여 표면개질을 실시하였다. 그 후 미처리 CNF 제조 방법과 동일한 그라인더 조건에서 9회 처리하여 양이온성 CNF를 제조하였다.
2.2.2 전처리 여부에 따라 제조된 CNF의 주요 특성 분석 방법
제조된 CNF의 평균입도와 제타전위 및 섬유폭을 평가하였다. 입도분석기(1090LD, CILAS, France)를 이용해 평균입도를 측정하였고, CNF의 정전기적 특성을 파악하기 위해 제타전위 분석기(Zetasizer Nano ZS, Malvern, UK)를 이용하여 제타전위를 측정하였다. CNF의 섬유폭을 측정하기 위해 FE-SEM(JSM-7610F, JEOL, Japan)을 이용하여 이미지를 촬영하였으며, 화상 분석프로그램을 이용하여 각각 100개의 섬유폭을 측정하여 평균값을 계산하였다. FE-SEM 측정용 시료 제작 시 CNF를 감압 여과하여 패드를 형성시킨 뒤 에틸알코올, n-헥산 순서로 용매치환을 시행한 후 상온에서 24시간 건조하여 사용하였다.
2.2.3 CNF를 내첨한 수초지 제작 및 물성 측정 방법
수초지 제작을 위해 실험용 밸리비터를 이용하여 HwBKP와 SwBKP를 각각 1.57% 농도로 20분간 해리 후 450 mL CSF 조건으로 고해를 실시하였다. 그 후 HwBKP와 SwBKP 농도를 0.6%로 희석하고 8:2 조건으로 혼합하여 지료를 조성하였다. 준비된 미처리 CNF와 양이온성 CNF를 지료 전건섬유 대비 1, 3, 5% 조건으로 내첨하여 평량 80±5 g/m2의 수초지를 제작하였다. CNF를 지료에 투입한 후 600 rpm으로 5분간 교반 후 제조된 습지필은 3.5 kgf/cm2의 압력으로 5분간 압착하고, 실린더 드라이어로 105±3℃ 조건에서 건조시켰다. 강도 측정에 앞서 제작이 완료된 종이는 23℃, 50% RH 조건으로 항온항습기(TM-100, JEIO TECH, Korea)에서 24시간 조습처리를 실시하였다. TAPPI standard method에 의거하여 벌크(TAPPI T 411), 인장강도(TAPPI T 494), 파열강도(TAPPI T 403), 내절도(JIS 8115)를 측정하였고 광학적 특성 및 섬유 간 결합 정도를 파악하기 위해 분광광도계(Elrepho spectrophotometer, L&W, Sweden)를 이용하여 백색도와 불투명도 및 광산란계수를 측정하였다. 광산란계수는 식 1에 따라 계산하였다.
2.2.4 CNF 투입에 따른 탈수성 및 COD 측정을 통한 보류도 평가
전처리 여부에 따라 제조된 CNF를 내첨한 지료의 탈수성을 평가하기 위해 수초지 제조와 같은 지료 조건으로 DFS(Dynamic filtration system, BTG, Germany)를 이용하여 시간에 따른 탈수량을 측정하였다. 탈수 평가가 종료된 후 여액에 존재하는 유기물 함량을 측정하여 습지필 상에서 CNF의 보류를 간접적으로 평가하였다. 이때 COD Reactor(HI 839800, Hanna instruments Inc., Romania)를 이용하여 150℃, 2시간 조건에서 반응 후 탁도계(DR/890 Colorimeter, HACH, USA)를 이용하여 COD를 측정하였다.
3. 결과 및 고찰
3.1 전처리 여부에 따라 제조한 CNF의 주요 특성 평가
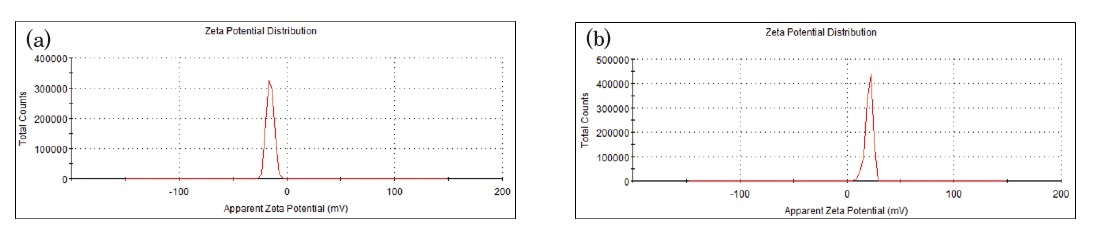
본 연구에서는 HwBKP를 이용하여 poly-DADMAC 전처리 여부에 따라 음이온성을 띠는 미처리 CNF와 양이온성 CNF를 제조하였다. 두 CNF의 평균 입도를 측정하였으며, 결과를 Fig. 1에 도시하였다. 미처리 CNF와 양이온성 CNF의 평균 입도는 각각 8.14 µm, 8.00 µm로 전처리 여부에 따라 입도의 차이는 거의 없는 것으로 나타났다. 양이온성 CNF의 정전기적 특성을 확인하기 위해 제타전위를 측정하였고, Fig. 2에 그 결과를 도시하였다. 미처리 CNF는 –15.3 mV의 제타전위를 나타냈지만, 양이온성 CNF는 20.3 mV의 제타전위를 나타내었고 Fig. 3에 도시된 제타전위 분포도를 통해 전하가 완전히 양이온으로 역전된 것을 확인하였다. CNF의 섬유폭을 측정하기 위해 FE-SEM으로 이미지를 촬영하였으며, 이를 Fig. 4에 도시하였고 이미지를 통해 섬유폭을 측정한 결과를 Table 2에 나타냈다. 미처리 CNF는 27.7 nm, 양이온성 CNF는 24.3 nm로, 전처리 여부에 따른 섬유폭의 차이는 나타나지 않았고 섬유 형태 또한 유사한 것으로 나타났다. 따라서 poly-DADMAC을 이용한 전처리 방법은 입도와 섬유폭에 영향을 주지 않으면서 CNF의 제타전위를 양이온성으로 역전시킬 수 있는 효과적인 방법인 것으로 판단되었다.
3.2 CNF 종류와 투입량에 따른 수초지의 물리적 및 광학적 특성 측정결과
CNF의 종류와 투입량에 따른 수초지의 물성변화를 평가하였다. Fig. 5에 벌크 측정결과를 나타냈으며 CNF 투입량이 증가할수록 감소하는 경향이 나타났다. 벌크의 감소폭은 미처리 CNF를 투입한 수초지보다 양이온성 CNF를 투입한 수초지에서 감소폭이 더 크게 나타났으며, 양이온성 CNF를 5% 투입한 수초지 조건에서 가장 크게 감소하였다. 인장강도와 파열강도를 측정한 뒤 Figs. 6, 7에 결과를 도시하였다. 인장지수와 비파열강도 모두 CNF의 투입량이 증가함에 따라 증가하는 경향이 나타났으며, 미처리 CNF를 투입한 수초지보다 양이온성 CNF를 투입한 수초지에서 강도가 더 증가하였다. 동일한 5% 투입량 조건에서 비교하였을 때 양이온성 CNF를 투입한 경우 미처리 CNF 대비 인장강도는 약 15%, 파열강도는 14% 이상 증가하였다. Fig. 8에 나타난 내절도 측정결과 또한 앞서 언급된 강도와 같이 CNF를 투입함에 따라 증가하였고 5% 투입량 기준 미처리 CNF 대비 19% 높은 결과를 나타내어 강도 향상 효과가 우수한 것으로 나타났다. 이러한 결과는 수초지에 양이온성 CNF를 첨가함에 따라 벌크가 더 큰 폭으로 감소하였고, 이에 따라 종이의 밀도가 향상되어 수초지의 강도가 향상된 것으로 판단되었다.
광학적 특성인 백색도와 불투명도 및 광산란계수를 측정하였고 그 결과를 Figs. 9-11에 도시하였다. CNF의 종류, 투입량에 따라 백색도와 불투명도는 큰 차이를 보이지 않았지만 광산란계수는 감소하는 경향을 나타냈다. 종이의 강도는 섬유 간 결합면적과 섬유 자체 강도로 설명되는데,15) 본 연구에서는 CNF와 수초지 제조 시 동일한 원료를 사용하였기 때문에 섬유 자체 강도보다는 섬유 간 결합면적의 변화로 설명할 수 있으며 이를 광산란계수를 통해 확인할 수 있었다. Fig. 11에 도시된 광산란계수 측정결과를 살펴보면, CNF의 투입량이 증가함에 따라 광산란계수는 감소하는 경향을 나타냈으며, 양이온성 CNF의 투입량이 증가하였을 때 더 낮은 값을 나타냈다. 이는 양이온성 CNF를 내첨하였을 경우 섬유 간 결합면적이 더 증가했기 때문에 벌크의 감소와 함께 수초지의 물리적 특성에 영향을 미친 것으로 판단되었다.
3.3 CNF 종류와 투입량에 따른 보류도 및 탈수성 분석
수초지 제조 시 사용한 지료 조건으로 탈수성을 평가하고 그 결과를 Fig. 12에 도시하였다. 투입된 CNF의 종류와 관계없이 CNF의 투입량이 증가할수록 시간에 따른 탈수량이 감소하여 탈수속도가 감소하는 것을 확인할 수 있다. CNF는 비표면적이 크고 친수성을 띠기 때문에 지료에 존재하는 양이 증가함에 따라 탈수성을 감소시킨 것으로 판단되고, CNF 종류에 따른 탈수성 차이는 나타나지 않았다. 이후 여액의 COD 함량을 분석하여 습지필 상에서 CNF의 보류도를 간접적으로 측정하였으며, 그 결과를 Fig. 13에 도시하였다. CNF의 투입량이 증가함에 따라 COD 함량이 증가하였는데 이는 탈수성 평가 시 내첨한 CNF가 습지필에 완전히 잔류하지 못하고 탈수 과정에서 빠져나와 여액에 존재하는 CNF의 양이 증가하기 때문이다. 그러나 CNF 종류에 따른 COD 함량을 비교해 보면 미처리 CNF를 투입하였을 때보다 전처리 후 제조된 양이온성 CNF의 COD 함량이 더 낮은 것을 확인할 수 있었다. 따라서 양이온성 CNF를 내첨하여 수초지를 제조하였을 때 보류가 더 향상되었음을 간접적으로 확인하였다. 이러한 결과로 볼 때 양이온성 CNF는 탈수성에 악영향을 주지 않으면서 습지필에 더 많은 CNF를 보류하게 하여 수초지의 결합면적을 더 증가시켰고, 결과적으로 수초지의 강도를 효과적으로 향상시킬 수 있는 것으로 판단되었다.
4. 결 론
본 연구에서는 고분자전해질로 전처리된 HwBKP로 제조된 양이온성 CNF의 적용에 따른 종이의 물성변화를 파악하고자 하였다. 이를 위해 poly-DADMAC으로 HwBKP 전처리를 실시한 후 마이크로 그라인더 처리를 통해 양이온성 CNF를 제조하였다. 대조군으로 미처리된 CNF와 양이온성 CNF의 섬유폭과 제타전위를 측정하였고 HwBKP와 SwBKP로 조성된 지료에 투입하여 수초지를 제조한 후 주요 강도과 광학적 특성을 측정하였다. 또한 CNF 투입에 따른 지료의 탈수속도와 COD를 측정하여 CNF에 따른 탈수성과 보류도를 간접적으로 분석하고자 하였다.
양이온성 CNF가 투입되었을 때 미처리된 CNF보다 수초지의 인장강도, 파열강도, 내절도가 더 크게 상승하였으며, 벌크와 광산란계수는 감소하였다. 종이의 강도 상승은 수초지의 광산란계수의 감소를 통해 확인할 수 있듯이 나노섬유가 섬유 간 결합면적으로 증가시키기 때문이고 양이온성 CNF가 더 높은 강도를 나타내는 이유는 COD 측정을 통해 간접적으로 확인할 수 있듯이 동일한 투입량에서 양이온성 CNF가 더 많이 보류되기 때문이라고 판단되었다. 수초지의 불투명도, 백색도와 지료의 탈수성은 CNF의 종류에 따른 차이가 확인되지 않았다. 따라서 고분자전해질 전처리를 통해 제조된 양이온성 CNF는 종이의 광학적 특성이나 지료의 탈수성에 악영향을 주지 않고 지력증강제로서 적용 가능성이 높은 것으로 사료되었다.















