1. 서 론
천연고분자화합물인 셀룰로오스로 구성된 종이는 높은 인장강도와 유연성, 물에 녹지는 않지만 친수성이며, 화학적 안정성, 비교적 백색으로,1) 인류의 문화를 표현을 하는 매체로 우수한 특성을 나타낸다. 인피섬유로 제작된 전통한지는 동일한 재료적 특성을 나타내며, 특히 보존성이 우수하여 많은 유기물 문화재의 소재로 남아있다. 그러나 모든 물질은 영원히 존재할 수 없기 때문에 결국 물리적, 화학적, 생물학적 또는 인위적인 요인에 의하여 결국은 변형되고, 약화되며, 파괴된다.2) 그러므로 문화재 보존 처리라는 인위적인 작업이 필요하며, 이것을 통해 문화재의 수명을 연장한다.
지류, 섬유 문화재 보존처리는 과거부터 장황을 통해 오래 소장하는 비결 즉, 작품 보존을 위한 작업을 실시하였다.3) 장황은 과거 동아시아에 전개된 전통 수공업이자 예술이며, 심미적 목적으로 다양한 작품에 걸맞은 재료로 어울리게 하여 온전한 예술품을 만드는 작업으로,4) 현재에도 숙련된 기술자의 작업을 통하여 장황 즉, 보존 처리 작업이 진행되고 있다. 이러한 작업에 사용되는 종이와 풀에 대한 연구는 고대부터 경험적으로 기능이 전수되었으며, 현재에도 제지산업 및 다양한 분야에서 연구가 진행되고 있다.
이러한 전분류의 처리는 종이의 강도와, 보존성을 향상시킨다.56) 그러나 배접 시에 풀의 접착력에 의하여 원지가 과도하게 빳빳해지거나 인장이 생기면, 족자와 같은 두루마리 유물에 영향을 준다고 장인들은 판단하고 있다.78) 이러한 현상을 방지하기 위해서 과거에는 오랜 시간동안 삭히는 과정이 필요하였다.910) 그러나 현재 우수한 습식가공기술과 물리적, 화학적, 생물 효소를 이용한 제분, 변성 기술을 통하여 사용자의 필요에 따른 다양한 전분을 생산하고 있다.
본 연구에서는 현재 제지 공정에서 다양하게 사용되고 있는 제지용 변성전분인 양성전분과 산화전분 그리고 제지용 옥수수전분을 이용하여 풀을 제조하여, 문화재 보존에 적합한 접착 능력과, 우수한 가역성, 촉진 열화 시 색변화를 발생 시키지 않고, 보존성이 우수한 전분풀을 개발하는 것을 목적으로 하였다.
2. 재료 및 방법
2.1 공시재료
2.1.1 한지
공시 한지는 시판하는 개량 한지, 전통 한지를 구입하여 사용하였으며, Table 1에 그 특성을 나타냈다.
Table 1.
Characteristics of Hanji (Korean traditional paper)
2.2 실험 방법
2.2.1 풀의 제조
장인이 배접시 사용하는 삭힌 밀가루 전분풀의 점도와 유사한 점도를 갖도록 공시 전분을 소정의 농도로 90-95℃ 조건에서 30분간 호화 후 상온에서 냉각하고 homogenizer를 이용하여 50 rpm으로 30초 동안 희석하여 사용하였다. 제조된 풀의 종류는 Table 2와 같다.
Table 2.
List of starch paste
2.2.3 접착
귀얄(풀솔)을 이용하여 원지에 풀을 도포하고, 도포 후 문지름솔과 press roll을 이용하여 접합하였다. 접착 후 원지의 풀의 도포량은 KS M ISO 534에 의거하여 아래의 식을 이용하여 측정하였다.

2.2.4 접착 강도 측정
접착 후 건조 된 종이는 KS M ISO 187에 의거하여 온도 23±1℃, 상대습도 50±2%로 조습처리를 실시하였다. 그 후 인장강도 시험기(Hounsfield tensile tester)를 이용하여 측정하였다. 접착 강도 측정 방법 KS T 1329를 응용하여 측정하였으며, Fig. 1에 측정 장치를 표시했다. 종이 시험편을 50 mm × 50 mm의 크기로 재단하여 인장 시험기와 연결 될 블록에 양면접착테이프를 이용하여 접착 후, 인장 시험기의 집게 사이에 시험편 블록을 설치한 후 10 mm/min. 속도로 인장 시험을 실시하여 박리 시 최고 힘(N)을 측정하였다.
3. 결과 및 고찰
3.1 풀의 점도
삭힌 밀전분의 고형분 농도 및 점도를 기준으로 제지용 전분을 이용하여 풀을 제조하였을 때의 점도 변화를 Fig. 2에 나타냈다. 옥수수 생전분은 삭히지 않고 습식가공을 통하여 배아, 옥피, 글루텐을 분리, 제거하였기 때문에 삭힌 밀전분에 비하여 고형분 함량이 낮음에도 불구하고 점도가 상대적으로 높게 측정되었다. 옥수수 산화전분은 고형분의 함량에 비해 낮은 점도를 나타냈다. 치환도 0.06의 양성전분은 고형분의 함량이 적음에도 불구하고 상대적으로 높은 점도를 나타냈으며, 치환도가 0.08인 양성전분은 치환도 0.06의 양성전분보다 높은 점도를 나타냈다. 치환도 0.06의 양성전분과 산화전분 60 cPs 혼합의 경우 산화전분 투입량이 증가할수록 양성전분 단독 호화시보다 점도가 상승하는 것으로 나타났다. 그러나 치환도 0.08의 양성전분과 산화전분 60 cPs 혼합은 산화전분의 투입으로 인하여 양성전분 단독 호화시보다 점도가 감소함을 확인할 수 있었다.
3.2 접착강도
3.2.1 풀 도포량
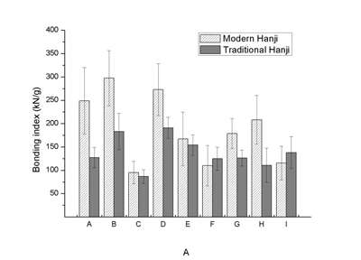
원지에 대한 풀의 도포량은 Fig. 3에 나타냈다. 개량한지의 도포량이 전통한지에 비해 낮은 것은 한지의 밀도와 밀접한 관련이 있는 것으로 판단된다. 아울러 분산제로 닥풀을 사용한 전통한지가 PAM을 분산제로 사용한 개량한지에 비해서 풀의 도포량이 높게 나타났는데 이것은 한지의 밀도뿐만 아니라 제조시 분산제로 사용하는 닥풀 및 PAM의 영향이라고 사료된다. 호화 시 전분의 투입량이 증가할수록 풀 도포량이 증가하는 것으로 나타났다. 따라서 풀 도포량은 점도보다 전분 고형분 투입량의 영향이 더 큰 것으로 나타났다.
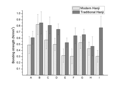
3.2.2 건조박리강도
박리강도는 옥수수 생전분으로 접착 시 가장 높았다. 삭힌 밀전분에 비해 적은 도포량으로 높은 접착강도가 발현됨을 확인하였다. 산화전분의 경우 건조 박리강도 자체는 삭힌 밀전분 보다 높지만 접착지수로 판단할 때 전분의 접착력이 낮았다.
치환도 0.06의 양성전분으로 접착 시 적은 도포량에도 불구하고 우수한 접착력을 보였다. 치환도 0.06의 양성전분에 산화전분을 혼합한 경우 접착력이 감소하는 것으로 나타났다. 치환도 0.08의 양성전분은 치환도가 높음에도 불구하고 낮은 접착강도를 나타낸 것은 고점도로 인하여 도포된 풀이 원지 내부로 이행되지 못하고 표면에만 머물렀기 때문인 것으로 사료된다. 그러나 산화전분의 첨가로 점도가 낮아지고 접착력도 향상됨을 확인할 수 있었다. 접착지수는 산화전분의 첨가로 인하여 도포량이 증가하게 되어 양성전분 단독과 유사한 결과를 나타냈다.
3.3 스티프니스(Stiffness)
배접한 한지의 스티프니스는 풀의 고형분 함량이 증가할수록 증가하였다. 산화전분 풀로 배접한 시료 C는 높은 고형분 함량 때문에 스프니스가 높게 측정되었다. 그러나 낮은 점도로 인해 지층 내부로 풀의 침투가 증가하여 결합력이 높지 않아 스티프니스 지수가 크게 증가하지 않았다.
양성전분 풀 및 양성전분과 산화전분 혼합 풀로 배접한 시료 D-I는 삭힌 밀전분 풀 배접 시료 A 및 옥수수 생전분 풀 배접 시료 B에 비해 높은 값을 나타냈다. 이것은 양성전분의 경우 풀의 점도와 결합력이 높아 지층 내부로의 이행이 적어 표면 잔류량이 증가하여 스티프니스가 상승한 것으로 판단된다. 따라서 양성전분은 적은 고형분 함량에도 불구하고 높은 점도와 결합력으로 인해 종이 표면 잔류량이 증가되어 스티프니스 지수를 크게 상승시키는 것으로 판단된다. 옥수수 생전분은 낮은 고형분 함량으로 인해 스티프니스의 향상은 크지 않았다.
따라서 문화재 보존 처리 작업 중 유연성을 요구하는 족자 배접 작업에서는 적절히 원지 내부로 침투하면서 접착력을 유지하는 전분을 사용하는 것이 필요하다.
3.4. 접착면의 요오드 반응
Fig. 8은 삭힌 밀 전분 풀과 옥수수 생전분 풀의 요오드 반응을 나타낸 것이다. 전통한지가 개량한지에 비하여 풀이 고르게 분포됨이 확인되었으며, 지층 내부로의 풀의 이행도 개량한지에 비해 전통한지가 많았다. 현미경에 의한 투과광 관찰 결과도 개량한지는 풀이 주로 표면에 분포되어 있는 반면, 전통한지는 내부로 많이 침투되어 분포함을 나타냈다. 이와 같은 결과는 한지 밀도뿐만 아니라 초지 시 사용하는 점질물의 특성에 기인하는 것으로 판단된다. 옥수수 생전분 풀은 삭힌 밀 전분 풀과 유사한 특성을 나타냈다.
Fig. 9에 옥수수 산화전분 및 양성전분 풀의 요오드 반응 결과를 나타냈다. 요오드 반응 관찰결과 산화전분 풀은 개량한지에서도 지층내부로의 침투가 많이 발생되어 배접면과 화본면에서의 요오드 반응이 높게 나타났다. 이와 같은 결과는 산화전분 풀의 낮은 점도와 우수한 호화안정성으로 인해 지층 내부로 양호한 풀의 이행이 일어났을 뿐만 아니라 섬유 표면에도 균일하게 풀이 도포되어 있음을 의미한다.
요오드 반응 결과 치환도 0.06의 양성전분 풀은 지층 내부로의 풀의 이행이 적은 것으로 나타났다. 현미경 관찰에서도 풀이 고르게 도포되지 못하고 부분적으로 도포되어 있는 것을 확인할 수 있었다. 치환도 0.08인 양성전분의 요오드 반응 관찰 결과, 치환도 0.06인 양성전분보다 풀이 고르게 도포되지 않았음을 배접면과 화본면을 통해 확인 할 수 있었다. 이것은 높은 점도로 인하여 균일한 도포가 이루어지지 않아 발생된 것으로 판단되며, 화본면으로의 풀의 이행도 매우 불량한 것으로 확인되었다. 이러한 풀의 이행 불량은 접착강도에 영향을 줄 것으로 사료되며, 높은 점도는 배접 작업에 적합하지 않다고 판단된다.
Fig. 10에 양성전분과 산화전분을 혼합하여 제조한 풀의 요오드 반응 결과를 나타냈다. 치환도 0.06의 양성전분에 산화전분(60 cPs)을 혼합하여 제조한 풀의 요오드 반응 분석결과, 산화전분의 혼합으로 점도는 상승했지만 지층 내부로의 침투는 양성전분 단독으로 제조한 풀에 비하여 증가했을 뿐만 아니라 고르게 분포된 것을 배접면 요오드 반응을 통하여 확인할 수 있었다. 산화전분 혼합으로 인한 지층 내부로의 풀의 침투는 양성전분 단독에 비해 접착강도가 감소하였으나 지층 내부로의 풀의 이행으로 배접의 열화안정성은 향상될 것으로 판단된다.
치환도 0.08의 양성전분에 산화전분(60 cPs)을 혼합하여 제조한 풀의 요오드 반응 분석결과, 산화전분의 혼합으로 점도가 감소하여 양성전분 단독으로 제조한 풀에 비하여 풀이 고르게 도포된 것을 배접면과 화본면의 요오드 반응을 통하여 확인할 수 있었다. 그러나 반응의 균일성은 치환도 0.06의 양성전분에 산화전분(60 cPs)을 혼합하여 제조한 풀에 비하여 불량한 것으로 나타났다.
따라서 배접 시 사용하는 삭힌 밀 전분 풀과 유사한 특성을 지니는 풀을 제조하기 위해서는 제지용 옥수수 생전분, 산화전분 및 양성전분 단독으로 제조한 풀을 사용하는 것보다 낮은 치환도의 양성전분에 산화전분을 적절한 농도로 혼합하여 제조한 풀을 사용하는 것이 바람직한 것으로 판단된다.
4. 결 론
제지용으로 사용되는 다양한 전분을 이용하여 지류 문화재 보존처리에 적합한 풀에 대한 평가를 실시하였다. 문화재 보존처리 시에 일반적으로 사용되는 삭힌 밀가루전분을 대조군으로 고형분과 점도를 측정하여, 유사한 접착력을 발휘하는 옥수수 생전분과 변성전분의 고형분과 점도를 조절 비교 평가하여 다음과 같은 결론을 얻었다.
1. 원지에 대한 풀의 도포량은 원지의 밀도와 밀접한 관련이 있으며, 점도 보다는 고형분 함량의 영향이 큰 것으로 나타났다.
2. 전통한지가 현대적 방식으로 초지한 개량한지에 비하여 접착력이 우수하였으며, 접착지수는 산화전분이 가장 낮았고 양성전분, 옥수수 생전분, 삭힌 밀전분 순으로 접착지수가 높았다.
3. 산화전분 풀은 높은 고형분 함량으로 스티프니스가 높았으나 지층 내부로의 침투가 많아 스티프니스 지수는 낮게 나타났다. 양성전분 풀은 적은 고형분 함량에도 불구하고, 높은 점도 및 결합력으로 표면 잔류량이 증가되어 스티프니스 지수가 높게 나타났으며, 옥수수 생전분은 낮은 고형분 함량으로 인해 스티프니스는 높지 않았다. 전반적으로 고형분의 함량이 증가할수록 스티프니스는 높게 나타났다.
4. 박리면 요오드 반응 관찰 결과 밀도가 높고 PAM을 사용한 개량한지에 비하여 전통한지에서 풀의 도포량과 지층 내부 침투가 높았다. 산화전분 풀의 지층 내부로의 이동이 양호하였으며, 양성전분 풀은 종이 표면에 많이 잔류하는 것이 확인되었다.
5. 저치환도의 양성전분에 산화전분을 적절한 농도로 혼합하여 풀을 제조함으로써 배접에 사용되는 삭힌 밀전분 풀의 대체 가능성을 확인하였다.












