1. 서 론
불화의 밑그림을 일컫는 초본(草本)은 일반적으로 한지 바탕에 먹선으로 그려진다. 완성된 초본은 불화 제작 시 바탕천 뒷면에 배접(褙接)해 사용하거나, 배접하지 않고 바탕천 위로 비치는 초본의 도상을 그대로 옮겨 그린 뒤 다시 분리해 다음 작품 제작을 위해 보관하기도 한다. 어느 경우든 간에 불화 초본은 불화 제작의 기초 단계인 밑그림 과정에서부터 요구되는 필수 작업물이라고 할 수 있다. 그럼에도 불구하고 초본은 불화를 완성하기 위한 기초 작업물로 인식되어, 완성된 불화 작품에 비해 보존의 중요성이 낮아 현존하는 초본들은 18세기 이후의 작품들이 대부분이다.1)
그동안 불화에 관한 연구는 도상, 양식, 화승(畵僧) 등에 관한 미술사적 연구와 더불어 재료에 관한 과학적 분석, 모사 및 복원에 관한 연구가 활발하게 진행되었다. 미진하게나마 초본에 관한 연구도 이루어졌는데 조선 후기의 불화 제작 과정에서 불화 초본의 기능과 역할을 고찰한 연구가 주를 이루고 있으며 초본의 재료와 재질 특성의 분석에 관한 연구는 전무한 실정이다.
불화 초본은 대부분 종이에 그려졌으며, 유지본(油紙本)과 일반적인 지본(紙本)이 있다. 유지는 종이에 기름을 도포해 반투명하게 만드는 것으로 요즘의 트레이싱지 같은 것이다. 종이를 반투명하게 하면 밑에 있는 원본의 도상을 잘 비추어 볼 수 있으므로 유지를 원본 위에 두고 쉽게 초본을 뜰 수 있어 조선시대 초상화, 불화, 산수화 등의 회화 제작 시 많이 사용되었다.2)
초본은 불화의 바탕천에 배접되는 경우 외에는 낱장의 형태로 보관되기 때문에 보존 상태가 열악한 경우가 대부분이다. 실제 불화 제작을 위해 출초된 대형의 초본은 여러 장의 한지를 이어 붙여 화면을 만든 후 먹선으로 밑그림을 그렸고, 초본으로 사용한 후에는 여러 번 접어 보관하였다. 소규모 또는 연습용 초본 역시 접거나 말아서 보관하였다. 이처럼 접거나 말아서 보관하였기 때문에 시간이 경과함에 따라 한지를 이어붙인 부분들은 분리되었고, 반복적으로 개폐를 반복함에 따라 접힌 부분과 가장자리가 찢어지는 등 물리적 손상이 발생하였다. 또한 작업 과정 중 채색이나 오물에 의한 오염 및 온·습도 등의 불량한 보관환경 인자들에 의해서도 열화되 었다.
불화 초본은 불화의 기법 및 화맥(畵脈) 등을 연구하는데 단서를 제공하기 때문에 초본의 재질 특성을 분석하고 보존 처리를 실시해 보존할 필요가 있다. 따라서 본 연구에서는 불화 초본 4점을 대상으로 재질의 특성을 확인하고자 과학적 분석을 실시하였다.
2. 실험 재료
2.1 실험 재료
본 논문에서 연구 대상으로 삼은 불화 초본 4점의 화제(畫題)와 묵서는 Table 1에, 이미지는 Fig. 1에 나타내었다. 불화 초본에 대한 정보는 봉안 장소, 출초자(出草者), 작품 크기 등을 기록한 묵서(墨書)가 초본 테두리에 남아있다. 묵서 기록은 최소한의 정보만 기록된 예와 없는 예로 구분된다.3)
Table 1.
The list of the drafts of Buddhist painting
Fig. 1의 A 초본은 아미타회상도로 묵서가 없어 초본에 대한 자세한 정보를 알 수 없지만, 나머지 초본 3점(B, C, D)은 제작 장소 및 연대, ‘주(主)’, ‘초주(草主)’ 등이 묵서로 기록되어 있다. B 초본은 천수천안관세음보살도이며, 화면 향좌측 외곽에 ‘主 梵華堂’이라는 묵서가 남아있다. C 초본은 아미타회상도이며, 화면 향우측 외곽에 ‘光緖四年戊寅 二月 金剛山神溪寺普雲庵後亻天草 草主 梵華堂’이라는 묵서가 쓰여 있다. 묵서의 내용을 통해 C 초본은 1878년 2월 금강산 신계사 보운암 후불도 제작에 사용된 초본으로 짐작되며 초주는 범화당임을 알 수 있다. D 초본은 지장시왕도이며, 화면 향우측 외곽에 ‘丁未 二月 初三日 守國寺 中土丹 草主 水落山 德寺 寶菴傳於 梵華堂’이라는 묵서가 쓰여 있다. 묵서의 내용을 통해 D 초본은 1907년 2월 3일 중단(탱화)의 초주인 수락산 덕사 보암이 범화당에게 전한 초본임을 알 수 있다. 덕사는 수락산 수국사의 옛 사명으로 현재 이곳에는 1907년에 왕실 발원으로 일괄 제작된 불화 13점 중 6점과 1908년에 제작된 괘불도 1점 등 총 7점의 불화가 남아있다.4) 현재 수국사에는 1907년에 제작된 중단탱화가 전하지 않아 D 초본이 당시 제작된 중단탱화의 초본이라고 단정할 수 없지만 초본의 묵서와 기록의 내용이 일치하는 것으로 보아 중단탱화는 당시 수국사 불화 불사를 주도한 보암당(普庵堂) 긍법(肯法) 또는 범화당 윤익(閏益; 潤益; 允益)이 참여해 제작했을 가능성이 크다. 또한 이 초본은 중단탱화가 남아있지 않은 상황에서 당시 중단탱화의 도상을 살펴볼 수 있는 중요한 자료이다.
한편 Fig. 1의 B 초본과 C 초본의 출초자인 범화당은 20세기 전반에 서울·경기지역에서 활동한 화승으로 혜고당(惠杲堂) 봉감(奉鑑)과 보암당(普庵堂) 긍법(肯法)을 수화승으로 하여 활동한 작품이 많다.5) 범화당은 당호이며, 화기에는 윤익(閏益; 潤益; 允益)과 정운(禎雲)으로 기록되어 있기도 하다. 보암당과 범화당이 활동하던 시기와 본 연구 대상 초본의 묵서에 기록된 연대가 일치하여 B, C, D 초본은 19세기에서 20세기 초에 제작된 것으로 판단된다. A 초본은 육안으로 보아 B, C, D 초본과 바탕재질이 다르고, 묵서는 남아있지 않지만 양식 특징으로 볼 때 B, C, D 초본과 제작 연대가 유사한 것으로 판단된다. 이에 본 연구에서는 불화 초본의 바탕 재질에 대한 데이터를 축적하기 위해 B, C, D 초본과 다른 재질로 보이는A 초본을 연구대상으로 선택하였다.
2.2 연구 방법
2.2.1 지질조사
평량은 KS M ISO 536에 의거하여 측정하였고, 두께측정기(Mitutoyo thickness gage)를 사용하여 두께를 측정하여 KS M ISO 534에 의거하여 밀도를 계산하였다.
각 초본 시료의 표면 pH 값은 pH 미터(Thermo Scientific Orion 3 Star)와 표면(surface) 측정용 평면 pH 전극을 사용하여 측정하였는데, 초본의 표면에 증류수 물방울을 떨어뜨려 10분 정도 기다린 후 안정화된 표면 pH 값을 측정하였다.
2.2.2 광학적 특성 분석
색도는 색차계(CM-2002, Minolta, Japan)를 사용하여 측정하였고, 색상정보는 CIE L*, a*, b* 값으로 정리하였다. L*, a*, b* 값은 색도의 척도를 나타내는 것으로, L*는 명도로 0-100의 범위에서 0에 가까울수록 무채색을 가진다. a*, b*는 채도를 의미하며, a*는 +방향으로 갈수록 red를, -방향으로 갈수록 green을 의미한다. 또한 b*는 +방향으로 갈수록 yellow를, -방향으로 갈수록 blue를 의미한다.
3. 결과 및 고찰
3.1 기본적 물성
연구 대상 초본의 평량, 두께, 밀도 등의 물리적 특성은 Table 2에 나타내었다.
Table 2.
Properties of the drafts of Buddhist paintings
| Sample | Thickness (µm) | Apparent density (g/cm3) | Grammage (g/m2) |
|---|---|---|---|
| D | 0.05 | 0.32 | 17.30 |
A 초본의 두께는 0.22 μm, 밀도는 0.60 g/cm3로 나타났다. B, C, D 초본은 두께 범위가 0.05-0.07 μm이며, 평량 범위는 17.30-33.62 g/m2로 밀도는 0.32-0.58 g/cm3로 나타났다.
A 초본의 경우 B, C, D 초본들에 비해 두께는 0.15-0.17 μm 범위로 두꺼우며, 평량은 44-75%의 비율로 높았다.
A 초본은 다른 초본들보다 높은 평량의 한지를 사용하였으며, B와 C 초본들은 30.0 g/m2대의 평량이며, D 초본은 평량이 17.30 g/m2로 불투명도가 낮은 한지를 사용한 것으로 나타났다. B, C, D 초본들은 평량에 비해 밀도가 높은 특성을 나타냈다.
3.2 pH 측정
연구 대상 A-D 초본들의 pH 값을 Table 3에 나타내었다.
A 초본의 표면 pH는 3.85로 초본들 중 가장 낮았으며, B, C, D 초본 샘플들의 표면 pH는 5.56-7.18 사이에 분포하여 중성에서 약알칼리의 범주에 속하였다. A 초본의 상대적으로 낮은 pH는 재질의 열화가 진행된 것으로 판단되며, 이는 기름의 산화에 의한 결과로 볼 수 있다. 기름은 산소 및 온도 등의 보존환경인자에 의해 쉽게 산화되면서 갈변이 발생한다.6)
3.3 실체현미경 분석
연구 대상 A-D 초본들의 표면 상태를 관찰한 실체현미경 사진을 Fig. 2에 나타내었다.
A 초본의 경우 표면에 안료와 바탕천의 일부가 부분적으로 남아 있는 것을 관찰할 수 있다. 이는 불화에 채색된 안료가 바탕천 밑으로 배어나와 초본에 고착되고, 그림이 완성된 후 초본이 바탕천과 분리된 후에도 채색 안료와 바탕천이 초본에 일부 남은 것으로 판단된다. 따라서 A 초본은 불화 제작 시 바탕천 뒷면에 직접 배접해 사용되었던 초본으로 사료된다. 반면 B, C, D 초본들은 표면의 접힌 부분과 가장자리 부분에 찢어짐이 발생하였고, 접힌 부분에 갈색으로 오염된 부분이 관찰되었다. 그러나 A 초본에 비해 상태가 비교적 양호한 편이다. 또한 채색으로 인한 안료의 흔적이 없었으며 먹선만 관찰되었다. 따라서 B, C, D 초본들은 불화 제작 시 바탕천 밑에 두고 등초(謄草)만 한 뒤 분리해 별도로 보관·전승된 초본으로 사료된다.
3.4 광학적 특성
연구 대상 A-D 초본들의 색상 값을 Table 3에 나타내었다.
A 초본의 L*값은 44.22로 초본 샘플들 중 가장 낮았으며, a*값은 10.57, b*값은 21.16로 다른 초본 샘플들에 비해 상대적은 높은 적변 및 갈변이 발생한 것으로 판단된다. A 초본의 색상변화는 조선시대 초상화 유지본과 유사한 경향을 보이며,2) 열화가 진행될수록 L*값이 감소하고 a*와 b*값이 증가하는 경향을 보이는 유지6)와 같은 특성을 보였다.
B, C, D 초본 샘플들의 L*값 범위는 69.94-87.17, a*값의 범위는 0.22-6.52, b*값의 범위는 9.67-12.95로 나타났으며, 일반적인 한지의 색상 범위에 분포하였다.6)
3.5 섬유분석
연구 대상 A-D 초본 섬유 샘플들의 해부학적 특성을 분석한 결과를 Fig. 3에 나타내었다.
닥나무 인피섬유의 식별에 있어 횡문(cross-making), 투명막(transparent-membrance), 섬유왜곡(dislocation) 은 주요 식별인자이며, 특히 투명막의 존재 여부는 닥나무 인피섬유를 구별하는 가장 중요한 식별인자이다.7)
전체 초본에서 닥나무 인피섬유의 식별인자인 횡문, 투명막 및 섬유왜곡을 관찰할 수 있었으며, 다른 종류의 섬유는 관찰되지 않았다. 따라서 A-D 초본 모두 닥나무 인피섬유로만 초지된 한지로 판단되었다. A 초본의 경우 B-D 초본 샘플들과 달리 닥섬유의 끊어짐이 관찰되었는데, 이는 기름에 의해 한지의 산화가 가속화되어 섬유의 손상이 발생된 것으로 추정된다.
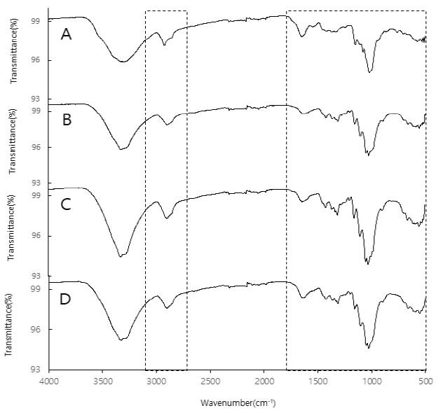
3.6 적외선 분광 분석(FT-IR)
연구 대상 A-D 초본들의 ATR FT-IR 분석 결과를 Fig. 4에 나타내었다.
A, B, C, D 초본 시편 모두 1000-1200 cm-1 (C-OH stretching), 2900 cm-1 (CH stretching) 3300 cm-1 (-OH), 1600 cm-1 (C=O) 등 셀룰로오스 및 헤미셀룰로오스 섬유에서 유래하는 특징적인 피크들이 공통적으로 나타났다.
A 초본의 경우 2900 cm-1와 2850 cm-1에서 약한 peak가 확인되었으며, 이는 기름 성분(지방산의 CH stretching)에서 특징적으로 나타나는 피크이다. 또한 지방산에서 유래하는 1650-1750 cm-1 영역에서의 피크가 B-D 초본들에 비해 두드러졌는데, 이는 기름 성분에서 유래한 C=O 피크인 것으로 판단된다. A 초본은 소수성을 가진 것으로 나타났는데 이로 보아 한지에 기름을 도포한 유지로 판단되며, 따라서 일반 한지인 B-D 초본들보다 열화가 빠르게 진행되어 종이 내 유기산이 가장 많이 생성된 것으로 판단된다.6,8)
4. 결 론
현전하는 불화 초본은 18세기 이후 제작된 작품들이 대부분이다. 현재까지 불화 초본에 대한 과학적 분석 연구는 전무한 편으로 본 연구에서는 불화 초본의 원료 및 특성 분석 등의 과학적 분석을 수행하고자 하였다. 이를 위해 본 연구에서는 19세기 말∼20세기 초에 제작된 것으로 추정되는 불화 초본 4점을 수집하고 이들의 평량 및 밀도, pH 측정, 실체현미경 관찰, 섬유 분석, FT-IR 분석을 진행하였으며, 그 결과는 다음과 같다.
1. 섬유의 형태학적 분석 결과, A-D 초본들 모두 닥나무 인피섬유의 특징인 횡문, 투명막 및 섬유왜곡이 관찰되어 닥섬유로 초지한 한지로 나타났으며, A 초본의 경우 닥섬유의 끊어짐이 관찰되어 산화가 B-D 초본들에 비해 상대적으로 보다 더 진행된 것으로 판단된다.
2. FT-IR 분석 결과 A 초본은 B-D 초본들과 달리 기름에서 유래되는 특징적인 피크들이 관찰되어 한지에 기름을 도포한 유지인 것으로 판단된다.
3. A 초본은 B-D 초본들에 비해 두께, 평량, 밀도가 높게 나타났으며, pH는 강산성으로 짙은 갈색으로 변색되었다. B, C, D 초본들의 pH는 중성에서 약 알칼리의 범주에 속하였으며, 미색으로 나타났다. A 초본의 경우 한지에 기름을 도포하였기 때문에 B-D 초본들에 비해 평량 및 밀도가 높은 것으로 보이며, 기름 성분인 지방산에 의한 산화 및 적변이 발생하는 것으로 추정된다.
4. 각 초본들의 표면을 현미경으로 분석한 결과, A 초본 표면에 안료와 바탕천의 일부가 남아있는 것으로 관찰되었는데. 이로 보아 불화 제작 시 바탕천 뒷면에 직접 배접해 사용되었던 것으로 판단된다. 반면 B-D 초본들의 경우 표면 상태가 양호하며 먹과 시간의 경과에 따른 일부 오염만 관찰되었다. 이로 보아 보관 목적으로 제작된 초본이 전승된 것으로 사료된다.
실험 결과, 본 연구 대상인 19세기 말∼20세기 초 불화 초본 4점에 사용된 종이는 유지와 한지로 판단된다. 유지는 일반 종이보다 투명도가 높아 밑에 놓인 원본의 도상을 쉽게 베껴내기에 용이하다. 그래서 초상화나 불화 제작과정에서는 주로 원본의 도상을 옮겨 그릴 때 사용된다. 또한 유지는 방수성이 높아 수분 함유량이 높은 풀이 사용되는 배접 단계에서는 잘 사용하지 않는다. 그럼에도 불구하고 본 연구에서 살펴본 A초본은 유지본을 직접 사용한 사례로 주목된다. 이렇듯 초본의 재질분석은 불화 제작 과정 및 기법을 알 수 있는 중요한 단서로 본 연구 결과가 향후 불화 재현·복원 및 보존처리에 활용되길 기대한다.






