1. 서 론
플라스틱 기반의 일회용품의 사용이 지속적으로 증가됨에 따라 폐기되는 플라스틱 쓰레기의 처리문제가 더욱 심화되고 있고 이의 해결을 위한 탈 플라스틱 정책이 전 세계적으로 보편화되고 있다. 기존의 플라스틱 일회용품들을 대체할 수 있는 대안의 하나로 종이기반 제품의 개발과 활용은 주요한 관심의 대상이 되고 있으나, 종이의 원료적 특성과 구조적 특성으로 인한 기능적 한계들을 보완하는 것이 시급한 과제가 되고 있다.1) 특히, 종이의 3차원 구조화를 통한 활용성 증대는 다양한 일회용품을 제조하는 경제적인 방안으로 여겨지고 있는데, 3차원으로 가공된 금형을 활용하여 진공 또는 슬라이딩 방식으로 성형이 이루어지며 주로 1회용 도시락과 같은 식품용 트레이 제품의 제조를 위해 사용된다. 이러한 3차원 구조의 성형성(formability or mouldability)에 가장 많은 영향을 미치는 인자로 종이 자체의 신장률을 들 수 있다.2,3) 신장률은 종이 제품의 용도와 사용 목적에 따라 적정하게 관리되어야 하는 중요한 품질특성으로 포장용 지대 용지의 경우 신장률이 낮으면 지대의 파괴가 쉽게 발생될 수 있기 때문에 높은 신장률이 요구되지만, 치수안정성이 중요한 지도용지의 경우에는 낮은 신장률을 유지해야 하는 등 용도에 따른 적정 신장률 확보가 필요하다.
종이제품의 가공 및 활용면에서 중요한 역활을 하게 되는 종이의 신장률을 향상시키기 위해서는 다양한 연구들이 진행되어왔다. 원료의 특이성에 따른 영향과 관련된 연구들 관점에서 볼 때 섬유의 헤미셀룰로오스의 함량이 높으면 결합 포텐셜을 높여 신장성(extensibility)에 유리하게 작용하고,4) 신장성은 섬유길이보다 섬유자체 강도에 훨씬 더 영향을 많이 받으며 섬유강도가 높을수록 길이가 길수록 신장성은 증가한다.5) 또한 섬유를 온화하게 처리하여 컬(curl)화된 섬유는 종이의 신장성을 증가시키고,6) 섬유를 고농도와 저농도에서 연속으로 기계적인 처리를 하면 종이의 신장성을 향상시킬 수 있다고 보고되기도 하였다.7) 이 외에도 섬유자체의 화학적 개질을 통한 신장률을 향상시킬 수도 있는데, 침엽수 섬유에 methyl acrylate로 그라프팅을 하면 종이의 신장률이 1.1~5.9% 향상되기도 하였고,8) ethylacrylate와 hydroxypropyl-methyl cellulose(HPMC)를 사용하여 공중합 그라프팅을 실시하면 최대 40%의 신장률 증가를 보이기도 하였다.9) 또한 acrylamide로 그라프팅을 실시함으로써 미처리 종이에 비해 150% 신장성을 보인 경우도 있었다.10) 이러한 화학적 개질 이외에도 종이 제조 시 내첨 또는 표면처리로 신장률을 향상시킨 연구도 진행되었다. 표백 침엽수 펄프에 microfibrilated cellulose(MFC)를 10% 첨가하면 종이의 신장률이 5% 증가하였고,11,12) carboxymethyl cellulose(CMC)를 침엽수 크라프트 펄프에 0.73% 첨가하여 신장률을 3.6~5.8%까지 향상시키기도 하였다.13) Methylcellulose(MC)를 표면 사이징한 결과 원지의 신장성이 23%나 증가하기도 하였고,14) 종이 표면에 카제인을 5 g/m2 정도 코팅한 결과 신장성이 약 2% 증가하기도 하였으며,15) 습지의 표면에 젤라틴을 도포하여 신장성을 8%까지 향상시키기도 하였다.16) 뿐만 아니라 레이온(rayon), 폴리에스터(polyester), 나일론(nylon), 폴리프로필렌(polypropylene) 및 폴리에틸렌(polyethylene)과 같은 합성섬유를 사용하여 인장강도와 신장률 변화를 조절하기 위한 연구17)도 진행되는 등 신장률 향상을 위해 원료에서부터 제조방법 등 다양한 연구들이 시도되고 있다.
따라서 본 연구에서는 종이의 신장률 향상을 위하여 강도가 우수한 면펄프로 제조된 원지에 PVA로 함침 후, 이의 경화제로 붕사를 사용하였다. 이때 경화액으로 붕사와 유사한 특성을 발휘할 수 있는 붕산과 NaOH를 사용하여 pH 변화에 따른 용지의 신장률과 물리적 특성을 평가하였다. 또한 경화액으로 붕사농도 및 글리세린 함량에 따른 신장률과 물리적 특성을 평가함으로써 종이가 3차원 모양으로 변형될 수 있는 능력으로 정의되는 성형성(Formability)에 유리한 제조조건을 구명하고자 하였다.
2. 재료 및 방법
2.1 공시재료
2.1.2 함침용 첨가제
함침처리에 사용된 PVA(degree of polymerization: 1700, saponification degree: 98.92%, viscosity at 4% liquid: 27.9 cps)는 국내 O사에서, Borax(Na2B4O7·10H2O, solid content: 99.5%)는 국내 K사에서, Glycerine(solid content: 95.1%, density in 20℃: 1.251g/mL)은 국내 S사에서 각각 분양받아 사용하였다. 또한 NaOH(1 moL)는 S사에서 구매한 1N 시약을 사용하였다.
2.2 실험방법
2.2.1 함침용액 제조
함침처리를 위해 PVA 용액은 PVA를 넣고 4% 농도로 95~100℃에서 300 rpm으로 30분 동안 끓인 후 제조하였다. 붕사 용액 또한 PVA 용액과 동일한 방법으로 0.1~5% 농도로 95~100℃에서 300 rpm으로 30분 동안 끓인 후 제조하였다. 글리세린은 붕사용액을 40℃로 식힌 후 첨가하였다.
2.2.2 pH에 따른 함침처리
경화액의 pH에 따라 PVA의 경화 정도를 살펴보기 위해 산성, 중성, 알카리성 조건에서 붕사, 붕산, NaOH를 적절하게 조합하여 경화액 자체 pH를 각각 9.4, 7.4, 4.6으로 조절하였다. 이때 pH 조절을 위해 붕사 대신 NaOH를 사용하여 동일한 pH에서의 붕사와 NaOH의 효과를 비교하였다. 경화액의 약품조성은 Table 2에 나타냈다.
Table 2.
Impregnation and hardening condition to control pH level
| Impregnation part (%) | hardening part (%) | |||
|---|---|---|---|---|
| PVA | Borax | Boric acid | NaOH | pH |
| 4.0 | 2.0 | 4.6 | ||
| 0.5 | 2.0 | 7.4 | ||
| 2.0 | 2.0 | 7.4 | ||
| 2.0 | 9.4 | |||
| 2.0 | 13.4 | 9.4 | ||
종이의 함침을 위해 원지는 23±1℃, 50±2% 상대습도 조건에서 24시간 이상 조습 처리하여 지퍼백에 옮겨 담은 후 함침 직전에 꺼내어 곧바로 사용하였다. 이는 함수율에 따른 함침량 등의 변수를 줄이기 위함이었다.
함침방법은 중탕으로 65~70℃ 정도로 유지된 상태의 PVA 용액에 원지를 30초간 침지 후 종이 표면에 남아 있는 과량의 약품은 흡습지와 롤프레스를 이용하여 제거하였다. 곧바로 경화를 위해 중탕으로 40~45℃ 정도로 유지된 상태의 경화액에 10초간 침지 후 PVA 용액과 같은 방법으로 흡습지와 롤프레스를 이용하여 과량의 약품을 제거하였다. 이후 105℃의 드럼드라이어를 이용하여 5분간 구속건조하였다. 그리고 대조구 시험을 위해 PVA 용액에 침지 후, 경화부에는 순수한 물을 사용하여 함침실험을 실시하였다.
2.2.3 붕사농도에 따른 함침처리
경화액의 붕사농도에 따른 신장률 및 물성을 평가하기 위해 Table 3의 조건으로 함침처리를 실시하였다. 함침방법은 2.2.2와 동일한 조건으로 실시하였다.
2.2.4 붕사 및 글리세린 농도에 따른 함침처리
경화액의 붕사 및 글리세린 농도에 따른 신장률 및 물성을 평가하기 위해 Table 4의 조건으로 함침처리를 실시하였다. 함침방법은 2.2.2에서 기술한 방법과 동일한 조건으로 실시하였다.
2.2.5 물성 평가
함침된 종이는 온도 23±1℃, 상대습도 50±2% 조건에서 24시간 이상 조습처리 후 물성을 평가하였다. 물성은 신장률, 인장강도, 파열강도, 인열강도 및 PVA의 경화 정도를 평가하기 위해 투기도를 국제표준시험법에 의거하여 분석하였다. 또한 경화액 자체의 pH와 더불어 경화 후의 pH 변화를 확인하기 위해 열수추출 후 pH를 측정하였다. 사용된 표준방법과 기기는 Table 5에 나타냈다.
Table 5.
Measurement and instrument to estimate paper properties
3. 결과 및 고찰
3.1 종이 pH에 따른 신장률 및 물성 변화
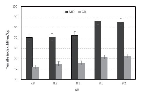
PVA의 경화는 PVA의 말단 수산기(OH)와 붕사 또는 붕산의 용해 시 녹아 있는 B(OH)3 및 B(OH)4와 각각 Mono-diol과 Di-diol complexation 결합을 통해 가교결합(crosslinking)을 할 수 있어 강도가 발현된다. 하지만 붕산의 경우 붕사 용해 시에 생성되는 B(OH)4에 비해 수산기가 1개 더 적기 때문에 가교결합 정도가 감소하게 된다.18) 이들의 경화 메커니즘은 Fig. 1에 나타냈다. 붕사는 물에 용해 시 B(OH)4 이온이 주로 생성되는데 이때 OH- 이온이 생성하게 되어 전체 용액의 pH를 상승시키게 된다.19,20) 하지만 붕산은 물에 용해 시 잔여 수산기와 반응하여 B(OH)4로 변하게 되면서 경화부 용액의 pH를 낮추는 효과를 가져올 수 있다.21,22) 따라서 pH가 낮으면 PVA와 완전한 가교결합이 되지 않기 때문에 pH를 높이기 위하여 NaOH를 사용하였다. 또한 경화액 자체의 pH보다는 경화 후 추출액의 pH를 측정하는 것이 정확하다고 판단되어 열수추출 후 pH를 측정하였고, 이를 Table 6에 나타냈다. Table 6에서 보는 것처럼 pH가 낮을수록 경화액과 열수추출 후 종이의 pH 차이가 더 많이 발생하였고, NaOH보다는 붕사에 의해 pH가 더 많이 감소되었다. 이는 NaOH가 붕사보다 알카리성이 더 강하기 때문에 나타난 현상으로 판단된다.

Fig. 1.
Sketch detailing the formation of PVA/borax network: red structures present didiol complexation of borate B(OH)4-or physical reticulations. Green structures present boric acid B(OH)3 with only monodiol complexation. Blue lines are PVA chains.18)
Table 6.
Changes in pH level and basis weight after the impregnation and hardening treatments
pH에 의한 PVA 용액의 경화 정도를 평가하기 위해 Fig. 2에 나타난 바와 같이 투기도를 측정하였고, 그 결과 pH가 증가함에 따라 감소하였다. 이는 앞선 선행연구18)에서와 같이 pH가 증가함에 따라 PVA와 B(OH)4 간 가교결합이 더 많이 일어나 공기 투과성이 감소했기 때문으로 판단되며, 종이 pH가 8.5 이상이 되면 가교결합이 충분하게 발생되어 더 이상 변화를 보이지 않았다. Figs. 3-6은 pH에 따른 신장률 및 물성을 나타낸 것이다. Fig. 3에 나타난 바와 같이 MD 방향의 경우 pH가 증가함에 따라 약간 감소하였으나 그 차이는 미미하였고, CD 방향의 경우에는 pH 8.4를 경계로 급격한 신장률 변화가 발생되었는데 이는 완전히 경화되면 종이가 단단해짐에 따라 신장성이 떨어진 것으로 판단되며, 완전 경화 이상 또는 이하에서는 큰 차이를 보이지 않았다. Fig. 4는 인장지수를 나타낸 것으로 pH가 상승함에 따라 증가하는 경향을 보였지만 pH가 너무 높으면 MD 방향은 오히려 감소하는 경향을 보였고, CD 방향은 차이를 보이지 않았다. Fig. 5의 파열지수도 MD 인장지수와 거의 유사한 경향을 보였다. 하지만 Fig. 6의 인열지수는 pH 8.2에서 MD 및 CD 방향 모두 가장 높은 수치를 보였다.
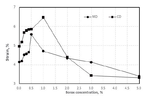
3.2 경화액의 붕사농도에 따른 신장률 및 물성 변화
앞선 연구에서는 붕사, 붕산, NaOH를 사용하여 경화액의 pH를 조절하여 함침처리 후 종이 pH에 따른 물성 변화를 살펴보았다. 동일한 pH에서 붕사 단독적용에 비해 붕산과 NaOH를 조합하여 사용하는 것이 효과는 떨어지고, 경화 정도에 따라 신장률과 물성의 최적 포인트가 다르다는 것을 확인하였다. 이에 순수한 붕사만을 PVA 경화제로 적용하여 물성별로 최적의 포인트를 찾고자 붕사농도별로 실험을 실시하였고, 이에 대한 결과는 Figs. 7-12에서 나타냈다. Fig. 7은 pH에 따라 함침량을 나타낸 것으로 붕사농도가 0.4%까지는 함침량이 1 g/m2 내외로 유지되었지만, 0.5%에서는 3 g/m2으로 급격하게 상승한 후 그 이후에는 완만하게 상승하였다. 이는 붕사 농도가 0.5% 정도에서 급격한 경화가 일어난다는 것을 Fig. 8의 투기도 결과에서 확인할 수 있었다.
Fig. 9는 붕사농도에 따른 신장률 변화를 나타낸 것으로, MD 방향은 붕사농도가 0.4%까지는 서서히 상승하다가 0.5%에서 가장 높아졌다가 급격히 감소하여 1% 이후에는 완만하게 감소하였다. CD 방향은 0.5%까지는 서서히 상승하다가 1%에서 급격히 높아졌다가 2% 이후에는 MD 방향보다 더 많이 감소하였는데 이는 PVA 함량에 비해 경화가 급격하게 진행되어 종이의 탄성이 떨어지는 것으로 판단된다. MD 방향과 CD 방향이 탄성에 반응하는 형상은 유사하였지만, 그 농도는 약간의 차이를 보였다. Fig. 10은 인장지수를 나타낸 것으로 신장률이 급격히 높아지는 구간에서 인장지수도 급격하게 높아지는 경향을 보였지만 그 이후에는 미미하게 증가하다가 2% 이후에는 감소하는 경향을 보여 PVA가 과도하게 경화되면 오히려 인장강도에는 악영향을 준다는 것을 확인할 수 있었다. 이러한 경향은 Fig. 11의 파열지수에서도 확인할 수 있었는데, 붕사농도가 0.5%까지는 급격하게 증가하다가 그 이후에는 서서히 감소하는 경향을 보여주었다. Fig. 12의 인열강도는 경화 초기부터 지속적으로 감소하는 경향을 보여주었고, MD 방향은 0.5%까지는 급격하게 감소한 이후 서서히 감소하였고, CD 방향은 처음부터 다소 완만하게 감소하는 경향을 보여주었다.
3.3 경화부에서의 붕사 및 글리세린 농도에 따른 신장률 및 물성 변화
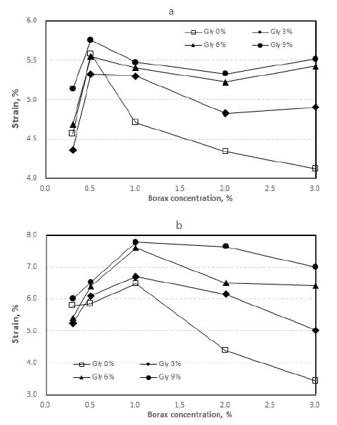
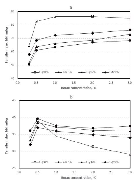
PVA 경화 시 붕사는 가장 효과적인 약품이지만 붕사의 농도가 너무 높으면 경화가 지나쳐서 오히려 종이 신장률과 물성에는 악영향을 미친다는 것을 앞선 연구결과에서 확인하였다. 붕사는 PVA와 반응하여 물성 향상에는 도움이 되지만 그 자체만으로는 신장률 향상에 한계가 있어 글리세린을 적용하였다. 글리세린은 PVA의 말단 수산기와 반응하여 결합길이를 증가시켜 PVA 자체를 가소화하는 용도로 사용된다는 선행연구23)에 근거하여 PVA의 가소화 정도를 조절하기 위해 경화액인 붕사에 글리세린을 전체 용액 대비 3, 6, 9% 혼합하여 함침 후 물성을 평가하였고, 그 결과를 Figs. 13-17에 나타냈다. Fig. 13은 전체 함침량을 나타낸 것으로 붕사농도와 글리세린 함량이 증가할수록 함침량도 증가하는 경향을 보였지만, 0.5% 이후에는 서서히 증가하는 경향을 보였다.

Fig. 13.
Changes in the impregnation weight according to borax and glycerine concentration in the hardening liquid.

Fig. 14.
Changes in the strain according to borax and glycerine concentration in the hardening liquid (a: MD, b: CD).

Fig. 15.
Changes in the tensile index according to borax and glycerine concentration in the hardening liquid (a: MD, b: CD).

Fig. 16.
Changes in the burst index according to borax and glycerine concentration in the hardening liquid.

Fig. 17.
Changes in the tear index according to borax according to borax and glycerine concentration in the hardening liquid (a: MD, b: CD).
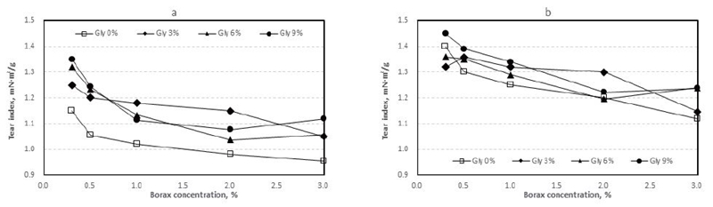
Fig. 14는 붕사농도와 글리세린 농도에 따른 MD 및 CD 방향의 신장률을 나타낸 것이다. MD 방향의 경우 글리세린 농도와 관계없이 붕사농도가 0.5%에서 가장 높은 신장률을 보여주었고, 글리세린 농도가 높을수록 붕사농도에 관계없이 신장률도 높았고, 글리세린을 투입하지 않은 경우와 비교해서도 그 감소폭은 줄어들었다. 그리고 붕사농도가 0.5% 이후에는 신장률이 감소하다가 2% 이후에는 오히려 신장률은 소폭 증가하는 경향을 보여주었다. CD 신장률의 경우에는 1%까지는 증가하다가 그 이후에는 서서히 감소하였다. Fig. 15는 인장지수를 나타낸 것으로 MD 방향은 글리세린을 사용하지 않았을 때는 붕사농도가 1%까지는 증가하였지만, 그 이후에는 감소하는 경향이었지만, 글리세린을 투입하였을 때는 붕사농도가 높아져도 붕사함량이 높아짐에 따라 조금씩 증가하였다. 그리고 글리세린 함량이 높아짐에 따라 인장지수는 감소하였다. CD 방향은 붕사농도가 0.5%에서 인장지수는 가장 높았고, 그 이후에는 모두 감소하는 경향이었다. Fig. 16는 파열지수를 나타낸 것으로 글리세린이 사용되지 않았을 때는 붕사농도가 0.5%까지는 증가하였지만, 그 이후에는 감소하였다. 하지만 글리세린 사용되었을 때는 붕사농도가 2%까지는 증가하였다가 그 이후에는 감소하였다. 그리고 글리세린 함량이 높을수록 파열지수는 낮은 값을 보였다. Fig. 17은 인열지수를 나타낸 것으로 MD 및 CD 방향 모두 붕사농도가 높아질수록 모두 감소하였고, 글리세린 함량이 높을수록 대체로 더 높은 값을 보였지만 일정한 경향을 보이지는 않았다.
4. 결 론
본 연구에서는 면펄프로 제조된 원지를 활용하여 PVA 및 경화액의 pH, 붕사농도, 글리세린 농도에 따른 신장률 및 물성의 변화를 살펴보았다. PVA의 경화정도는 종이의 열수추출 후 pH가 8.5 이상이면 완전히 경화된 것으로 판단되며, 이는 투기도를 통하여 확인할 수 있었다. 이러한 투기도를 근거로 판단하였을 때, 신장률은 완전 경화 후에는 다소 감소하는 경향이었고, 인장지수 및 파열지수는 완전 경화 시점에서는 증가하였지만 과도한 경화 시에는 다소 감소하였다.
경화액의 붕사농도에 따른 물성변화에서는 붕사농도가 0.5%에서 함침량이 급격하게 상승함에 따라 MD 방향의 신장률, 인장지수 및 파열지수는 유사한 경향으로 상승하였고, CD 방향은 붕사농도가 다소 높은 1%에서 신장률 및 인장지수가 급격한 상승을 보였다. 인열지수는 인장지수 및 파열지수와 정반대의 경향을 보여주었다. 경화액의 붕사농도와 글리세린 농도에 따른 신장률은 글리세린 농도가 증가할수록 증가하였고, 인장지수 및 파열지수는 반대의 경향을 보여주었다. 인열지수는 글리세린 농도가 높으면 대체로 높았지만 붕사농도에 따라서는 일정한 경향을 보여주지 않았다. 이상의 결과를 종합하면 PVA의 경화는 경화액의 pH에 의해 영향을 많이 받는다는 것을 확인할 수 있었고, 신장률은 붕사농도 0.5~1% 조건과 글리세린 첨가량이 많을수록 높게 나타났다. 하지만 붕사농도가 높아지면 경화가 많이 발생되고, 글리세린은 강도에는 악영향을 미치기 때문에 종이의 사용목적에 따라 붕사 및 글리세린의 적절한 조절이 필요한 것으로 판단되었다. 본 연구의 목적은 종이의 3차원 구조의 성형성에 가장 영향을 많이 미치는 신장률을 중심으로 진행되었지만, 종이의 성형성은 신장률뿐만 아니라 성형 깊이, 탄성/소성 변형비율 등에 의해 종합적으로 영향 받고,2) 종이의 MD와 CD의 방향에 따른 특성도 다르게 나타나기 때문에 향후 3차원 구조 성형성과의 상관관계에 대한 추가적인 연구가 필요할 것으로 판단되었다.













